Carumonam

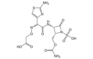
Fine chemicals - Carumonam is a monobactam antibiotic used to treat Gram-negative bacterial infections, offering selective activity against aerobic pathogens with minimal cross-reactivity to other β-lactam antibiotics. Reference standards of Carumonam API, and its pharmacopeial, non pharmacopeial impurities, and stable isotopes are listed below.

stdClass Object
(
    [pname] => Carumonam
    [catalogue_number] => PA 03 5010000
    [category_ids] => ,78,70,82,
    [chemical_name] => 
    [weight] => 466.4
    [form] => C12H14N6O10S2
    [cas] => 87638-04-8
    [pslug] => 87638-04-8-carumonam-pa035010000
    [latest_product] => 0
    [linkproducts] => 0
    [offers_id] => 
    [offers_name] => 
    [offers_status] => 
    [offers_start_date] => 
    [offers_end_date] => 
    [pageview] => 
    [offers_slug] => 
    [offers_product_id] => 
    [offers_product_code] => 
    [offers_master_id] => 
    [offer_percentage] => 
    [offers_product_main_cat] => 
)
PA 03 5010000
PA 03 5010000

Carumonam


  • Catalogue No.:PA 03 5010000

  • CAS :

    87638-04-8

  • Molecular Formula : C12H14N6O10S2

  • Molecular Weight : 466.4