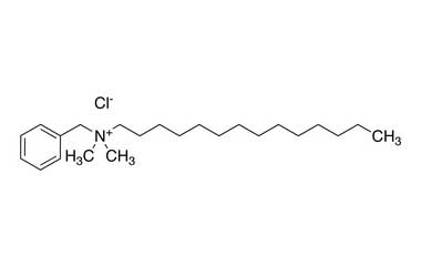
zephirol and its Impurities
Zephirol, a quaternary ammonium compound, has been found to be effective in the treatment of herpes, hepatitis and other infections.Reference standards of Zephirol API,and its pharmacopeial, non pharmacopeial impurities, and stable isotopes are listed below.

 
	
			                                   
																				 
																				 
																				 
																				 
																				 
																				 
																				 
 
 
 
