oxymetazoline hydrochloride

Aromatics - A hydrochloride salt of Oxymetazoline, which is a topical decongestant. It is a selective α1 adrenergic receptor agonist and α2 adrenergic receptor partial agonist. It is an over-the-counter drug with vasoconstricting properties and is also used in treating nose bleeds.Reference standards of Oxymetazoline Hydrochloride API,and its pharmacopeial, non pharmacopeial impurities, and stable isotopes are listed below.

stdClass Object
(
    [pname] => Oxymetazoline Hydrochloride
    [catalogue_number] => PA 15 22000
    [category_ids] => ,80,71,78,70,82,
    [chemical_name] => 
    [weight] => 296.84
    [form] => C16H25ClN2O
    [cas] => 2315-02-8
    [pslug] => 2315-02-8-oxymetazoline-hydrochloride-api-pa1522000
    [latest_product] => 0
    [linkproducts] => 0
    [offers_id] => 
    [offers_name] => 
    [offers_status] => 
    [offers_start_date] => 
    [offers_end_date] => 
    [pageview] => 
    [offers_slug] => 
    [offers_product_id] => 
    [offers_product_code] => 
    [offers_master_id] => 
    [offer_percentage] => 
    [offers_product_main_cat] => 
)
PA 15 22000
PA 15 22000

Oxymetazoline Hydrochloride


  • Catalogue No.:PA 15 22000

  • CAS :

    2315-02-8

  • Molecular Formula : C16H25ClN2O

  • Molecular Weight : 296.84

stdClass Object
(
    [pname] => Oxymetazoline - Impurity A
    [catalogue_number] => PA 15 22010
    [category_ids] => ,79,80,70,
    [chemical_name] => 
    [weight] => 314.85
    [form] => C16H27ClN2O2
    [cas] => 1391053-50-1
    [pslug] => 1391053-50-1-oxymetazoline-impurity-a-pa1522010
    [latest_product] => 0
    [linkproducts] => 1
    [offers_id] => 
    [offers_name] => 
    [offers_status] => 
    [offers_start_date] => 
    [offers_end_date] => 
    [pageview] => 
    [offers_slug] => 
    [offers_product_id] => 
    [offers_product_code] => 
    [offers_master_id] => 
    [offer_percentage] => 
    [offers_product_main_cat] => 
)
PA 15 22010
PA 15 22010

Oxymetazoline - Impurity A


  • Catalogue No.:PA 15 22010

  • CAS :

    1391053-50-1

  • Molecular Formula : C16H27ClN2O2

  • Molecular Weight : 314.85

stdClass Object
(
    [pname] => Oxymetazoline - Impurity B
    [catalogue_number] => PA 15 22020
    [category_ids] => ,80,71,78,70,82,
    [chemical_name] => 
    [weight] => 280.84
    [form] => C16H25ClN2
    [cas] => 1218-35-5
    [pslug] => 1218-35-5-oxymetazoline-impurity-b-pa1522020
    [latest_product] => 0
    [linkproducts] => 1
    [offers_id] => 
    [offers_name] => 
    [offers_status] => 
    [offers_start_date] => 
    [offers_end_date] => 
    [pageview] => 
    [offers_slug] => 
    [offers_product_id] => 
    [offers_product_code] => 
    [offers_master_id] => 
    [offer_percentage] => 
    [offers_product_main_cat] => 
)
PA 15 22020
PA 15 22020

Oxymetazoline - Impurity B


  • Catalogue No.:PA 15 22020

  • CAS :

    1218-35-5

  • Molecular Formula : C16H25ClN2

  • Molecular Weight : 280.84

stdClass Object
(
    [pname] => Oxymetazoline - Impurity C
    [catalogue_number] => PA 15 22030
    [category_ids] => ,79,80,75,78,70,82,
    [chemical_name] => 
    [weight] => 235.32
    [form] => C14H21NO2
    [cas] => 55699-13-3
    [pslug] => 55699-13-3-oxymetazoline-impurity-c-pa1522030
    [latest_product] => 0
    [linkproducts] => 0
    [offers_id] => 
    [offers_name] => 
    [offers_status] => 
    [offers_start_date] => 
    [offers_end_date] => 
    [pageview] => 
    [offers_slug] => 
    [offers_product_id] => 
    [offers_product_code] => 
    [offers_master_id] => 
    [offer_percentage] => 
    [offers_product_main_cat] => 
)
PA 15 22030
PA 15 22030

Oxymetazoline - Impurity C


  • Catalogue No.:PA 15 22030

  • CAS :

    55699-13-3

  • Molecular Formula : C14H21NO2

  • Molecular Weight : 235.32

stdClass Object
(
    [pname] => Oxymetazoline - Impurity D
    [catalogue_number] => PA 15 22040
    [category_ids] => ,80,71,78,70,82,
    [chemical_name] => 
    [weight] => 236.31
    [form] => C14H20O3
    [cas] => 55699-12-2
    [pslug] => 55699-12-2-oxymetazoline-impurity-d-pa1522040
    [latest_product] => 0
    [linkproducts] => 0
    [offers_id] => 
    [offers_name] => 
    [offers_status] => 
    [offers_start_date] => 
    [offers_end_date] => 
    [pageview] => 
    [offers_slug] => 
    [offers_product_id] => 
    [offers_product_code] => 
    [offers_master_id] => 
    [offer_percentage] => 
    [offers_product_main_cat] => 
)
PA 15 22040
PA 15 22040

Oxymetazoline - Impurity D


  • Catalogue No.:PA 15 22040

  • CAS :

    55699-12-2

  • Molecular Formula : C14H20O3

  • Molecular Weight : 236.31

stdClass Object
(
    [pname] => Oxymetazoline - Impurity E
    [catalogue_number] => PA 15 22050
    [category_ids] => ,80,75,78,70,82,
    [chemical_name] => 
    [weight] => 217.31
    [form] => C14H19NO
    [cas] => 55699-10-0
    [pslug] => 55699-10-0-oxymetazoline-impurity-e-pa1522050
    [latest_product] => 0
    [linkproducts] => 0
    [offers_id] => 
    [offers_name] => 
    [offers_status] => 
    [offers_start_date] => 
    [offers_end_date] => 
    [pageview] => 
    [offers_slug] => 
    [offers_product_id] => 
    [offers_product_code] => 
    [offers_master_id] => 
    [offer_percentage] => 
    [offers_product_main_cat] => 
)
PA 15 22050
PA 15 22050

Oxymetazoline - Impurity E


  • Catalogue No.:PA 15 22050

  • CAS :

    55699-10-0

  • Molecular Formula : C14H19NO

  • Molecular Weight : 217.31

stdClass Object
(
    [pname] => 6-(tert-Butyl)-2,4-dimethyl-3-((1-nitroso-4,5-dihydro-1H-imidazol-2-yl)methyl)phenol
    [catalogue_number] => PA 15 0221001
    [category_ids] => ,70,71,78,80,82,162,
    [chemical_name] => 
    [weight] => 289.38
    [form] => C16H23N3O2
    [cas] => NA
    [pslug] => 6-tert-butyl-2-4-dimethyl-3-1-nitroso-4-5-dihydro-1h-imidazol-2-yl-methyl-phenol-pa150221001
    [latest_product] => 0
    [linkproducts] => 0
    [offers_id] => 
    [offers_name] => 
    [offers_status] => 
    [offers_start_date] => 
    [offers_end_date] => 
    [pageview] => 
    [offers_slug] => 
    [offers_product_id] => 
    [offers_product_code] => 
    [offers_master_id] => 
    [offer_percentage] => 
    [offers_product_main_cat] => 
)
PA 15 0221001
PA 15 0221001

6-(tert-Butyl)-2,4-dimethyl-3-((1-nitroso-4,5-dihydro-1H-imidazol-2-yl)methyl)phenol


  • Catalogue No.:PA 15 0221001

  • CAS :

    NA

  • Molecular Formula : C16H23N3O2

  • Molecular Weight : 289.38

stdClass Object
(
    [pname] => Oxymetazoline N-Oxide
    [catalogue_number] => PA 15 0221002
    [category_ids] => ,80,71,78,70,82,
    [chemical_name] => 
    [weight] => 276.38
    [form] => C16H24N2O2
    [cas] => NA
    [pslug] => oxymetazoline-n-oxide-pa150221002
    [latest_product] => 0
    [linkproducts] => 0
    [offers_id] => 
    [offers_name] => 
    [offers_status] => 
    [offers_start_date] => 
    [offers_end_date] => 
    [pageview] => 
    [offers_slug] => 
    [offers_product_id] => 
    [offers_product_code] => 
    [offers_master_id] => 
    [offer_percentage] => 
    [offers_product_main_cat] => 
)
PA 15 0221002
PA 15 0221002

Oxymetazoline N-Oxide


  • Catalogue No.:PA 15 0221002

  • CAS :

    NA

  • Molecular Formula : C16H24N2O2

  • Molecular Weight : 276.38

stdClass Object
(
    [pname] => 6-(tert-Butyl)-3-((4,5-dihydro-1H-imidazol-2-yl)methyl)-4-hydroxy-2,4-dimethylcyclohexa-2,5-dien-1-one
    [catalogue_number] => PA 15 0221003
    [category_ids] => ,80,71,78,70,82,
    [chemical_name] => 
    [weight] => 276.38
    [form] => C16H24N2O2
    [cas] => NA
    [pslug] => 6-tert-butyl-3-4-5-dihydro-1h-imidazol-2-yl-methyl-4-hydroxy-2-4-dimethylcyclohexa-2-5-dien-1-one-pa150221003
    [latest_product] => 0
    [linkproducts] => 0
    [offers_id] => 
    [offers_name] => 
    [offers_status] => 
    [offers_start_date] => 
    [offers_end_date] => 
    [pageview] => 
    [offers_slug] => 
    [offers_product_id] => 
    [offers_product_code] => 
    [offers_master_id] => 
    [offer_percentage] => 
    [offers_product_main_cat] => 
)
PA 15 0221003
PA 15 0221003

6-(tert-Butyl)-3-((4,5-dihydro-1H-imidazol-2-yl)methyl)-4-hydroxy-2,4-dimethylcyclohexa-2,5-dien-1-one


  • Catalogue No.:PA 15 0221003

  • CAS :

    NA

  • Molecular Formula : C16H24N2O2

  • Molecular Weight : 276.38

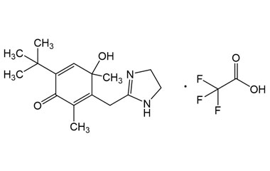
stdClass Object
(
    [pname] => 6-(tert-Butyl)-3-((4,5-dihydro-1H-imidazol-2-yl)methyl)-4-hydroxy-2,4-dimethylcyclohexa-2,5-dien-1-one 2,2,2-trifluoroacetate
    [catalogue_number] => PA 15 0221004
    [category_ids] => ,80,71,78,70,82,
    [chemical_name] => 
    [weight] => 390.4
    [form] => C18H25F3N2O4
    [cas] => NA
    [pslug] => 6-tert-butyl-3-4-5-dihydro-1h-imidazol-2-yl-methyl-4-hydroxy-2-4-dimethylcyclohexa-2-5-dien-1-one-2-2-2-trifluoroacetate-pa150221004
    [latest_product] => 0
    [linkproducts] => 0
    [offers_id] => 
    [offers_name] => 
    [offers_status] => 
    [offers_start_date] => 
    [offers_end_date] => 
    [pageview] => 
    [offers_slug] => 
    [offers_product_id] => 
    [offers_product_code] => 
    [offers_master_id] => 
    [offer_percentage] => 
    [offers_product_main_cat] => 
)
PA 15 0221004
PA 15 0221004

6-(tert-Butyl)-3-((4,5-dihydro-1H-imidazol-2-yl)methyl)-4-hydroxy-2,4-dimethylcyclohexa-2,5-dien-1-one 2,2,2-trifluoroacetate


  • Catalogue No.:PA 15 0221004

  • CAS :

    NA

  • Molecular Formula : C18H25F3N2O4

  • Molecular Weight : 390.4

stdClass Object
(
    [pname] => N-(2-Aminoethyl)-2-(4-(tert-butyl)-2,5-dihydroxy-3,6-dimethylphenyl)acetamide
    [catalogue_number] => PA 15 0221005
    [category_ids] => ,80,71,78,70,82,
    [chemical_name] => 
    [weight] => 294.4
    [form] => C16H26N2O3
    [cas] => NA
    [pslug] => n-2-aminoethyl-2-4-tert-butyl-2-5-dihydroxy-3-6-dimethylphenyl-acetamide-pa150221005
    [latest_product] => 0
    [linkproducts] => 0
    [offers_id] => 
    [offers_name] => 
    [offers_status] => 
    [offers_start_date] => 
    [offers_end_date] => 
    [pageview] => 
    [offers_slug] => 
    [offers_product_id] => 
    [offers_product_code] => 
    [offers_master_id] => 
    [offer_percentage] => 
    [offers_product_main_cat] => 
)
PA 15 0221005
PA 15 0221005

N-(2-Aminoethyl)-2-(4-(tert-butyl)-2,5-dihydroxy-3,6-dimethylphenyl)acetamide


  • Catalogue No.:PA 15 0221005

  • CAS :

    NA

  • Molecular Formula : C16H26N2O3

  • Molecular Weight : 294.4

stdClass Object
(
    [pname] => N-(2-Aminoethyl)-2-(4-(tert-butyl)-3,5-dihydroxy-2,6-dimethylphenyl)acetamide
    [catalogue_number] => PA 15 0221006
    [category_ids] => ,80,71,78,70,82,
    [chemical_name] => 
    [weight] => 294.4
    [form] => C16H26N2O3
    [cas] => NA
    [pslug] => n-2-aminoethyl-2-4-tert-butyl-3-5-dihydroxy-2-6-dimethylphenyl-acetamide-pa150221006
    [latest_product] => 0
    [linkproducts] => 0
    [offers_id] => 
    [offers_name] => 
    [offers_status] => 
    [offers_start_date] => 
    [offers_end_date] => 
    [pageview] => 
    [offers_slug] => 
    [offers_product_id] => 
    [offers_product_code] => 
    [offers_master_id] => 
    [offer_percentage] => 
    [offers_product_main_cat] => 
)
PA 15 0221006
PA 15 0221006

N-(2-Aminoethyl)-2-(4-(tert-butyl)-3,5-dihydroxy-2,6-dimethylphenyl)acetamide


  • Catalogue No.:PA 15 0221006

  • CAS :

    NA

  • Molecular Formula : C16H26N2O3

  • Molecular Weight : 294.4