rosuvastatin acid

Heterocycles - Rosuvastatin Acid used to prevent cardiovascular disease in those at high risk and treat abnormal lipids. It is sold under the trade name Crestor. It is available as a generic medication.Reference standards of Rosuvastatin Acid API,and its pharmacopeial, non pharmacopeial impurities, and stable isotopes are listed below.

stdClass Object
(
    [pname] => Rosuvastatin Acid
    [catalogue_number] => PA 18 20000
    [category_ids] => ,80,71,76,75,78,70,82,88,89,
    [chemical_name] => 
    [weight] => 481.54
    [form] => C22H28FN3O6S
    [cas] => 287714-41-4
    [pslug] => 287714-41-4-rosuvastatin-acid-api-pa1820000
    [latest_product] => 0
    [linkproducts] => 1
    [offers_id] => 
    [offers_name] => 
    [offers_status] => 
    [offers_start_date] => 
    [offers_end_date] => 
    [pageview] => 
    [offers_slug] => 
    [offers_product_id] => 
    [offers_product_code] => 
    [offers_master_id] => 
    [offer_percentage] => 
    [offers_product_main_cat] => 
)
PA 18 20000
PA 18 20000

Rosuvastatin Acid


  • Catalogue No.:PA 18 20000

  • CAS :

    287714-41-4

  • Molecular Formula : C22H28FN3O6S

  • Molecular Weight : 481.54

stdClass Object
(
    [pname] => Rosuvastatin Acid - Impurity A (Calcium Salt)
    [catalogue_number] => PA 18 20010
    [category_ids] => ,89,76,75,71,70,78,80,82,88,
    [chemical_name] => 
    [weight] => 558.65
    [form] => C25H33FN3O7S•1/2Ca
    [cas] => 1714147-47-3
    [pslug] => 1714147-47-3-rosuvastatin-acid-impurity-a-calcium-salt-pa1820010
    [latest_product] => 0
    [linkproducts] => 1
    [offers_id] => 
    [offers_name] => 
    [offers_status] => 
    [offers_start_date] => 
    [offers_end_date] => 
    [pageview] => 
    [offers_slug] => 
    [offers_product_id] => 
    [offers_product_code] => 
    [offers_master_id] => 
    [offer_percentage] => 
    [offers_product_main_cat] => 
)
PA 18 20010
PA 18 20010

Rosuvastatin Acid - Impurity A (Calcium Salt)


  • Catalogue No.:PA 18 20010

  • CAS :

    1714147-47-3

  • Molecular Formula : C25H33FN3O7S•1/2Ca

  • Molecular Weight : 558.65

stdClass Object
(
    [pname] => Rosuvastatin Acid - Impurity A (Sodium Salt)
    [catalogue_number] => PA 18 20011
    [category_ids] => ,80,71,75,78,70,82,88,
    [chemical_name] => 
    [weight] => 561.60
    [form] => C25H33FN3NaO7S
    [cas] => 1714147-50-8
    [pslug] => 1714147-50-8-rosuvastatin-acid-impurity-a-sodium-salt-pa1820011
    [latest_product] => 0
    [linkproducts] => 1
    [offers_id] => 
    [offers_name] => 
    [offers_status] => 
    [offers_start_date] => 
    [offers_end_date] => 
    [pageview] => 
    [offers_slug] => 
    [offers_product_id] => 
    [offers_product_code] => 
    [offers_master_id] => 
    [offer_percentage] => 
    [offers_product_main_cat] => 
)
PA 18 20011
PA 18 20011

Rosuvastatin Acid - Impurity A (Sodium Salt)


  • Catalogue No.:PA 18 20011

  • CAS :

    1714147-50-8

  • Molecular Formula : C25H33FN3NaO7S

  • Molecular Weight : 561.60

stdClass Object
(
    [pname] => Rosuvastatin Acid - Impurity C (Freebase)
    [catalogue_number] => PA 18 20031
    [category_ids] => ,88,71,70,78,82,
    [chemical_name] => 
    [weight] => 479.52
    [form] => C22H26FN3O6S
    [cas] => 1422619-13-3
    [pslug] => 1422619-13-3-rosuvastatin-acid-impurity-c-freebase-pa1820031
    [latest_product] => 0
    [linkproducts] => 1
    [offers_id] => 
    [offers_name] => 
    [offers_status] => 
    [offers_start_date] => 
    [offers_end_date] => 
    [pageview] => 
    [offers_slug] => 
    [offers_product_id] => 
    [offers_product_code] => 
    [offers_master_id] => 
    [offer_percentage] => 
    [offers_product_main_cat] => 
)
PA 18 20031
PA 18 20031

Rosuvastatin Acid - Impurity C (Freebase)


  • Catalogue No.:PA 18 20031

  • CAS :

    1422619-13-3

  • Molecular Formula : C22H26FN3O6S

  • Molecular Weight : 479.52

stdClass Object
(
    [pname] => Tert-butyl 2-((4R,6R)-6-(acetoxymethyl)-2,2-dimethyl-1,3-dioxan-4-yl)Acetate
    [catalogue_number] => PA 18 0201041
    [category_ids] => ,80,71,76,75,78,70,82,
    [chemical_name] => 
    [weight] => 302.37
    [form] => C15H26O6
    [cas] => NA
    [pslug] => tert-butyl-2-4r-6r-6-acetoxymethyl-2-2-dimethyl-1-3-dioxan-4-yl-acetate-pa180201041
    [latest_product] => 0
    [linkproducts] => 0
    [offers_id] => 
    [offers_name] => 
    [offers_status] => 
    [offers_start_date] => 
    [offers_end_date] => 
    [pageview] => 
    [offers_slug] => 
    [offers_product_id] => 
    [offers_product_code] => 
    [offers_master_id] => 
    [offer_percentage] => 
    [offers_product_main_cat] => 
)
PA 18 0201041
PA 18 0201041

Tert-butyl 2-((4R,6R)-6-(acetoxymethyl)-2,2-dimethyl-1,3-dioxan-4-yl)Acetate


  • Catalogue No.:PA 18 0201041

  • CAS :

    NA

  • Molecular Formula : C15H26O6

  • Molecular Weight : 302.37

stdClass Object
(
    [pname] => tert-Butyl 2-((4R,6S)-6-((Z)-2-(4-(4-fluorophenyl)-6-isopropyl-2-(N-methylmethylsulfonamido)pyrimidin-5-yl)vinyl)-2,2-dimethyl-1,3-dioxan-4-yl)acetate
    [catalogue_number] => PA 18 0201049
    [category_ids] => ,80,71,76,75,78,70,82,88,89,
    [chemical_name] => 
    [weight] => 577.71
    [form] => C29H40FN3O6S
    [cas] => 1821422-50-7
    [pslug] => 1821422-50-7-tert-butyl-2-4r-6s-6-z-2-4-4-fluorophenyl-6-isopropyl-2-n-methylmethylsulfonamido-pyrimidin-5-yl-vinyl-2-2-dimethyl-1-3-dioxan-4-yl-acetate-pa180201049
    [latest_product] => 0
    [linkproducts] => 0
    [offers_id] => 
    [offers_name] => 
    [offers_status] => 
    [offers_start_date] => 
    [offers_end_date] => 
    [pageview] => 
    [offers_slug] => 
    [offers_product_id] => 
    [offers_product_code] => 
    [offers_master_id] => 
    [offer_percentage] => 
    [offers_product_main_cat] => 
)
PA 18 0201049
PA 18 0201049

tert-Butyl 2-((4R,6S)-6-((Z)-2-(4-(4-fluorophenyl)-6-isopropyl-2-(N-methylmethylsulfonamido)pyrimidin-5-yl)vinyl)-2,2-dimethyl-1,3-dioxan-4-yl)acetate


  • Catalogue No.:PA 18 0201049

  • CAS :

    1821422-50-7

  • Molecular Formula : C29H40FN3O6S

  • Molecular Weight : 577.71

stdClass Object
(
    [pname] => tert-Butyl (3R,5S,E)-7-(4-(4-fluorophenyl)-6-isopropyl-2-(N-methylmethylsulfonamido)pyrimidin-5-yl)-3-hydroxy-5-methoxyhept-6-enoate
    [catalogue_number] => PA 18 0201050
    [category_ids] => ,80,71,76,75,78,70,82,88,89,
    [chemical_name] => 
    [weight] => 551.67
    [form] => C27H38FN3O6S
    [cas] => NA
    [pslug] => tert-butyl-3r-5s-e-7-4-4-fluorophenyl-6-isopropyl-2-n-methylmethylsulfonamido-pyrimidin-5-yl-3-hydroxy-5-methoxyhept-6-enoate-pa180201050
    [latest_product] => 0
    [linkproducts] => 0
    [offers_id] => 
    [offers_name] => 
    [offers_status] => 
    [offers_start_date] => 
    [offers_end_date] => 
    [pageview] => 
    [offers_slug] => 
    [offers_product_id] => 
    [offers_product_code] => 
    [offers_master_id] => 
    [offer_percentage] => 
    [offers_product_main_cat] => 
)
PA 18 0201050
PA 18 0201050

tert-Butyl (3R,5S,E)-7-(4-(4-fluorophenyl)-6-isopropyl-2-(N-methylmethylsulfonamido)pyrimidin-5-yl)-3-hydroxy-5-methoxyhept-6-enoate


  • Catalogue No.:PA 18 0201050

  • CAS :

    NA

  • Molecular Formula : C27H38FN3O6S

  • Molecular Weight : 551.67

stdClass Object
(
    [pname] => Methyl 2,4-dideoxy-3,5-O-(1-methylethylidene)-D-erythro-hexonate
    [catalogue_number] => PA 18 0201051
    [category_ids] => ,80,71,76,75,78,70,82,88,89,
    [chemical_name] => 
    [weight] => 218.25
    [form] => C10H18O5
    [cas] => 140164-51-8
    [pslug] => 140164-51-8-methyl-2-4-dideoxy-3-5-o-1-methylethylidene-d-erythro-hexonate-pa180201051
    [latest_product] => 0
    [linkproducts] => 0
    [offers_id] => 
    [offers_name] => 
    [offers_status] => 
    [offers_start_date] => 
    [offers_end_date] => 
    [pageview] => 
    [offers_slug] => 
    [offers_product_id] => 
    [offers_product_code] => 
    [offers_master_id] => 
    [offer_percentage] => 
    [offers_product_main_cat] => 
)
PA 18 0201051
PA 18 0201051

Methyl 2,4-dideoxy-3,5-O-(1-methylethylidene)-D-erythro-hexonate


  • Catalogue No.:PA 18 0201051

  • CAS :

    140164-51-8

  • Molecular Formula : C10H18O5

  • Molecular Weight : 218.25

stdClass Object
(
    [pname] => Ent-Rosuvastatin tert-Butyl Ester
    [catalogue_number] => PA 18 0201048
    [category_ids] => ,80,71,76,75,78,70,82,88,89,
    [chemical_name] => 
    [weight] => 537.65
    [form] => C26H36FN3O6S
    [cas] => 615263-60-0
    [pslug] => 615263-60-0-ent-rosuvastatin-tert-butyl-ester-pa180201048
    [latest_product] => 0
    [linkproducts] => 0
    [offers_id] => 
    [offers_name] => 
    [offers_status] => 
    [offers_start_date] => 
    [offers_end_date] => 
    [pageview] => 
    [offers_slug] => 
    [offers_product_id] => 
    [offers_product_code] => 
    [offers_master_id] => 
    [offer_percentage] => 
    [offers_product_main_cat] => 
)
PA 18 0201048
PA 18 0201048

Ent-Rosuvastatin tert-Butyl Ester


  • Catalogue No.:PA 18 0201048

  • CAS :

    615263-60-0

  • Molecular Formula : C26H36FN3O6S

  • Molecular Weight : 537.65

stdClass Object
(
    [pname] => Rosuvastatin (3S,5S)-Isomer t-Butyl Ester
    [catalogue_number] => PA 18 0201047
    [category_ids] => ,80,71,76,75,78,70,82,88,89,
    [chemical_name] => 
    [weight] => 537.65
    [form] => C26H36FN3O6S
    [cas] => 2185805-16-5
    [pslug] => 2185805-16-5-rosuvastatin-3s-5s-isomer-t-butyl-ester-pa180201047
    [latest_product] => 0
    [linkproducts] => 0
    [offers_id] => 
    [offers_name] => 
    [offers_status] => 
    [offers_start_date] => 
    [offers_end_date] => 
    [pageview] => 
    [offers_slug] => 
    [offers_product_id] => 
    [offers_product_code] => 
    [offers_master_id] => 
    [offer_percentage] => 
    [offers_product_main_cat] => 
)
PA 18 0201047
PA 18 0201047

Rosuvastatin (3S,5S)-Isomer t-Butyl Ester


  • Catalogue No.:PA 18 0201047

  • CAS :

    2185805-16-5

  • Molecular Formula : C26H36FN3O6S

  • Molecular Weight : 537.65

stdClass Object
(
    [pname] => tert-Butyl 2-((4R,6S)-6-((E)-2-(4-(4-fluorophenyl)-2-(((E)-2-(4-(4-fluorophenyl)-6-isopropyl-2-(N-methylmethylsulfonamido)pyrimidin-5-yl)-N-methylvinyl)sulfonamido)-6-isopropylpyrimidin-5-yl)vinyl)-2,2-dimethyl-1,3-dioxan-4-yl)acetate
    [catalogue_number] => PA 18 0201057
    [category_ids] => ,80,71,76,75,78,70,82,
    [chemical_name] => 
    [weight] => 911.09
    [form] => C45H56F2N6O8S2
    [cas] => NA
    [pslug] => tert-butyl-2-4r-6s-6-e-2-4-4-fluorophenyl-2-e-2-4-4-fluorophenyl-6-isopropyl-2-n-methylmethylsulfonamido-pyrimidin-5-yl-n-methylvinyl-sulfonamido-6-isopropylpyrimidin-5-yl-vinyl-2-2-dimethyl-1-3-dioxan-4-yl-acetate-pa180201057
    [latest_product] => 0
    [linkproducts] => 0
    [offers_id] => 
    [offers_name] => 
    [offers_status] => 
    [offers_start_date] => 
    [offers_end_date] => 
    [pageview] => 
    [offers_slug] => 
    [offers_product_id] => 
    [offers_product_code] => 
    [offers_master_id] => 
    [offer_percentage] => 
    [offers_product_main_cat] => 
)
PA 18 0201057
PA 18 0201057

tert-Butyl 2-((4R,6S)-6-((E)-2-(4-(4-fluorophenyl)-2-(((E)-2-(4-(4-fluorophenyl)-6-isopropyl-2-(N-methylmethylsulfonamido)pyrimidin-5-yl)-N-methylvinyl)sulfonamido)-6-isopropylpyrimidin-5-yl)vinyl)-2,2-dimethyl-1,3-dioxan-4-yl)acetate


  • Catalogue No.:PA 18 0201057

  • CAS :

    NA

  • Molecular Formula : C45H56F2N6O8S2

  • Molecular Weight : 911.09

stdClass Object
(
    [pname] => tert-Butyl (3R,5R)-6-chloro-3,5-dihydroxyhexanoate
    [catalogue_number] => PA 18 0201058
    [category_ids] => ,80,71,76,75,78,70,82,
    [chemical_name] => 
    [weight] => 238.71
    [form] => C10H19ClO4
    [cas] => 404958-69-6
    [pslug] => 404958-69-6-tert-butyl-3r-5r-6-chloro-3-5-dihydroxyhexanoate-pa180201058
    [latest_product] => 0
    [linkproducts] => 0
    [offers_id] => 
    [offers_name] => 
    [offers_status] => 
    [offers_start_date] => 
    [offers_end_date] => 
    [pageview] => 
    [offers_slug] => 
    [offers_product_id] => 
    [offers_product_code] => 
    [offers_master_id] => 
    [offer_percentage] => 
    [offers_product_main_cat] => 
)
PA 18 0201058
PA 18 0201058

tert-Butyl (3R,5R)-6-chloro-3,5-dihydroxyhexanoate


  • Catalogue No.:PA 18 0201058

  • CAS :

    404958-69-6

  • Molecular Formula : C10H19ClO4

  • Molecular Weight : 238.71

stdClass Object
(
    [pname] => (R)-4-Chloro-3-((trimethylsilyl)oxy)butanenitrile
    [catalogue_number] => PA 18 0201059
    [category_ids] => ,80,71,76,75,78,70,82,
    [chemical_name] => 
    [weight] => 191.73
    [form] => C7H14ClNOSi
    [cas] => 927674-56-4
    [pslug] => 927674-56-4-r-4-chloro-3-trimethylsilyl-oxy-butanenitrile-pa180201059
    [latest_product] => 0
    [linkproducts] => 0
    [offers_id] => 
    [offers_name] => 
    [offers_status] => 
    [offers_start_date] => 
    [offers_end_date] => 
    [pageview] => 
    [offers_slug] => 
    [offers_product_id] => 
    [offers_product_code] => 
    [offers_master_id] => 
    [offer_percentage] => 
    [offers_product_main_cat] => 
)
PA 18 0201059
PA 18 0201059

(R)-4-Chloro-3-((trimethylsilyl)oxy)butanenitrile


  • Catalogue No.:PA 18 0201059

  • CAS :

    927674-56-4

  • Molecular Formula : C7H14ClNOSi

  • Molecular Weight : 191.73

stdClass Object
(
    [pname] => Methyl 6-(4-fluorophenyl)-4-isopropyl-2-(methylthio)-1-nitroso-1,6-dihydropyrimidine-5-carboxylate
    [catalogue_number] => PA 18 0201060
    [category_ids] => ,80,71,76,75,78,70,82,162,
    [chemical_name] => 
    [weight] => 351.4
    [form] => C16H18FN3O3S
    [cas] => NA
    [pslug] => methyl-6-4-fluorophenyl-4-isopropyl-2-methylthio-1-nitroso-1-6-dihydropyrimidine-5-carboxylate-pa180201060
    [latest_product] => 0
    [linkproducts] => 0
    [offers_id] => 
    [offers_name] => 
    [offers_status] => 
    [offers_start_date] => 
    [offers_end_date] => 
    [pageview] => 
    [offers_slug] => 
    [offers_product_id] => 
    [offers_product_code] => 
    [offers_master_id] => 
    [offer_percentage] => 
    [offers_product_main_cat] => 
)
PA 18 0201060
PA 18 0201060

Methyl 6-(4-fluorophenyl)-4-isopropyl-2-(methylthio)-1-nitroso-1,6-dihydropyrimidine-5-carboxylate


  • Catalogue No.:PA 18 0201060

  • CAS :

    NA

  • Molecular Formula : C16H18FN3O3S

  • Molecular Weight : 351.4

stdClass Object
(
    [pname] => N-(4-(4-Fluorophenyl)-6-isopropyl-5-(((1-nitroso-1H-benzo[d]imidazol-2-yl)thio)methyl)pyrimidin-2-yl)-N-methylmethanesulfonamide
    [catalogue_number] => PA 18 0201061
    [category_ids] => ,80,71,76,75,78,70,82,162,
    [chemical_name] => 
    [weight] => 514.59
    [form] => C23H23FN6O3S2
    [cas] => NA
    [pslug] => n-4-4-fluorophenyl-6-isopropyl-5-1-nitroso-1h-benzo-d-imidazol-2-yl-thio-methyl-pyrimidin-2-yl-n-methylmethanesulfonamide-pa180201061
    [latest_product] => 0
    [linkproducts] => 0
    [offers_id] => 
    [offers_name] => 
    [offers_status] => 
    [offers_start_date] => 
    [offers_end_date] => 
    [pageview] => 
    [offers_slug] => 
    [offers_product_id] => 
    [offers_product_code] => 
    [offers_master_id] => 
    [offer_percentage] => 
    [offers_product_main_cat] => 
)
PA 18 0201061
PA 18 0201061

N-(4-(4-Fluorophenyl)-6-isopropyl-5-(((1-nitroso-1H-benzo[d]imidazol-2-yl)thio)methyl)pyrimidin-2-yl)-N-methylmethanesulfonamide


  • Catalogue No.:PA 18 0201061

  • CAS :

    NA

  • Molecular Formula : C23H23FN6O3S2

  • Molecular Weight : 514.59

stdClass Object
(
    [pname] => N-(4-(4-Fluorophenyl)-6-isopropyl-5-(((1-nitroso-1H-benzo[d]imidazol-2-yl)sulfonyl)methyl)pyrimidin-2-yl)-N-methylmethanesulfonamide
    [catalogue_number] => PA 18 0201062
    [category_ids] => ,80,71,76,75,78,70,82,162,
    [chemical_name] => 
    [weight] => 546.59
    [form] => C23H23FN6O5S2
    [cas] => NA
    [pslug] => n-4-4-fluorophenyl-6-isopropyl-5-1-nitroso-1h-benzo-d-imidazol-2-yl-sulfonyl-methyl-pyrimidin-2-yl-n-methylmethanesulfonamide-pa180201062
    [latest_product] => 0
    [linkproducts] => 0
    [offers_id] => 
    [offers_name] => 
    [offers_status] => 
    [offers_start_date] => 
    [offers_end_date] => 
    [pageview] => 
    [offers_slug] => 
    [offers_product_id] => 
    [offers_product_code] => 
    [offers_master_id] => 
    [offer_percentage] => 
    [offers_product_main_cat] => 
)
PA 18 0201062
PA 18 0201062

N-(4-(4-Fluorophenyl)-6-isopropyl-5-(((1-nitroso-1H-benzo[d]imidazol-2-yl)sulfonyl)methyl)pyrimidin-2-yl)-N-methylmethanesulfonamide


  • Catalogue No.:PA 18 0201062

  • CAS :

    NA

  • Molecular Formula : C23H23FN6O5S2

  • Molecular Weight : 546.59

stdClass Object
(
    [pname] => tert-Butyl 2-((4S,6S)-6-(acetoxymethyl)-2,2-dimethyl-1,3-dioxan-4-yl)acetate
    [catalogue_number] => PA 18 0201063
    [category_ids] => ,80,71,76,75,78,70,82,88,
    [chemical_name] => 
    [weight] => 302.37
    [form] => C15H26O6
    [cas] => 1116473-61-0
    [pslug] => 1116473-61-0-tert-butyl-2-4s-6s-6-acetoxymethyl-2-2-dimethyl-1-3-dioxan-4-yl-acetate-pa180201063
    [latest_product] => 0
    [linkproducts] => 0
    [offers_id] => 
    [offers_name] => 
    [offers_status] => 
    [offers_start_date] => 
    [offers_end_date] => 
    [pageview] => 
    [offers_slug] => 
    [offers_product_id] => 
    [offers_product_code] => 
    [offers_master_id] => 
    [offer_percentage] => 
    [offers_product_main_cat] => 
)
PA 18 0201063
PA 18 0201063

tert-Butyl 2-((4S,6S)-6-(acetoxymethyl)-2,2-dimethyl-1,3-dioxan-4-yl)acetate


  • Catalogue No.:PA 18 0201063

  • CAS :

    1116473-61-0

  • Molecular Formula : C15H26O6

  • Molecular Weight : 302.37

stdClass Object
(
    [pname] => (S,E)-7-(4-(4-Fluorophenyl)-6-isopropyl-2-(N-methylmethylsulfonamido)pyrimidin-5-yl)-5-hydroxy-3-oxohept-6-enoic Acid
    [catalogue_number] => PA 18 0201064
    [category_ids] => ,88,71,70,78,82,
    [chemical_name] => 
    [weight] => 479.52
    [form] => C22H26FN3O6S
    [cas] => 1803023-43-9
    [pslug] => 1803023-43-9-s-e-7-4-4-fluorophenyl-6-isopropyl-2-n-methylmethylsulfonamido-pyrimidin-5-yl-5-hydroxy-3-oxohept-6-enoic-acid-pa180201064
    [latest_product] => 0
    [linkproducts] => 0
    [offers_id] => 
    [offers_name] => 
    [offers_status] => 
    [offers_start_date] => 
    [offers_end_date] => 
    [pageview] => 
    [offers_slug] => 
    [offers_product_id] => 
    [offers_product_code] => 
    [offers_master_id] => 
    [offer_percentage] => 
    [offers_product_main_cat] => 
)
PA 18 0201064
PA 18 0201064

(S,E)-7-(4-(4-Fluorophenyl)-6-isopropyl-2-(N-methylmethylsulfonamido)pyrimidin-5-yl)-5-hydroxy-3-oxohept-6-enoic Acid


  • Catalogue No.:PA 18 0201064

  • CAS :

    1803023-43-9

  • Molecular Formula : C22H26FN3O6S

  • Molecular Weight : 479.52

stdClass Object
(
    [pname] => (S)-6-Chloro-5-hydroxy-3-oxohexanoic Acid
    [catalogue_number] => PA 18 0201065
    [category_ids] => ,88,71,70,78,82,
    [chemical_name] => 
    [weight] => 180.58
    [form] => C6H9ClO4
    [cas] => 587855-03-6
    [pslug] => 587855-03-6-s-6-chloro-5-hydroxy-3-oxohexanoic-acid-pa180201065
    [latest_product] => 0
    [linkproducts] => 0
    [offers_id] => 
    [offers_name] => 
    [offers_status] => 
    [offers_start_date] => 
    [offers_end_date] => 
    [pageview] => 
    [offers_slug] => 
    [offers_product_id] => 
    [offers_product_code] => 
    [offers_master_id] => 
    [offer_percentage] => 
    [offers_product_main_cat] => 
)
PA 18 0201065
PA 18 0201065

(S)-6-Chloro-5-hydroxy-3-oxohexanoic Acid


  • Catalogue No.:PA 18 0201065

  • CAS :

    587855-03-6

  • Molecular Formula : C6H9ClO4

  • Molecular Weight : 180.58

stdClass Object
(
    [pname] => (3R,5S)-6-Chloro-3,5-dihydroxyhexanoic Acid
    [catalogue_number] => PA 18 0201066
    [category_ids] => ,88,71,70,78,82,
    [chemical_name] => 
    [weight] => 182.6
    [form] => C6H11ClO4
    [cas] => 958358-67-3
    [pslug] => 958358-67-3-3r-5s-6-chloro-3-5-dihydroxyhexanoic-acid-pa180201066
    [latest_product] => 0
    [linkproducts] => 0
    [offers_id] => 
    [offers_name] => 
    [offers_status] => 
    [offers_start_date] => 
    [offers_end_date] => 
    [pageview] => 
    [offers_slug] => 
    [offers_product_id] => 
    [offers_product_code] => 
    [offers_master_id] => 
    [offer_percentage] => 
    [offers_product_main_cat] => 
)
PA 18 0201066
PA 18 0201066

(3R,5S)-6-Chloro-3,5-dihydroxyhexanoic Acid


  • Catalogue No.:PA 18 0201066

  • CAS :

    958358-67-3

  • Molecular Formula : C6H11ClO4

  • Molecular Weight : 182.6

stdClass Object
(
    [pname] => (5S,E)-7-(4-(2-Fluorophenyl)-6-isopropyl-2-(N-methylmethylsulfonamido)pyrimidin-5-yl)-3,5-dihydroxyhept-6-enoic Acid
    [catalogue_number] => PA 18 0201067
    [category_ids] => ,88,71,70,78,82,
    [chemical_name] => 
    [weight] => 481.54
    [form] => C22H28FN3O6S
    [cas] => NA
    [pslug] => 5s-e-7-4-2-fluorophenyl-6-isopropyl-2-n-methylmethylsulfonamido-pyrimidin-5-yl-3-5-dihydroxyhept-6-enoic-acid-pa180201067
    [latest_product] => 0
    [linkproducts] => 0
    [offers_id] => 
    [offers_name] => 
    [offers_status] => 
    [offers_start_date] => 
    [offers_end_date] => 
    [pageview] => 
    [offers_slug] => 
    [offers_product_id] => 
    [offers_product_code] => 
    [offers_master_id] => 
    [offer_percentage] => 
    [offers_product_main_cat] => 
)
PA 18 0201067
PA 18 0201067

(5S,E)-7-(4-(2-Fluorophenyl)-6-isopropyl-2-(N-methylmethylsulfonamido)pyrimidin-5-yl)-3,5-dihydroxyhept-6-enoic Acid


  • Catalogue No.:PA 18 0201067

  • CAS :

    NA

  • Molecular Formula : C22H28FN3O6S

  • Molecular Weight : 481.54

stdClass Object
(
    [pname] => (5S,E)-7-(2-(Ethyl(hydrosulfonyl)amino)-4-(3-fluorophenyl)-6-isopropylpyrimidin-5-yl)-3,5-dihydroxyhept-6-enoic Acid
    [catalogue_number] => PA 18 0201068
    [category_ids] => ,88,71,70,78,82,
    [chemical_name] => 
    [weight] => 481.54
    [form] => C22H28FN3O6S
    [cas] => NA
    [pslug] => 5s-e-7-2-ethyl-hydrosulfonyl-amino-4-3-fluorophenyl-6-isopropylpyrimidin-5-yl-3-5-dihydroxyhept-6-enoic-acid-pa180201068
    [latest_product] => 0
    [linkproducts] => 0
    [offers_id] => 
    [offers_name] => 
    [offers_status] => 
    [offers_start_date] => 
    [offers_end_date] => 
    [pageview] => 
    [offers_slug] => 
    [offers_product_id] => 
    [offers_product_code] => 
    [offers_master_id] => 
    [offer_percentage] => 
    [offers_product_main_cat] => 
)
PA 18 0201068
PA 18 0201068

(5S,E)-7-(2-(Ethyl(hydrosulfonyl)amino)-4-(3-fluorophenyl)-6-isopropylpyrimidin-5-yl)-3,5-dihydroxyhept-6-enoic Acid


  • Catalogue No.:PA 18 0201068

  • CAS :

    NA

  • Molecular Formula : C22H28FN3O6S

  • Molecular Weight : 481.54

stdClass Object
(
    [pname] => N-(5-(Dibromomethyl)-4-(4-fluorophenyl)-6-isopropylpyrimidin-2-yl)-N-methylmethanesulfonamide
    [catalogue_number] => PA 18 0201069
    [category_ids] => ,88,71,70,78,82,
    [chemical_name] => 
    [weight] => 495.21
    [form] => C16H18Br2FN3O2S
    [cas] => 1416000-51-5
    [pslug] => 1416000-51-5-n-5-dibromomethyl-4-4-fluorophenyl-6-isopropylpyrimidin-2-yl-n-methylmethanesulfonamide-pa180201069
    [latest_product] => 0
    [linkproducts] => 0
    [offers_id] => 
    [offers_name] => 
    [offers_status] => 
    [offers_start_date] => 
    [offers_end_date] => 
    [pageview] => 
    [offers_slug] => 
    [offers_product_id] => 
    [offers_product_code] => 
    [offers_master_id] => 
    [offer_percentage] => 
    [offers_product_main_cat] => 
)
PA 18 0201069
PA 18 0201069

N-(5-(Dibromomethyl)-4-(4-fluorophenyl)-6-isopropylpyrimidin-2-yl)-N-methylmethanesulfonamide


  • Catalogue No.:PA 18 0201069

  • CAS :

    1416000-51-5

  • Molecular Formula : C16H18Br2FN3O2S

  • Molecular Weight : 495.21

stdClass Object
(
    [pname] => tert-Butyl 2-((4S,6S)-2,2-dimethyl-6-(((5-methyl-1,3,4-thiadiazol-2-yl)sulfonyl)methyl)-1,3-dioxan-4-yl)acetate
    [catalogue_number] => PA 18 0201072
    [category_ids] => ,80,71,76,75,78,70,82,88,
    [chemical_name] => 
    [weight] => 406.51
    [form] => C16H26N2O6S2
    [cas] => NA
    [pslug] => tert-butyl-2-4s-6s-2-2-dimethyl-6-5-methyl-1-3-4-thiadiazol-2-yl-sulfonyl-methyl-1-3-dioxan-4-yl-acetate-pa180201072
    [latest_product] => 0
    [linkproducts] => 0
    [offers_id] => 
    [offers_name] => 
    [offers_status] => 
    [offers_start_date] => 
    [offers_end_date] => 
    [pageview] => 
    [offers_slug] => 
    [offers_product_id] => 
    [offers_product_code] => 
    [offers_master_id] => 
    [offer_percentage] => 
    [offers_product_main_cat] => 
)
PA 18 0201072
PA 18 0201072

tert-Butyl 2-((4S,6S)-2,2-dimethyl-6-(((5-methyl-1,3,4-thiadiazol-2-yl)sulfonyl)methyl)-1,3-dioxan-4-yl)acetate


  • Catalogue No.:PA 18 0201072

  • CAS :

    NA

  • Molecular Formula : C16H26N2O6S2

  • Molecular Weight : 406.51

stdClass Object
(
    [pname] => Rosuvastatin Acid - Impurity L (Sodium Salt)
    [catalogue_number] => PA 18 0200121
    [category_ids] => ,80,71,76,75,78,70,82,88,89,
    [chemical_name] => 
    [weight] => 506.55
    [form] => C22H30FN3NaO6S
    [cas] => NA
    [pslug] => rosuvastatin-acid-impurity-l-sodium-salt-pa180200121
    [latest_product] => 0
    [linkproducts] => 1
    [offers_id] => 
    [offers_name] => 
    [offers_status] => 
    [offers_start_date] => 
    [offers_end_date] => 
    [pageview] => 
    [offers_slug] => 
    [offers_product_id] => 
    [offers_product_code] => 
    [offers_master_id] => 
    [offer_percentage] => 
    [offers_product_main_cat] => 
)
PA 18 0200121
PA 18 0200121

Rosuvastatin Acid - Impurity L (Sodium Salt)


  • Catalogue No.:PA 18 0200121

  • CAS :

    NA

  • Molecular Formula : C22H30FN3NaO6S

  • Molecular Weight : 506.55

stdClass Object
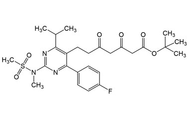
(
    [pname] => tert-Butyl 7-(4-(4-fluorophenyl)-6-isopropyl-2-(N-methylmethylsulfonamido)pyrimidin-5-yl)-3,5-dioxoheptanoate
    [catalogue_number] => PA 18 0201075
    [category_ids] => ,80,71,76,75,78,70,82,88,89,
    [chemical_name] => 
    [weight] => 535.63
    [form] => C26H34FN3O6S
    [cas] => NA
    [pslug] => tert-butyl-7-4-4-fluorophenyl-6-isopropyl-2-n-methylmethylsulfonamido-pyrimidin-5-yl-3-5-dioxoheptanoate-pa180201075
    [latest_product] => 0
    [linkproducts] => 0
    [offers_id] => 
    [offers_name] => 
    [offers_status] => 
    [offers_start_date] => 
    [offers_end_date] => 
    [pageview] => 
    [offers_slug] => 
    [offers_product_id] => 
    [offers_product_code] => 
    [offers_master_id] => 
    [offer_percentage] => 
    [offers_product_main_cat] => 
)
PA 18 0201075
PA 18 0201075

tert-Butyl 7-(4-(4-fluorophenyl)-6-isopropyl-2-(N-methylmethylsulfonamido)pyrimidin-5-yl)-3,5-dioxoheptanoate


  • Catalogue No.:PA 18 0201075

  • CAS :

    NA

  • Molecular Formula : C26H34FN3O6S

  • Molecular Weight : 535.63

stdClass Object
(
    [pname] => 6,7-Dihydro Rosuvastatin Calcium Salt
    [catalogue_number] => PA 18 0201076
    [category_ids] => ,80,71,76,75,78,70,82,88,89,
    [chemical_name] => 
    [weight] => 1005.17
    [form] => C44H58CaF2N6O12S2
    [cas] => NA
    [pslug] => 6-7-dihydro-rosuvastatin-calcium-salt-pa180201076
    [latest_product] => 0
    [linkproducts] => 1
    [offers_id] => 
    [offers_name] => 
    [offers_status] => 
    [offers_start_date] => 
    [offers_end_date] => 
    [pageview] => 
    [offers_slug] => 
    [offers_product_id] => 
    [offers_product_code] => 
    [offers_master_id] => 
    [offer_percentage] => 
    [offers_product_main_cat] => 
)
PA 18 0201076
PA 18 0201076

6,7-Dihydro Rosuvastatin Calcium Salt


  • Catalogue No.:PA 18 0201076

  • CAS :

    NA

  • Molecular Formula : C44H58CaF2N6O12S2

  • Molecular Weight : 1005.17

stdClass Object
(
    [pname] => Rosuvastatin Pyranone Impurity
    [catalogue_number] => PA 18 0201077
    [category_ids] => ,80,71,76,75,78,70,82,88,89,
    [chemical_name] => 
    [weight] => 461.51
    [form] => C22H24FN3O5S
    [cas] => NA
    [pslug] => rosuvastatin-pyranone-impurity-pa180201077
    [latest_product] => 0
    [linkproducts] => 0
    [offers_id] => 
    [offers_name] => 
    [offers_status] => 
    [offers_start_date] => 
    [offers_end_date] => 
    [pageview] => 
    [offers_slug] => 
    [offers_product_id] => 
    [offers_product_code] => 
    [offers_master_id] => 
    [offer_percentage] => 
    [offers_product_main_cat] => 
)
PA 18 0201077
PA 18 0201077

Rosuvastatin Pyranone Impurity


  • Catalogue No.:PA 18 0201077

  • CAS :

    NA

  • Molecular Formula : C22H24FN3O5S

  • Molecular Weight : 461.51

stdClass Object
(
    [pname] => 3-O-Ethyl Rosuvastatin Impurity Calcium Salt
    [catalogue_number] => PA 18 0201078
    [category_ids] => ,80,71,76,75,78,70,82,88,89,
    [chemical_name] => 
    [weight] => 1057.25
    [form] => C48H62CaF2N6O12S2
    [cas] => NA
    [pslug] => 3-o-ethyl-rosuvastatin-impurity-calcium-salt-pa180201078
    [latest_product] => 0
    [linkproducts] => 0
    [offers_id] => 
    [offers_name] => 
    [offers_status] => 
    [offers_start_date] => 
    [offers_end_date] => 
    [pageview] => 
    [offers_slug] => 
    [offers_product_id] => 
    [offers_product_code] => 
    [offers_master_id] => 
    [offer_percentage] => 
    [offers_product_main_cat] => 
)
PA 18 0201078
PA 18 0201078

3-O-Ethyl Rosuvastatin Impurity Calcium Salt


  • Catalogue No.:PA 18 0201078

  • CAS :

    NA

  • Molecular Formula : C48H62CaF2N6O12S2

  • Molecular Weight : 1057.25

stdClass Object
(
    [pname] => Methyl 2-((4R,6S)-2,2-dimethyl-6-(((5-methyl-1,3,4-thiadiazol-2-yl)sulfonyl)methyl)-1,3-dioxan-4-yl)acetate
    [catalogue_number] => PA 18 0201082
    [category_ids] => ,80,71,76,75,78,70,82,88,89,
    [chemical_name] => 
    [weight] => 364.43
    [form] => C13H20N2O6S2
    [cas] => NA
    [pslug] => methyl-2-4r-6s-2-2-dimethyl-6-5-methyl-1-3-4-thiadiazol-2-yl-sulfonyl-methyl-1-3-dioxan-4-yl-acetate-pa180201082
    [latest_product] => 0
    [linkproducts] => 0
    [offers_id] => 
    [offers_name] => 
    [offers_status] => 
    [offers_start_date] => 
    [offers_end_date] => 
    [pageview] => 
    [offers_slug] => 
    [offers_product_id] => 
    [offers_product_code] => 
    [offers_master_id] => 
    [offer_percentage] => 
    [offers_product_main_cat] => 
)
PA 18 0201082
PA 18 0201082

Methyl 2-((4R,6S)-2,2-dimethyl-6-(((5-methyl-1,3,4-thiadiazol-2-yl)sulfonyl)methyl)-1,3-dioxan-4-yl)acetate


  • Catalogue No.:PA 18 0201082

  • CAS :

    NA

  • Molecular Formula : C13H20N2O6S2

  • Molecular Weight : 364.43