thiamine hydrochloride

Amines - A hydrochloride salt of vitamine B1, which is found in various food items and is used as a dietery supplement. An organosulhur compound used to treat disorders like beriberi, Korsakoff's syndrome, and Korsakoff's psychosis. A water soluble vitamin cofactor.Reference standards of Thiamine Hydrochloride API,and its pharmacopeial, non pharmacopeial impurities, and stable isotopes are listed below.

stdClass Object
(
    [pname] => Thiamine Hydrochloride
    [catalogue_number] => PA 20 28000
    [category_ids] => ,79,80,71,78,70,82,88,
    [chemical_name] => 
    [weight] => 337.27
    [form] => C12H18Cl2N4OS
    [cas] => 67-03-8
    [pslug] => 67-03-8-thiamine-hydrochloride-api-pa2028000
    [latest_product] => 0
    [linkproducts] => 1
    [offers_id] => 
    [offers_name] => 
    [offers_status] => 
    [offers_start_date] => 
    [offers_end_date] => 
    [pageview] => 
    [offers_slug] => 
    [offers_product_id] => 
    [offers_product_code] => 
    [offers_master_id] => 
    [offer_percentage] => 
    [offers_product_main_cat] => 
)
PA 20 28000
PA 20 28000

Thiamine Hydrochloride


  • Catalogue No.:PA 20 28000

  • CAS :

    67-03-8

  • Molecular Formula : C12H18Cl2N4OS

  • Molecular Weight : 337.27

stdClass Object
(
    [pname] => Thiamine - Impurity A
    [catalogue_number] => PA 20 28010
    [category_ids] => ,79,80,71,75,78,70,82,88,
    [chemical_name] => 
    [weight] => 344.41
    [form] => C12H16N4O4S2
    [cas] => 2380-61-2
    [pslug] => 2380-61-2-thiamine-impurity-a-pa2028010
    [latest_product] => 0
    [linkproducts] => 1
    [offers_id] => 
    [offers_name] => 
    [offers_status] => 
    [offers_start_date] => 
    [offers_end_date] => 
    [pageview] => 
    [offers_slug] => 
    [offers_product_id] => 
    [offers_product_code] => 
    [offers_master_id] => 
    [offer_percentage] => 
    [offers_product_main_cat] => 
)
PA 20 28010
PA 20 28010

Thiamine - Impurity A


  • Catalogue No.:PA 20 28010

  • CAS :

    2380-61-2

  • Molecular Formula : C12H16N4O4S2

  • Molecular Weight : 344.41

stdClass Object
(
    [pname] => Thiamine - Impurity A (Chloride Salt)
    [catalogue_number] => PA 20 28011
    [category_ids] => ,79,80,71,75,78,70,82,88,
    [chemical_name] => 
    [weight] => 380.87
    [form] => C12H17ClN4O4S2
    [cas] => 15743-04-1
    [pslug] => 15743-04-1-thiamine-impurity-a-chloride-salt-pa2028011
    [latest_product] => 0
    [linkproducts] => 1
    [offers_id] => 
    [offers_name] => 
    [offers_status] => 
    [offers_start_date] => 
    [offers_end_date] => 
    [pageview] => 
    [offers_slug] => 
    [offers_product_id] => 
    [offers_product_code] => 
    [offers_master_id] => 
    [offer_percentage] => 
    [offers_product_main_cat] => 
)
PA 20 28011
PA 20 28011

Thiamine - Impurity A (Chloride Salt)


  • Catalogue No.:PA 20 28011

  • CAS :

    15743-04-1

  • Molecular Formula : C12H17ClN4O4S2

  • Molecular Weight : 380.87

stdClass Object
(
    [pname] => Thiamine - Impurity B (Hydrobromide Salt)
    [catalogue_number] => PA 20 28020
    [category_ids] => ,79,80,71,75,78,70,82,88,
    [chemical_name] => 
    [weight] => 412.14
    [form] => C11H16Br2N4OS
    [cas] => NA
    [pslug] => thiamine-impurity-b-hydrobromide-salt-pa2028020
    [latest_product] => 0
    [linkproducts] => 1
    [offers_id] => 
    [offers_name] => 
    [offers_status] => 
    [offers_start_date] => 
    [offers_end_date] => 
    [pageview] => 
    [offers_slug] => 
    [offers_product_id] => 
    [offers_product_code] => 
    [offers_master_id] => 
    [offer_percentage] => 
    [offers_product_main_cat] => 
)
PA 20 28020
PA 20 28020

Thiamine - Impurity B (Hydrobromide Salt)


  • Catalogue No.:PA 20 28020

  • CAS :

    NA

  • Molecular Formula : C11H16Br2N4OS

  • Molecular Weight : 412.14

stdClass Object
(
    [pname] => Thiamine - Impurity B
    [catalogue_number] => PA 20 28021
    [category_ids] => ,88,82,80,79,78,75,71,70,
    [chemical_name] => 
    [weight] => 286.78
    [form] => C11H15ClN4OS
    [cas] => 7770-93-6
    [pslug] => 7770-93-6-thiamine-impurity-b-pa2028021
    [latest_product] => 0
    [linkproducts] => 1
    [offers_id] => 
    [offers_name] => 
    [offers_status] => 
    [offers_start_date] => 
    [offers_end_date] => 
    [pageview] => 
    [offers_slug] => 
    [offers_product_id] => 
    [offers_product_code] => 
    [offers_master_id] => 
    [offer_percentage] => 
    [offers_product_main_cat] => 
)
PA 20 28021
PA 20 28021

Thiamine - Impurity B


  • Catalogue No.:PA 20 28021

  • CAS :

    7770-93-6

  • Molecular Formula : C11H15ClN4OS

  • Molecular Weight : 286.78

stdClass Object
(
    [pname] => Thiamine Hydrochloride - Impurity B
    [catalogue_number] => PA 20 28022
    [category_ids] => ,88,82,80,79,78,75,71,70,
    [chemical_name] => 
    [weight] => 323.24
    [form] => C11H16Cl2N4OS
    [cas] => 49614-72-4
    [pslug] => 49614-72-4-thiamine-hydrochloride-impurity-b-hydrochloride-salt-pa2028022
    [latest_product] => 0
    [linkproducts] => 1
    [offers_id] => 
    [offers_name] => 
    [offers_status] => 
    [offers_start_date] => 
    [offers_end_date] => 
    [pageview] => 
    [offers_slug] => 
    [offers_product_id] => 
    [offers_product_code] => 
    [offers_master_id] => 
    [offer_percentage] => 
    [offers_product_main_cat] => 
)
PA 20 28022
PA 20 28022

Thiamine Hydrochloride - Impurity B


  • Catalogue No.:PA 20 28022

  • CAS :

    49614-72-4

  • Molecular Formula : C11H16Cl2N4OS

  • Molecular Weight : 323.24

stdClass Object
(
    [pname] => Thiamine - Impurity D
    [catalogue_number] => PA 20 28040
    [category_ids] => ,79,80,71,75,78,70,82,88,
    [chemical_name] => 
    [weight] => 280.35
    [form] => C12H16N4O2S
    [cas] => 490-82-4
    [pslug] => 490-82-4-thiamine-impurity-d-pa2028040
    [latest_product] => 0
    [linkproducts] => 0
    [offers_id] => 
    [offers_name] => 
    [offers_status] => 
    [offers_start_date] => 
    [offers_end_date] => 
    [pageview] => 
    [offers_slug] => 
    [offers_product_id] => 
    [offers_product_code] => 
    [offers_master_id] => 
    [offer_percentage] => 
    [offers_product_main_cat] => 
)
PA 20 28040
PA 20 28040

Thiamine - Impurity D


  • Catalogue No.:PA 20 28040

  • CAS :

    490-82-4

  • Molecular Formula : C12H16N4O2S

  • Molecular Weight : 280.35

stdClass Object
(
    [pname] => Thiamine - Impurity H
    [catalogue_number] => PA 20 28080
    [category_ids] => ,79,80,71,75,78,70,82,88,
    [chemical_name] => 
    [weight] => 356.46
    [form] => C14H20N4O3S2
    [cas] => 89285-03-0
    [pslug] => 89285-03-0-thiamine-impurity-h-pa2028080
    [latest_product] => 1
    [linkproducts] => 0
    [offers_id] => 
    [offers_name] => 
    [offers_status] => 
    [offers_start_date] => 
    [offers_end_date] => 
    [pageview] => 
    [offers_slug] => 
    [offers_product_id] => 
    [offers_product_code] => 
    [offers_master_id] => 
    [offer_percentage] => 
    [offers_product_main_cat] => 
)
PA 20 28080
PA 20 28080

Thiamine - Impurity H

pharmaffiliates

  • Catalogue No.:PA 20 28080

  • CAS :

    89285-03-0

  • Molecular Formula : C14H20N4O3S2

  • Molecular Weight : 356.46

stdClass Object
(
    [pname] => 3-(((4-Amino-2-methylpyrimidin-5-yl)methyl)thio)-5-hydroxypentan-2-one
    [catalogue_number] => PA 20 0281012
    [category_ids] => ,79,80,71,75,78,70,82,
    [chemical_name] => 
    [weight] => 255.34
    [form] => C11H17N3O2S
    [cas] => 2410791-57-8
    [pslug] => 2410791-57-8-3-4-amino-2-methylpyrimidin-5-yl-methyl-thio-5-hydroxypentan-2-one-pa200281012
    [latest_product] => 0
    [linkproducts] => 0
    [offers_id] => 
    [offers_name] => 
    [offers_status] => 
    [offers_start_date] => 
    [offers_end_date] => 
    [pageview] => 
    [offers_slug] => 
    [offers_product_id] => 
    [offers_product_code] => 
    [offers_master_id] => 
    [offer_percentage] => 
    [offers_product_main_cat] => 
)
PA 20 0281012
PA 20 0281012

3-(((4-Amino-2-methylpyrimidin-5-yl)methyl)thio)-5-hydroxypentan-2-one


  • Catalogue No.:PA 20 0281012

  • CAS :

    2410791-57-8

  • Molecular Formula : C11H17N3O2S

  • Molecular Weight : 255.34

stdClass Object
(
    [pname] => N5,2-Dimethylpyrimidine-4,5-diamine
    [catalogue_number] => PA 20 0281015
    [category_ids] => ,79,80,71,75,78,70,82,
    [chemical_name] => 
    [weight] => 138.17
    [form] => C6H10N4
    [cas] => 101080-48-2
    [pslug] => 101080-48-2-n5-2-dimethylpyrimidine-4-5-diamine-pa200281015
    [latest_product] => 0
    [linkproducts] => 0
    [offers_id] => 
    [offers_name] => 
    [offers_status] => 
    [offers_start_date] => 
    [offers_end_date] => 
    [pageview] => 
    [offers_slug] => 
    [offers_product_id] => 
    [offers_product_code] => 
    [offers_master_id] => 
    [offer_percentage] => 
    [offers_product_main_cat] => 
)
PA 20 0281015
PA 20 0281015

N5,2-Dimethylpyrimidine-4,5-diamine


  • Catalogue No.:PA 20 0281015

  • CAS :

    101080-48-2

  • Molecular Formula : C6H10N4

  • Molecular Weight : 138.17

stdClass Object
(
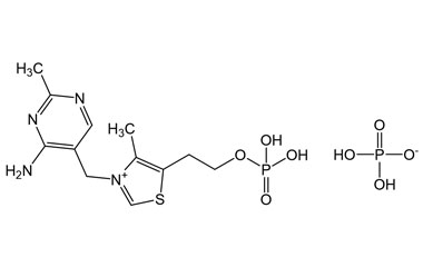
    [pname] => Thiamine Monophosphate Phosphate
    [catalogue_number] => PA 20 0281016
    [category_ids] => ,79,80,71,75,78,70,82,88,
    [chemical_name] => 
    [weight] => 442.32
    [form] => C12H20N4O8P2S
    [cas] => NA
    [pslug] => thiamine-monophosphate-phosphate-pa200281016
    [latest_product] => 0
    [linkproducts] => 1
    [offers_id] => 
    [offers_name] => 
    [offers_status] => 
    [offers_start_date] => 
    [offers_end_date] => 
    [pageview] => 
    [offers_slug] => 
    [offers_product_id] => 
    [offers_product_code] => 
    [offers_master_id] => 
    [offer_percentage] => 
    [offers_product_main_cat] => 
)
PA 20 0281016
PA 20 0281016

Thiamine Monophosphate Phosphate


  • Catalogue No.:PA 20 0281016

  • CAS :

    NA

  • Molecular Formula : C12H20N4O8P2S

  • Molecular Weight : 442.32

stdClass Object
(
    [pname] => 7-Methyl-3-nitroso-4,6-dihydropyrimido[4,5-d]pyrimidine-2(3H)-thione
    [catalogue_number] => PA 20 0281017
    [category_ids] => ,79,80,71,78,70,82,162,
    [chemical_name] => 
    [weight] => 209.23
    [form] => C7H7N5OS
    [cas] => NA
    [pslug] => 7-methyl-3-nitroso-4-6-dihydropyrimido-4-5-d-pyrimidine-2-3h-thione-pa200281017
    [latest_product] => 0
    [linkproducts] => 0
    [offers_id] => 
    [offers_name] => 
    [offers_status] => 
    [offers_start_date] => 
    [offers_end_date] => 
    [pageview] => 
    [offers_slug] => 
    [offers_product_id] => 
    [offers_product_code] => 
    [offers_master_id] => 
    [offer_percentage] => 
    [offers_product_main_cat] => 
)
PA 20 0281017
PA 20 0281017

7-Methyl-3-nitroso-4,6-dihydropyrimido[4,5-d]pyrimidine-2(3H)-thione


  • Catalogue No.:PA 20 0281017

  • CAS :

    NA

  • Molecular Formula : C7H7N5OS

  • Molecular Weight : 209.23

stdClass Object
(
    [pname] => 3-((((4-Amino-2-methylpyrimidin-5-yl)methyl)(nitroso)carbamothioyl)thio)-4-oxopentyl acetate
    [catalogue_number] => PA 20 0281018
    [category_ids] => ,79,80,71,78,70,82,162,
    [chemical_name] => 
    [weight] => 385.46
    [form] => C14H19N5O4S2
    [cas] => NA
    [pslug] => 3-4-amino-2-methylpyrimidin-5-yl-methyl-nitroso-carbamothioyl-thio-4-oxopentyl-acetate-pa200281018
    [latest_product] => 0
    [linkproducts] => 0
    [offers_id] => 
    [offers_name] => 
    [offers_status] => 
    [offers_start_date] => 
    [offers_end_date] => 
    [pageview] => 
    [offers_slug] => 
    [offers_product_id] => 
    [offers_product_code] => 
    [offers_master_id] => 
    [offer_percentage] => 
    [offers_product_main_cat] => 
)
PA 20 0281018
PA 20 0281018

3-((((4-Amino-2-methylpyrimidin-5-yl)methyl)(nitroso)carbamothioyl)thio)-4-oxopentyl acetate


  • Catalogue No.:PA 20 0281018

  • CAS :

    NA

  • Molecular Formula : C14H19N5O4S2

  • Molecular Weight : 385.46

stdClass Object
(
    [pname] => N-(2,4-Dimethylpyrimidin-5-yl)-N-(4-(methoxymethyl)-5-methylcyclopenta-1,4-dien-1-yl)nitrous amide
    [catalogue_number] => PA 20 0281019
    [category_ids] => ,79,80,71,78,70,82,162,
    [chemical_name] => 
    [weight] => 274.32
    [form] => C14H18N4O2
    [cas] => NA
    [pslug] => n-2-4-dimethylpyrimidin-5-yl-n-4-methoxymethyl-5-methylcyclopenta-1-4-dien-1-yl-nitrous-amide-pa200281019
    [latest_product] => 0
    [linkproducts] => 0
    [offers_id] => 
    [offers_name] => 
    [offers_status] => 
    [offers_start_date] => 
    [offers_end_date] => 
    [pageview] => 
    [offers_slug] => 
    [offers_product_id] => 
    [offers_product_code] => 
    [offers_master_id] => 
    [offer_percentage] => 
    [offers_product_main_cat] => 
)
PA 20 0281019
PA 20 0281019

N-(2,4-Dimethylpyrimidin-5-yl)-N-(4-(methoxymethyl)-5-methylcyclopenta-1,4-dien-1-yl)nitrous amide


  • Catalogue No.:PA 20 0281019

  • CAS :

    NA

  • Molecular Formula : C14H18N4O2

  • Molecular Weight : 274.32