daunorubicin hydrochloride

Fine chemicals - A hydrochloride salt of Daunorubicin, which is an anti tumor drug and belongs to anthracycline family. It works by interacting with the DNA and inhibits macromolecular synthesis.. Reference standards of Daunorubicin Hydrochloride API, and its pharmacopeial, non pharmacopeial impurities, and stable isotopes are listed below

stdClass Object
(
    [pname] => Daunorubicin Hydrochloride
    [catalogue_number] => PA 04 08000
    [category_ids] => ,91,82,78,71,70,69,170,
    [chemical_name] => 
    [weight] => 563.98
    [form] => C27H30ClNO10
    [cas] => 23541-50-6
    [pslug] => 23541-50-6-daunorubicin-hydrochloride-api-pa0408000
    [latest_product] => 0
    [linkproducts] => 1
    [offers_id] => 
    [offers_name] => 
    [offers_status] => 
    [offers_start_date] => 
    [offers_end_date] => 
    [pageview] => 
    [offers_slug] => 
    [offers_product_id] => 
    [offers_product_code] => 
    [offers_master_id] => 
    [offer_percentage] => 
    [offers_product_main_cat] => 
)
PA 04 08000
PA 04 08000

Daunorubicin Hydrochloride


  • Catalogue No.:PA 04 08000

  • CAS :

    23541-50-6

  • Molecular Formula : C27H30ClNO10

  • Molecular Weight : 563.98

stdClass Object
(
    [pname] => Daunorubicin - Impurity A
    [catalogue_number] => PA 04 08010
    [category_ids] => ,70,75,76,78,82,
    [chemical_name] => 
    [weight] => 398.36
    [form] => C21H18O8
    [cas] => 21794-55-8
    [pslug] => 21794-55-8-daunorubicin-impurity-a-pa0408010
    [latest_product] => 0
    [linkproducts] => 0
    [offers_id] => 
    [offers_name] => 
    [offers_status] => 
    [offers_start_date] => 
    [offers_end_date] => 
    [pageview] => 
    [offers_slug] => 
    [offers_product_id] => 
    [offers_product_code] => 
    [offers_master_id] => 
    [offer_percentage] => 
    [offers_product_main_cat] => 
)
PA 04 08010
PA 04 08010

Daunorubicin - Impurity A


  • Catalogue No.:PA 04 08010

  • CAS :

    21794-55-8

  • Molecular Formula : C21H18O8

  • Molecular Weight : 398.36

stdClass Object
(
    [pname] => Daunorubicin - Impurity B
    [catalogue_number] => PA 04 08020
    [category_ids] => ,70,78,81,82,98,
    [chemical_name] => 
    [weight] => 529.54
    [form] => C27H31NO10
    [cas] => NA
    [pslug] => daunorubicin-impurity-b-pa0408020
    [latest_product] => 0
    [linkproducts] => 1
    [offers_id] => 
    [offers_name] => 
    [offers_status] => 
    [offers_start_date] => 
    [offers_end_date] => 
    [pageview] => 
    [offers_slug] => 
    [offers_product_id] => 
    [offers_product_code] => 
    [offers_master_id] => 
    [offer_percentage] => 
    [offers_product_main_cat] => 
)
PA 04 08020
PA 04 08020

Daunorubicin - Impurity B


  • Catalogue No.:PA 04 08020

  • CAS :

    NA

  • Molecular Formula : C27H31NO10

  • Molecular Weight : 529.54

stdClass Object
(
    [pname] => Daunorubicin - Impurity C (HCl Salt)
    [catalogue_number] => PA 04 08030
    [category_ids] => ,70,78,81,82,98,
    [chemical_name] => 
    [weight] => 578.01
    [form] => C28H32ClNO10
    [cas] => NA
    [pslug] => daunorubicin-impurity-c-hcl-salt-pa0408030
    [latest_product] => 0
    [linkproducts] => 1
    [offers_id] => 
    [offers_name] => 
    [offers_status] => 
    [offers_start_date] => 
    [offers_end_date] => 
    [pageview] => 
    [offers_slug] => 
    [offers_product_id] => 
    [offers_product_code] => 
    [offers_master_id] => 
    [offer_percentage] => 
    [offers_product_main_cat] => 
)
PA 04 08030
PA 04 08030

Daunorubicin - Impurity C (HCl Salt)


  • Catalogue No.:PA 04 08030

  • CAS :

    NA

  • Molecular Formula : C28H32ClNO10

  • Molecular Weight : 578.01

stdClass Object
(
    [pname] => 14-O-Acetyldaunomycinone
    [catalogue_number] => PA 04 08510
    [category_ids] => ,70,75,76,78,82,
    [chemical_name] => 
    [weight] => 456.4
    [form] => C23H20O10
    [cas] => 29984-41-6
    [pslug] => 29984-41-6-14-o-acetyldaunomycinone-pa0408510
    [latest_product] => 0
    [linkproducts] => 0
    [offers_id] => 
    [offers_name] => 
    [offers_status] => 
    [offers_start_date] => 
    [offers_end_date] => 
    [pageview] => 
    [offers_slug] => 
    [offers_product_id] => 
    [offers_product_code] => 
    [offers_master_id] => 
    [offer_percentage] => 
    [offers_product_main_cat] => 
)
PA 04 08510
PA 04 08510

14-O-Acetyldaunomycinone


  • Catalogue No.:PA 04 08510

  • CAS :

    29984-41-6

  • Molecular Formula : C23H20O10

  • Molecular Weight : 456.4

stdClass Object
(
    [pname] => 4-Demethyl Daunomycinone
    [catalogue_number] => PA 04 08520
    [category_ids] => ,69,70,75,76,78,82,
    [chemical_name] => 
    [weight] => 384.34
    [form] => C20H16O8
    [cas] => 52744-22-6
    [pslug] => 52744-22-6-4-demethyl-daunomycinone-pa0408520
    [latest_product] => 0
    [linkproducts] => 0
    [offers_id] => 
    [offers_name] => 
    [offers_status] => 
    [offers_start_date] => 
    [offers_end_date] => 
    [pageview] => 
    [offers_slug] => 
    [offers_product_id] => 
    [offers_product_code] => 
    [offers_master_id] => 
    [offer_percentage] => 
    [offers_product_main_cat] => 
)
PA 04 08520
PA 04 08520

4-Demethyl Daunomycinone


  • Catalogue No.:PA 04 08520

  • CAS :

    52744-22-6

  • Molecular Formula : C20H16O8

  • Molecular Weight : 384.34

stdClass Object
(
    [pname] => 14-((4-Methoxyphenyl)diphenylmethoxy) Daunomycinone
    [catalogue_number] => PA 04 08530
    [category_ids] => ,70,75,76,78,82,
    [chemical_name] => 
    [weight] => 686.7
    [form] => C41H34O10
    [cas] => 59326-04-4
    [pslug] => 59326-04-4-14-4-methoxyphenyl-diphenylmethoxy-daunomycinone-pa0408530
    [latest_product] => 0
    [linkproducts] => 0
    [offers_id] => 
    [offers_name] => 
    [offers_status] => 
    [offers_start_date] => 
    [offers_end_date] => 
    [pageview] => 
    [offers_slug] => 
    [offers_product_id] => 
    [offers_product_code] => 
    [offers_master_id] => 
    [offer_percentage] => 
    [offers_product_main_cat] => 
)
PA 04 08530
PA 04 08530

14-((4-Methoxyphenyl)diphenylmethoxy) Daunomycinone


  • Catalogue No.:PA 04 08530

  • CAS :

    59326-04-4

  • Molecular Formula : C41H34O10

  • Molecular Weight : 686.7

stdClass Object
(
    [pname] => 6,10,11-Triethylcarbonate Daunomycinone
    [catalogue_number] => PA 04 08540
    [category_ids] => ,70,75,76,78,82,
    [chemical_name] => 
    [weight] => 614.55
    [form] => C30H30O14
    [cas] => 67665-61-6
    [pslug] => 67665-61-6-6-10-11-triethylcarbonate-daunomycinone-pa0408540
    [latest_product] => 0
    [linkproducts] => 0
    [offers_id] => 
    [offers_name] => 
    [offers_status] => 
    [offers_start_date] => 
    [offers_end_date] => 
    [pageview] => 
    [offers_slug] => 
    [offers_product_id] => 
    [offers_product_code] => 
    [offers_master_id] => 
    [offer_percentage] => 
    [offers_product_main_cat] => 
)
PA 04 08540
PA 04 08540

6,10,11-Triethylcarbonate Daunomycinone


  • Catalogue No.:PA 04 08540

  • CAS :

    67665-61-6

  • Molecular Formula : C30H30O14

  • Molecular Weight : 614.55

stdClass Object
(
    [pname] => 6,10,11-Triethylcarbonate-1-demethyl Daunomycinone
    [catalogue_number] => PA 04 08550
    [category_ids] => ,70,75,76,78,82,
    [chemical_name] => 
    [weight] => 600.52
    [form] => C29H28O14
    [cas] => 67665-62-7
    [pslug] => 67665-62-7-6-10-11-triethylcarbonate-1-demethyl-daunomycinone-pa0408550
    [latest_product] => 0
    [linkproducts] => 0
    [offers_id] => 
    [offers_name] => 
    [offers_status] => 
    [offers_start_date] => 
    [offers_end_date] => 
    [pageview] => 
    [offers_slug] => 
    [offers_product_id] => 
    [offers_product_code] => 
    [offers_master_id] => 
    [offer_percentage] => 
    [offers_product_main_cat] => 
)
PA 04 08550
PA 04 08550

6,10,11-Triethylcarbonate-1-demethyl Daunomycinone


  • Catalogue No.:PA 04 08550

  • CAS :

    67665-62-7

  • Molecular Formula : C29H28O14

  • Molecular Weight : 600.52

stdClass Object
(
    [pname] => 4'-epi-Daunorubicin Hydrochloride
    [catalogue_number] => PA 04 08560
    [category_ids] => ,69,70,71,78,82,91,
    [chemical_name] => 
    [weight] => 563.98
    [form] => C27H30ClNO10
    [cas] => 56390-08-0
    [pslug] => 56390-08-0-4-epi-daunorubicin-hydrochloride-pa0408560
    [latest_product] => 0
    [linkproducts] => 0
    [offers_id] => 
    [offers_name] => 
    [offers_status] => 
    [offers_start_date] => 
    [offers_end_date] => 
    [pageview] => 
    [offers_slug] => 
    [offers_product_id] => 
    [offers_product_code] => 
    [offers_master_id] => 
    [offer_percentage] => 
    [offers_product_main_cat] => 
)
PA 04 08560
PA 04 08560

4'-epi-Daunorubicin Hydrochloride


  • Catalogue No.:PA 04 08560

  • CAS :

    56390-08-0

  • Molecular Formula : C27H30ClNO10

  • Molecular Weight : 563.98

stdClass Object
(
    [pname] => Ala-Leu-Ala-Leu Daunorubicin Hydrochloride
    [catalogue_number] => PA 04 08570
    [category_ids] => ,70,78,82,114,
    [chemical_name] => 
    [weight] => 932.45
    [form] => C45H62ClN5O14
    [cas] => 76582-70-2
    [pslug] => 76582-70-2-ala-leu-ala-leu-daunorubicin-hydrochloride-pa0408570
    [latest_product] => 0
    [linkproducts] => 0
    [offers_id] => 
    [offers_name] => 
    [offers_status] => 
    [offers_start_date] => 
    [offers_end_date] => 
    [pageview] => 
    [offers_slug] => 
    [offers_product_id] => 
    [offers_product_code] => 
    [offers_master_id] => 
    [offer_percentage] => 
    [offers_product_main_cat] => 
)
PA 04 08570
PA 04 08570

Ala-Leu-Ala-Leu Daunorubicin Hydrochloride


  • Catalogue No.:PA 04 08570

  • CAS :

    76582-70-2

  • Molecular Formula : C45H62ClN5O14

  • Molecular Weight : 932.45

stdClass Object
(
    [pname] => 8-Desacetyl-8-carboxy Daunorubicin Hydrochloride
    [catalogue_number] => PA 04 08580
    [category_ids] => ,70,71,78,79,82,
    [chemical_name] => 
    [weight] => 565.95
    [form] => C26H28ClNO11
    [cas] => 58199-96-5
    [pslug] => 58199-96-5-8-desacetyl-8-carboxy-daunorubicin-hydrochloride-pa0408580
    [latest_product] => 0
    [linkproducts] => 1
    [offers_id] => 
    [offers_name] => 
    [offers_status] => 
    [offers_start_date] => 
    [offers_end_date] => 
    [pageview] => 
    [offers_slug] => 
    [offers_product_id] => 
    [offers_product_code] => 
    [offers_master_id] => 
    [offer_percentage] => 
    [offers_product_main_cat] => 
)
PA 04 08580
PA 04 08580

8-Desacetyl-8-carboxy Daunorubicin Hydrochloride


  • Catalogue No.:PA 04 08580

  • CAS :

    58199-96-5

  • Molecular Formula : C26H28ClNO11

  • Molecular Weight : 565.95

stdClass Object
(
    [pname] => Valrubicin
    [catalogue_number] => PA 04 08610
    [category_ids] => ,70,78,82,
    [chemical_name] => 
    [weight] => 723.64
    [form] => C34H36F3NO13
    [cas] => 56124-62-0
    [pslug] => 56124-62-0-valrubicin-pa0408610
    [latest_product] => 0
    [linkproducts] => 0
    [offers_id] => 
    [offers_name] => 
    [offers_status] => 
    [offers_start_date] => 
    [offers_end_date] => 
    [pageview] => 
    [offers_slug] => 
    [offers_product_id] => 
    [offers_product_code] => 
    [offers_master_id] => 
    [offer_percentage] => 
    [offers_product_main_cat] => 
)
PA 04 08610
PA 04 08610

Valrubicin


  • Catalogue No.:PA 04 08610

  • CAS :

    56124-62-0

  • Molecular Formula : C34H36F3NO13

  • Molecular Weight : 723.64

stdClass Object
(
    [pname] => Daunorubicin Hydrochloride - Impurity C (Freebase)
    [catalogue_number] => PA 04 0080030
    [category_ids] => ,70,75,76,78,82,
    [chemical_name] => 
    [weight] => 541.55
    [form] => C28H31NO10
    [cas] => 79438-97-4
    [pslug] => 79438-97-4-feudomycin-b-pa040080030
    [latest_product] => 0
    [linkproducts] => 1
    [offers_id] => 
    [offers_name] => 
    [offers_status] => 
    [offers_start_date] => 
    [offers_end_date] => 
    [pageview] => 
    [offers_slug] => 
    [offers_product_id] => 
    [offers_product_code] => 
    [offers_master_id] => 
    [offer_percentage] => 
    [offers_product_main_cat] => 
)
PA 04 0080030
PA 04 0080030

Daunorubicin Hydrochloride - Impurity C (Freebase)


  • Catalogue No.:PA 04 0080030

  • CAS :

    79438-97-4

  • Molecular Formula : C28H31NO10

  • Molecular Weight : 541.55

stdClass Object
(
    [pname] => Dianhydrodaunomycinone
    [catalogue_number] => PA 04 0081001
    [category_ids] => ,70,75,76,78,82,
    [chemical_name] => 
    [weight] => 362.34
    [form] => C21H14O6
    [cas] => 32434-04-1
    [pslug] => 32434-04-1-dianhydrodaunomycinone-pa040081001
    [latest_product] => 0
    [linkproducts] => 0
    [offers_id] => 
    [offers_name] => 
    [offers_status] => 
    [offers_start_date] => 
    [offers_end_date] => 
    [pageview] => 
    [offers_slug] => 
    [offers_product_id] => 
    [offers_product_code] => 
    [offers_master_id] => 
    [offer_percentage] => 
    [offers_product_main_cat] => 
)
PA 04 0081001
PA 04 0081001

Dianhydrodaunomycinone


  • Catalogue No.:PA 04 0081001

  • CAS :

    32434-04-1

  • Molecular Formula : C21H14O6

  • Molecular Weight : 362.34

stdClass Object
(
    [pname] => Daunorubicin Hydrochloride - Impurity B (Hydrochloride Salt)
    [catalogue_number] => PA 04 0080021
    [category_ids] => ,70,75,76,78,82,
    [chemical_name] => 
    [weight] => 566
    [form] => C27H32ClNO10
    [cas] => NA
    [pslug] => daunorubicin-hydrochloride-impurity-b-hydrochloride-salt-pa040080021
    [latest_product] => 0
    [linkproducts] => 1
    [offers_id] => 
    [offers_name] => 
    [offers_status] => 
    [offers_start_date] => 
    [offers_end_date] => 
    [pageview] => 
    [offers_slug] => 
    [offers_product_id] => 
    [offers_product_code] => 
    [offers_master_id] => 
    [offer_percentage] => 
    [offers_product_main_cat] => 
)
PA 04 0080021
PA 04 0080021

Daunorubicin Hydrochloride - Impurity B (Hydrochloride Salt)


  • Catalogue No.:PA 04 0080021

  • CAS :

    NA

  • Molecular Formula : C27H32ClNO10

  • Molecular Weight : 566

stdClass Object
(
    [pname] => Dihydrodaunorubicin Hydrochloride
    [catalogue_number] => PA 04 0081002
    [category_ids] => ,70,71,75,76,78,80,82,93,
    [chemical_name] => 
    [weight] => 566
    [form] => C27H32ClNO10
    [cas] => NA
    [pslug] => dihydrodaunorubicin-hydrochloride-pa040081002
    [latest_product] => 0
    [linkproducts] => 0
    [offers_id] => 
    [offers_name] => 
    [offers_status] => 
    [offers_start_date] => 
    [offers_end_date] => 
    [pageview] => 
    [offers_slug] => 
    [offers_product_id] => 
    [offers_product_code] => 
    [offers_master_id] => 
    [offer_percentage] => 
    [offers_product_main_cat] => 
)
PA 04 0081002
PA 04 0081002

Dihydrodaunorubicin Hydrochloride


  • Catalogue No.:PA 04 0081002

  • CAS :

    NA

  • Molecular Formula : C27H32ClNO10

  • Molecular Weight : 566

stdClass Object
(
    [pname] => Daunorubicin Hydrochloride - Impurity E(Free Base)
    [catalogue_number] => PA 04 0080050
    [category_ids] => ,70,75,76,78,82,
    [chemical_name] => 
    [weight] => 400.38
    [form] => C21H20O8
    [cas] => NA
    [pslug] => daunorubicin-hydrochloride-impurity-e-free-base-pa040080050
    [latest_product] => 0
    [linkproducts] => 0
    [offers_id] => 
    [offers_name] => 
    [offers_status] => 
    [offers_start_date] => 
    [offers_end_date] => 
    [pageview] => 
    [offers_slug] => 
    [offers_product_id] => 
    [offers_product_code] => 
    [offers_master_id] => 
    [offer_percentage] => 
    [offers_product_main_cat] => 
)
PA 04 0080050
PA 04 0080050

Daunorubicin Hydrochloride - Impurity E(Free Base)


  • Catalogue No.:PA 04 0080050

  • CAS :

    NA

  • Molecular Formula : C21H20O8

  • Molecular Weight : 400.38

stdClass Object
(
    [pname] => Daunorubicin Hydrochloride - Impurity F (Free Base)
    [catalogue_number] => PA 04 0080060
    [category_ids] => ,70,75,76,78,82,
    [chemical_name] => 
    [weight] => 541.55
    [form] => C28H31NO10
    [cas] => 771423-67-7
    [pslug] => 771423-67-7-daunorubicin-hydrochloride-impurity-f-free-base-pa040080060
    [latest_product] => 0
    [linkproducts] => 1
    [offers_id] => 
    [offers_name] => 
    [offers_status] => 
    [offers_start_date] => 
    [offers_end_date] => 
    [pageview] => 
    [offers_slug] => 
    [offers_product_id] => 
    [offers_product_code] => 
    [offers_master_id] => 
    [offer_percentage] => 
    [offers_product_main_cat] => 
)
PA 04 0080060
PA 04 0080060

Daunorubicin Hydrochloride - Impurity F (Free Base)


  • Catalogue No.:PA 04 0080060

  • CAS :

    771423-67-7

  • Molecular Formula : C28H31NO10

  • Molecular Weight : 541.55

stdClass Object
(
    [pname] => N-((2S,3S,4S,6R)-6-(((1S,3S)-3-acetyl-3,5,12-trihydroxy-10-methoxy-6,11-dioxo-1,2,3,4,6,11-hexahydrotetracen-1-yl)oxy)-3-hydroxy-2-methyltetrahydro-2H-pyran-4-yl)-2,2,2-trifluoroacetamide
    [catalogue_number] => PA 04 0081003
    [category_ids] => ,70,75,76,78,82,
    [chemical_name] => 
    [weight] => 623.53
    [form] => C29H28F3NO11
    [cas] => 26388-52-3
    [pslug] => 26388-52-3-n-2s-3s-4s-6r-6-1s-3s-3-acetyl-3-5-12-trihydroxy-10-methoxy-6-11-dioxo-1-2-3-4-6-11-hexahydrotetracen-1-yl-oxy-3-hydroxy-2-methyltetrahydro-2h-pyran-4-yl-2-2-2-trifluoroacetamide-pa040081003
    [latest_product] => 0
    [linkproducts] => 0
    [offers_id] => 
    [offers_name] => 
    [offers_status] => 
    [offers_start_date] => 
    [offers_end_date] => 
    [pageview] => 
    [offers_slug] => 
    [offers_product_id] => 
    [offers_product_code] => 
    [offers_master_id] => 
    [offer_percentage] => 
    [offers_product_main_cat] => 
)
PA 04 0081003
PA 04 0081003

N-((2S,3S,4S,6R)-6-(((1S,3S)-3-acetyl-3,5,12-trihydroxy-10-methoxy-6,11-dioxo-1,2,3,4,6,11-hexahydrotetracen-1-yl)oxy)-3-hydroxy-2-methyltetrahydro-2H-pyran-4-yl)-2,2,2-trifluoroacetamide


  • Catalogue No.:PA 04 0081003

  • CAS :

    26388-52-3

  • Molecular Formula : C29H28F3NO11

  • Molecular Weight : 623.53

stdClass Object
(
    [pname] => Daunorubicin Hydrochloride - Impurity D
    [catalogue_number] => PA 04 0080040
    [category_ids] => ,82,78,76,75,170,
    [chemical_name] => 
    [weight] => 543.53
    [form] => C27H29NO11
    [cas] => 23214-92-8
    [pslug] => 23214-92-8-daunorubicin-hydrochloride-impurity-d-pa040080040
    [latest_product] => 0
    [linkproducts] => 0
    [offers_id] => 
    [offers_name] => 
    [offers_status] => 
    [offers_start_date] => 
    [offers_end_date] => 
    [pageview] => 
    [offers_slug] => 
    [offers_product_id] => 
    [offers_product_code] => 
    [offers_master_id] => 
    [offer_percentage] => 
    [offers_product_main_cat] => 
)
PA 04 0080040
PA 04 0080040

Daunorubicin Hydrochloride - Impurity D


  • Catalogue No.:PA 04 0080040

  • CAS :

    23214-92-8

  • Molecular Formula : C27H29NO11

  • Molecular Weight : 543.53

stdClass Object
(
    [pname] => 2-((2S,4S)-4-(((2R,4S,5S,6S)-4-Amino-5-hydroxy-6-methyltetrahydro-2H-pyran-2-yl)oxy)-2,5,12-trihydroxy-7-methoxy-6,11-dioxo-1,2,3,4,6,11-hexahydrotetracen-2-yl)-2-oxoethane-1-sulfonic Acid
    [catalogue_number] => PA 04 0081004
    [category_ids] => ,69,70,71,78,82,91,
    [chemical_name] => 
    [weight] => 607.58
    [form] => C27H29NO13S
    [cas] => 478867-44-6
    [pslug] => 478867-44-6-2-2s-4s-4-2r-4s-5s-6s-4-amino-5-hydroxy-6-methyltetrahydro-2h-pyran-2-yl-oxy-2-5-12-trihydroxy-7-methoxy-6-11-dioxo-1-2-3-4-6-11-hexahydrotetracen-2-yl-2-oxoethane-1-sulfonic-acid-pa040081004
    [latest_product] => 0
    [linkproducts] => 0
    [offers_id] => 
    [offers_name] => 
    [offers_status] => 
    [offers_start_date] => 
    [offers_end_date] => 
    [pageview] => 
    [offers_slug] => 
    [offers_product_id] => 
    [offers_product_code] => 
    [offers_master_id] => 
    [offer_percentage] => 
    [offers_product_main_cat] => 
)
PA 04 0081004
PA 04 0081004

2-((2S,4S)-4-(((2R,4S,5S,6S)-4-Amino-5-hydroxy-6-methyltetrahydro-2H-pyran-2-yl)oxy)-2,5,12-trihydroxy-7-methoxy-6,11-dioxo-1,2,3,4,6,11-hexahydrotetracen-2-yl)-2-oxoethane-1-sulfonic Acid


  • Catalogue No.:PA 04 0081004

  • CAS :

    478867-44-6

  • Molecular Formula : C27H29NO13S

  • Molecular Weight : 607.58

stdClass Object
(
    [pname] => 13-Dihydrocarminomycin
    [catalogue_number] => PA 04 0081005
    [category_ids] => ,69,70,71,78,82,91,
    [chemical_name] => 
    [weight] => 515.52
    [form] => C26H29NO10
    [cas] => 62182-86-9
    [pslug] => 62182-86-9-13-dihydrocarminomycin-pa040081005
    [latest_product] => 0
    [linkproducts] => 0
    [offers_id] => 
    [offers_name] => 
    [offers_status] => 
    [offers_start_date] => 
    [offers_end_date] => 
    [pageview] => 
    [offers_slug] => 
    [offers_product_id] => 
    [offers_product_code] => 
    [offers_master_id] => 
    [offer_percentage] => 
    [offers_product_main_cat] => 
)
PA 04 0081005
PA 04 0081005

13-Dihydrocarminomycin


  • Catalogue No.:PA 04 0081005

  • CAS :

    62182-86-9

  • Molecular Formula : C26H29NO10

  • Molecular Weight : 515.52

stdClass Object
(
    [pname] => 9,10-Anhydro-8-Desacetyl-8-Carboxy Daunorubicin Hydrochloride
    [catalogue_number] => PA 04 0081006
    [category_ids] => ,91,82,78,71,70,69,
    [chemical_name] => 
    [weight] => 547.94
    [form] => C26H26ClNO10
    [cas] => NA
    [pslug] => 9-10-anhydro-8-desacetyl-8-carboxy-daunorubicin-hydrochloride-pa040081006
    [latest_product] => 0
    [linkproducts] => 0
    [offers_id] => 
    [offers_name] => 
    [offers_status] => 
    [offers_start_date] => 
    [offers_end_date] => 
    [pageview] => 
    [offers_slug] => 
    [offers_product_id] => 
    [offers_product_code] => 
    [offers_master_id] => 
    [offer_percentage] => 
    [offers_product_main_cat] => 
)
PA 04 0081006
PA 04 0081006

9,10-Anhydro-8-Desacetyl-8-Carboxy Daunorubicin Hydrochloride


  • Catalogue No.:PA 04 0081006

  • CAS :

    NA

  • Molecular Formula : C26H26ClNO10

  • Molecular Weight : 547.94

stdClass Object
(
    [pname] => 8-Desacetyl-8-carboxy Daunorubicin Hydrochloride Hydrate
    [catalogue_number] => PA 04 0081007
    [category_ids] => ,70,71,78,79,82,
    [chemical_name] => 
    [weight] => 565.96 + x(18.02)
    [form] => C26H28ClNO11 . x(H2O)
    [cas] => NA
    [pslug] => 8-desacetyl-8-carboxy-daunorubicin-hydrochloride-hydrate-pa040081007
    [latest_product] => 0
    [linkproducts] => 1
    [offers_id] => 
    [offers_name] => 
    [offers_status] => 
    [offers_start_date] => 
    [offers_end_date] => 
    [pageview] => 
    [offers_slug] => 
    [offers_product_id] => 
    [offers_product_code] => 
    [offers_master_id] => 
    [offer_percentage] => 
    [offers_product_main_cat] => 
)
PA 04 0081007
PA 04 0081007

8-Desacetyl-8-carboxy Daunorubicin Hydrochloride Hydrate


  • Catalogue No.:PA 04 0081007

  • CAS :

    NA

  • Molecular Formula : C26H28ClNO11 . x(H2O)

  • Molecular Weight : 565.96 + x(18.02)

stdClass Object
(
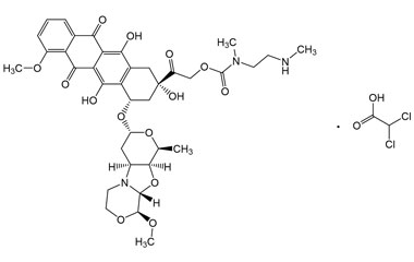
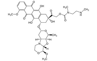
    [pname] => vc-PAB-DMEA-PNU159682
    [catalogue_number] => PA 04 0081009
    [category_ids] => ,82,78,71,70,170,
    [chemical_name] => 
    [weight] => 1161.23
    [form] => C56H72N8O19
    [cas] => 2227350-96-9
    [pslug] => 2227350-96-9-vc-pab-dmea-pnu159682-pa040081009
    [latest_product] => 0
    [linkproducts] => 0
    [offers_id] => 
    [offers_name] => 
    [offers_status] => 
    [offers_start_date] => 
    [offers_end_date] => 
    [pageview] => 
    [offers_slug] => 
    [offers_product_id] => 
    [offers_product_code] => 
    [offers_master_id] => 
    [offer_percentage] => 
    [offers_product_main_cat] => 
)
PA 04 0081009
PA 04 0081009

vc-PAB-DMEA-PNU159682


  • Catalogue No.:PA 04 0081009

  • CAS :

    2227350-96-9

  • Molecular Formula : C56H72N8O19

  • Molecular Weight : 1161.23

stdClass Object
(
    [pname] => Mal-PEG4-VC-PAB-DMEA-PNU-159682
    [catalogue_number] => PA 04 0081010
    [category_ids] => ,82,78,71,70,69,170,
    [chemical_name] => 
    [weight] => 1559.64
    [form] => C74H98N10O27
    [cas] => 2259318-52-8
    [pslug] => 2259318-52-8-mal-peg4-vc-pab-dmea-pnu-159682-pa040081010
    [latest_product] => 0
    [linkproducts] => 0
    [offers_id] => 
    [offers_name] => 
    [offers_status] => 
    [offers_start_date] => 
    [offers_end_date] => 
    [pageview] => 
    [offers_slug] => 
    [offers_product_id] => 
    [offers_product_code] => 
    [offers_master_id] => 
    [offer_percentage] => 
    [offers_product_main_cat] => 
)
PA 04 0081010
PA 04 0081010

Mal-PEG4-VC-PAB-DMEA-PNU-159682


  • Catalogue No.:PA 04 0081010

  • CAS :

    2259318-52-8

  • Molecular Formula : C74H98N10O27

  • Molecular Weight : 1559.64

stdClass Object
(
    [pname] => Mal-Phe-C4-VC-PAB-DMEA-PNU-159682
    [catalogue_number] => PA 04 0081011
    [category_ids] => ,82,78,71,70,69,170,
    [chemical_name] => 
    [weight] => 1402.48
    [form] => C70H83N9O22
    [cas] => 2259318-54-0
    [pslug] => 2259318-54-0-mal-phe-c4-vc-pab-dmea-pnu-159682-pa040081011
    [latest_product] => 0
    [linkproducts] => 0
    [offers_id] => 
    [offers_name] => 
    [offers_status] => 
    [offers_start_date] => 
    [offers_end_date] => 
    [pageview] => 
    [offers_slug] => 
    [offers_product_id] => 
    [offers_product_code] => 
    [offers_master_id] => 
    [offer_percentage] => 
    [offers_product_main_cat] => 
)
PA 04 0081011
PA 04 0081011

Mal-Phe-C4-VC-PAB-DMEA-PNU-159682


  • Catalogue No.:PA 04 0081011

  • CAS :

    2259318-54-0

  • Molecular Formula : C70H83N9O22

  • Molecular Weight : 1402.48

stdClass Object
(
    [pname] => DBCO-PEG4-VC-PAB-DMEA-PNU-159682
    [catalogue_number] => PA 04 0081012
    [category_ids] => ,82,78,71,70,69,170,
    [chemical_name] => 
    [weight] => 1695.84
    [form] => C86H106N10O26
    [cas] => 2259318-56-2
    [pslug] => 2259318-56-2-dbco-peg4-vc-pab-dmea-pnu-159682-pa040081012
    [latest_product] => 0
    [linkproducts] => 0
    [offers_id] => 
    [offers_name] => 
    [offers_status] => 
    [offers_start_date] => 
    [offers_end_date] => 
    [pageview] => 
    [offers_slug] => 
    [offers_product_id] => 
    [offers_product_code] => 
    [offers_master_id] => 
    [offer_percentage] => 
    [offers_product_main_cat] => 
)
PA 04 0081012
PA 04 0081012

DBCO-PEG4-VC-PAB-DMEA-PNU-159682


  • Catalogue No.:PA 04 0081012

  • CAS :

    2259318-56-2

  • Molecular Formula : C86H106N10O26

  • Molecular Weight : 1695.84

stdClass Object
(
    [pname] => Daunorubicin Hydrochloride - Impurity F (Monohydrochloride Salt)
    [catalogue_number] => PA 04 0080061
    [category_ids] => ,70,75,76,78,82,
    [chemical_name] => 
    [weight] => 578.01
    [form] => C28H32ClNO10
    [cas] => 68674-19-1
    [pslug] => 68674-19-1-daunorubicin-hydrochloride-impurity-f-monohydrochloride-salt-pa040080061
    [latest_product] => 0
    [linkproducts] => 1
    [offers_id] => 
    [offers_name] => 
    [offers_status] => 
    [offers_start_date] => 
    [offers_end_date] => 
    [pageview] => 
    [offers_slug] => 
    [offers_product_id] => 
    [offers_product_code] => 
    [offers_master_id] => 
    [offer_percentage] => 
    [offers_product_main_cat] => 
)
PA 04 0080061
PA 04 0080061

Daunorubicin Hydrochloride - Impurity F (Monohydrochloride Salt)


  • Catalogue No.:PA 04 0080061

  • CAS :

    68674-19-1

  • Molecular Formula : C28H32ClNO10

  • Molecular Weight : 578.01

Details
Similar products pharmaffiliates
stdClass Object
(
    [pname] => Daunorubicin - Impurity A
    [catalogue_number] => PA 04 08010
    [category_ids] => ,70,75,76,78,82,
    [chemical_name] => 
    [weight] => 398.36
    [form] => C21H18O8
    [cas] => 21794-55-8
    [pslug] => 21794-55-8-daunorubicin-impurity-a-pa0408010
    [latest_product] => 0
    [linkproducts] => 0
    [offers_id] => 
    [offers_name] => 
    [offers_status] => 
    [offers_start_date] => 
    [offers_end_date] => 
    [pageview] => 
    [offers_slug] => 
    [offers_product_id] => 
    [offers_product_code] => 
    [offers_master_id] => 
    [offer_percentage] => 
    [offers_product_main_cat] => 
)
PA 04 08010
PA 04 08010

Daunorubicin - Impurity A


  • Catalogue No.:PA 04 08010

  • CAS :

    21794-55-8

  • Molecular Formula : C21H18O8

  • Molecular Weight : 398.36

stdClass Object
(
    [pname] => Daunorubicin - Impurity B
    [catalogue_number] => PA 04 08020
    [category_ids] => ,70,78,81,82,98,
    [chemical_name] => 
    [weight] => 529.54
    [form] => C27H31NO10
    [cas] => NA
    [pslug] => daunorubicin-impurity-b-pa0408020
    [latest_product] => 0
    [linkproducts] => 1
    [offers_id] => 
    [offers_name] => 
    [offers_status] => 
    [offers_start_date] => 
    [offers_end_date] => 
    [pageview] => 
    [offers_slug] => 
    [offers_product_id] => 
    [offers_product_code] => 
    [offers_master_id] => 
    [offer_percentage] => 
    [offers_product_main_cat] => 
)
PA 04 08020
PA 04 08020

Daunorubicin - Impurity B


  • Catalogue No.:PA 04 08020

  • CAS :

    NA

  • Molecular Formula : C27H31NO10

  • Molecular Weight : 529.54

stdClass Object
(
    [pname] => Daunorubicin - Impurity C (HCl Salt)
    [catalogue_number] => PA 04 08030
    [category_ids] => ,70,78,81,82,98,
    [chemical_name] => 
    [weight] => 578.01
    [form] => C28H32ClNO10
    [cas] => NA
    [pslug] => daunorubicin-impurity-c-hcl-salt-pa0408030
    [latest_product] => 0
    [linkproducts] => 1
    [offers_id] => 
    [offers_name] => 
    [offers_status] => 
    [offers_start_date] => 
    [offers_end_date] => 
    [pageview] => 
    [offers_slug] => 
    [offers_product_id] => 
    [offers_product_code] => 
    [offers_master_id] => 
    [offer_percentage] => 
    [offers_product_main_cat] => 
)
PA 04 08030
PA 04 08030

Daunorubicin - Impurity C (HCl Salt)


  • Catalogue No.:PA 04 08030

  • CAS :

    NA

  • Molecular Formula : C28H32ClNO10

  • Molecular Weight : 578.01

stdClass Object
(
    [pname] => 14-O-Acetyldaunomycinone
    [catalogue_number] => PA 04 08510
    [category_ids] => ,70,75,76,78,82,
    [chemical_name] => 
    [weight] => 456.4
    [form] => C23H20O10
    [cas] => 29984-41-6
    [pslug] => 29984-41-6-14-o-acetyldaunomycinone-pa0408510
    [latest_product] => 0
    [linkproducts] => 0
    [offers_id] => 
    [offers_name] => 
    [offers_status] => 
    [offers_start_date] => 
    [offers_end_date] => 
    [pageview] => 
    [offers_slug] => 
    [offers_product_id] => 
    [offers_product_code] => 
    [offers_master_id] => 
    [offer_percentage] => 
    [offers_product_main_cat] => 
)
PA 04 08510
PA 04 08510

14-O-Acetyldaunomycinone


  • Catalogue No.:PA 04 08510

  • CAS :

    29984-41-6

  • Molecular Formula : C23H20O10

  • Molecular Weight : 456.4

stdClass Object
(
    [pname] => 4-Demethyl Daunomycinone
    [catalogue_number] => PA 04 08520
    [category_ids] => ,69,70,75,76,78,82,
    [chemical_name] => 
    [weight] => 384.34
    [form] => C20H16O8
    [cas] => 52744-22-6
    [pslug] => 52744-22-6-4-demethyl-daunomycinone-pa0408520
    [latest_product] => 0
    [linkproducts] => 0
    [offers_id] => 
    [offers_name] => 
    [offers_status] => 
    [offers_start_date] => 
    [offers_end_date] => 
    [pageview] => 
    [offers_slug] => 
    [offers_product_id] => 
    [offers_product_code] => 
    [offers_master_id] => 
    [offer_percentage] => 
    [offers_product_main_cat] => 
)
PA 04 08520
PA 04 08520

4-Demethyl Daunomycinone


  • Catalogue No.:PA 04 08520

  • CAS :

    52744-22-6

  • Molecular Formula : C20H16O8

  • Molecular Weight : 384.34

stdClass Object
(
    [pname] => 14-((4-Methoxyphenyl)diphenylmethoxy) Daunomycinone
    [catalogue_number] => PA 04 08530
    [category_ids] => ,70,75,76,78,82,
    [chemical_name] => 
    [weight] => 686.7
    [form] => C41H34O10
    [cas] => 59326-04-4
    [pslug] => 59326-04-4-14-4-methoxyphenyl-diphenylmethoxy-daunomycinone-pa0408530
    [latest_product] => 0
    [linkproducts] => 0
    [offers_id] => 
    [offers_name] => 
    [offers_status] => 
    [offers_start_date] => 
    [offers_end_date] => 
    [pageview] => 
    [offers_slug] => 
    [offers_product_id] => 
    [offers_product_code] => 
    [offers_master_id] => 
    [offer_percentage] => 
    [offers_product_main_cat] => 
)
PA 04 08530
PA 04 08530

14-((4-Methoxyphenyl)diphenylmethoxy) Daunomycinone


  • Catalogue No.:PA 04 08530

  • CAS :

    59326-04-4

  • Molecular Formula : C41H34O10

  • Molecular Weight : 686.7

stdClass Object
(
    [pname] => 6,10,11-Triethylcarbonate Daunomycinone
    [catalogue_number] => PA 04 08540
    [category_ids] => ,70,75,76,78,82,
    [chemical_name] => 
    [weight] => 614.55
    [form] => C30H30O14
    [cas] => 67665-61-6
    [pslug] => 67665-61-6-6-10-11-triethylcarbonate-daunomycinone-pa0408540
    [latest_product] => 0
    [linkproducts] => 0
    [offers_id] => 
    [offers_name] => 
    [offers_status] => 
    [offers_start_date] => 
    [offers_end_date] => 
    [pageview] => 
    [offers_slug] => 
    [offers_product_id] => 
    [offers_product_code] => 
    [offers_master_id] => 
    [offer_percentage] => 
    [offers_product_main_cat] => 
)
PA 04 08540
PA 04 08540

6,10,11-Triethylcarbonate Daunomycinone


  • Catalogue No.:PA 04 08540

  • CAS :

    67665-61-6

  • Molecular Formula : C30H30O14

  • Molecular Weight : 614.55

stdClass Object
(
    [pname] => 6,10,11-Triethylcarbonate-1-demethyl Daunomycinone
    [catalogue_number] => PA 04 08550
    [category_ids] => ,70,75,76,78,82,
    [chemical_name] => 
    [weight] => 600.52
    [form] => C29H28O14
    [cas] => 67665-62-7
    [pslug] => 67665-62-7-6-10-11-triethylcarbonate-1-demethyl-daunomycinone-pa0408550
    [latest_product] => 0
    [linkproducts] => 0
    [offers_id] => 
    [offers_name] => 
    [offers_status] => 
    [offers_start_date] => 
    [offers_end_date] => 
    [pageview] => 
    [offers_slug] => 
    [offers_product_id] => 
    [offers_product_code] => 
    [offers_master_id] => 
    [offer_percentage] => 
    [offers_product_main_cat] => 
)
PA 04 08550
PA 04 08550

6,10,11-Triethylcarbonate-1-demethyl Daunomycinone


  • Catalogue No.:PA 04 08550

  • CAS :

    67665-62-7

  • Molecular Formula : C29H28O14

  • Molecular Weight : 600.52

stdClass Object
(
    [pname] => 4'-epi-Daunorubicin Hydrochloride
    [catalogue_number] => PA 04 08560
    [category_ids] => ,69,70,71,78,82,91,
    [chemical_name] => 
    [weight] => 563.98
    [form] => C27H30ClNO10
    [cas] => 56390-08-0
    [pslug] => 56390-08-0-4-epi-daunorubicin-hydrochloride-pa0408560
    [latest_product] => 0
    [linkproducts] => 0
    [offers_id] => 
    [offers_name] => 
    [offers_status] => 
    [offers_start_date] => 
    [offers_end_date] => 
    [pageview] => 
    [offers_slug] => 
    [offers_product_id] => 
    [offers_product_code] => 
    [offers_master_id] => 
    [offer_percentage] => 
    [offers_product_main_cat] => 
)
PA 04 08560
PA 04 08560

4'-epi-Daunorubicin Hydrochloride


  • Catalogue No.:PA 04 08560

  • CAS :

    56390-08-0

  • Molecular Formula : C27H30ClNO10

  • Molecular Weight : 563.98

stdClass Object
(
    [pname] => Ala-Leu-Ala-Leu Daunorubicin Hydrochloride
    [catalogue_number] => PA 04 08570
    [category_ids] => ,70,78,82,114,
    [chemical_name] => 
    [weight] => 932.45
    [form] => C45H62ClN5O14
    [cas] => 76582-70-2
    [pslug] => 76582-70-2-ala-leu-ala-leu-daunorubicin-hydrochloride-pa0408570
    [latest_product] => 0
    [linkproducts] => 0
    [offers_id] => 
    [offers_name] => 
    [offers_status] => 
    [offers_start_date] => 
    [offers_end_date] => 
    [pageview] => 
    [offers_slug] => 
    [offers_product_id] => 
    [offers_product_code] => 
    [offers_master_id] => 
    [offer_percentage] => 
    [offers_product_main_cat] => 
)
PA 04 08570
PA 04 08570

Ala-Leu-Ala-Leu Daunorubicin Hydrochloride


  • Catalogue No.:PA 04 08570

  • CAS :

    76582-70-2

  • Molecular Formula : C45H62ClN5O14

  • Molecular Weight : 932.45

stdClass Object
(
    [pname] => 8-Desacetyl-8-carboxy Daunorubicin Hydrochloride
    [catalogue_number] => PA 04 08580
    [category_ids] => ,70,71,78,79,82,
    [chemical_name] => 
    [weight] => 565.95
    [form] => C26H28ClNO11
    [cas] => 58199-96-5
    [pslug] => 58199-96-5-8-desacetyl-8-carboxy-daunorubicin-hydrochloride-pa0408580
    [latest_product] => 0
    [linkproducts] => 1
    [offers_id] => 
    [offers_name] => 
    [offers_status] => 
    [offers_start_date] => 
    [offers_end_date] => 
    [pageview] => 
    [offers_slug] => 
    [offers_product_id] => 
    [offers_product_code] => 
    [offers_master_id] => 
    [offer_percentage] => 
    [offers_product_main_cat] => 
)
PA 04 08580
PA 04 08580

8-Desacetyl-8-carboxy Daunorubicin Hydrochloride


  • Catalogue No.:PA 04 08580

  • CAS :

    58199-96-5

  • Molecular Formula : C26H28ClNO11

  • Molecular Weight : 565.95

stdClass Object
(
    [pname] => Valrubicin
    [catalogue_number] => PA 04 08610
    [category_ids] => ,70,78,82,
    [chemical_name] => 
    [weight] => 723.64
    [form] => C34H36F3NO13
    [cas] => 56124-62-0
    [pslug] => 56124-62-0-valrubicin-pa0408610
    [latest_product] => 0
    [linkproducts] => 0
    [offers_id] => 
    [offers_name] => 
    [offers_status] => 
    [offers_start_date] => 
    [offers_end_date] => 
    [pageview] => 
    [offers_slug] => 
    [offers_product_id] => 
    [offers_product_code] => 
    [offers_master_id] => 
    [offer_percentage] => 
    [offers_product_main_cat] => 
)
PA 04 08610
PA 04 08610

Valrubicin


  • Catalogue No.:PA 04 08610

  • CAS :

    56124-62-0

  • Molecular Formula : C34H36F3NO13

  • Molecular Weight : 723.64

stdClass Object
(
    [pname] => Daunorubicin Hydrochloride - Impurity C (Freebase)
    [catalogue_number] => PA 04 0080030
    [category_ids] => ,70,75,76,78,82,
    [chemical_name] => 
    [weight] => 541.55
    [form] => C28H31NO10
    [cas] => 79438-97-4
    [pslug] => 79438-97-4-feudomycin-b-pa040080030
    [latest_product] => 0
    [linkproducts] => 1
    [offers_id] => 
    [offers_name] => 
    [offers_status] => 
    [offers_start_date] => 
    [offers_end_date] => 
    [pageview] => 
    [offers_slug] => 
    [offers_product_id] => 
    [offers_product_code] => 
    [offers_master_id] => 
    [offer_percentage] => 
    [offers_product_main_cat] => 
)
PA 04 0080030
PA 04 0080030

Daunorubicin Hydrochloride - Impurity C (Freebase)


  • Catalogue No.:PA 04 0080030

  • CAS :

    79438-97-4

  • Molecular Formula : C28H31NO10

  • Molecular Weight : 541.55

stdClass Object
(
    [pname] => Dianhydrodaunomycinone
    [catalogue_number] => PA 04 0081001
    [category_ids] => ,70,75,76,78,82,
    [chemical_name] => 
    [weight] => 362.34
    [form] => C21H14O6
    [cas] => 32434-04-1
    [pslug] => 32434-04-1-dianhydrodaunomycinone-pa040081001
    [latest_product] => 0
    [linkproducts] => 0
    [offers_id] => 
    [offers_name] => 
    [offers_status] => 
    [offers_start_date] => 
    [offers_end_date] => 
    [pageview] => 
    [offers_slug] => 
    [offers_product_id] => 
    [offers_product_code] => 
    [offers_master_id] => 
    [offer_percentage] => 
    [offers_product_main_cat] => 
)
PA 04 0081001
PA 04 0081001

Dianhydrodaunomycinone


  • Catalogue No.:PA 04 0081001

  • CAS :

    32434-04-1

  • Molecular Formula : C21H14O6

  • Molecular Weight : 362.34

stdClass Object
(
    [pname] => Daunorubicin Hydrochloride - Impurity B (Hydrochloride Salt)
    [catalogue_number] => PA 04 0080021
    [category_ids] => ,70,75,76,78,82,
    [chemical_name] => 
    [weight] => 566
    [form] => C27H32ClNO10
    [cas] => NA
    [pslug] => daunorubicin-hydrochloride-impurity-b-hydrochloride-salt-pa040080021
    [latest_product] => 0
    [linkproducts] => 1
    [offers_id] => 
    [offers_name] => 
    [offers_status] => 
    [offers_start_date] => 
    [offers_end_date] => 
    [pageview] => 
    [offers_slug] => 
    [offers_product_id] => 
    [offers_product_code] => 
    [offers_master_id] => 
    [offer_percentage] => 
    [offers_product_main_cat] => 
)
PA 04 0080021
PA 04 0080021

Daunorubicin Hydrochloride - Impurity B (Hydrochloride Salt)


  • Catalogue No.:PA 04 0080021

  • CAS :

    NA

  • Molecular Formula : C27H32ClNO10

  • Molecular Weight : 566

stdClass Object
(
    [pname] => Dihydrodaunorubicin Hydrochloride
    [catalogue_number] => PA 04 0081002
    [category_ids] => ,70,71,75,76,78,80,82,93,
    [chemical_name] => 
    [weight] => 566
    [form] => C27H32ClNO10
    [cas] => NA
    [pslug] => dihydrodaunorubicin-hydrochloride-pa040081002
    [latest_product] => 0
    [linkproducts] => 0
    [offers_id] => 
    [offers_name] => 
    [offers_status] => 
    [offers_start_date] => 
    [offers_end_date] => 
    [pageview] => 
    [offers_slug] => 
    [offers_product_id] => 
    [offers_product_code] => 
    [offers_master_id] => 
    [offer_percentage] => 
    [offers_product_main_cat] => 
)
PA 04 0081002
PA 04 0081002

Dihydrodaunorubicin Hydrochloride


  • Catalogue No.:PA 04 0081002

  • CAS :

    NA

  • Molecular Formula : C27H32ClNO10

  • Molecular Weight : 566

stdClass Object
(
    [pname] => Daunorubicin Hydrochloride - Impurity E(Free Base)
    [catalogue_number] => PA 04 0080050
    [category_ids] => ,70,75,76,78,82,
    [chemical_name] => 
    [weight] => 400.38
    [form] => C21H20O8
    [cas] => NA
    [pslug] => daunorubicin-hydrochloride-impurity-e-free-base-pa040080050
    [latest_product] => 0
    [linkproducts] => 0
    [offers_id] => 
    [offers_name] => 
    [offers_status] => 
    [offers_start_date] => 
    [offers_end_date] => 
    [pageview] => 
    [offers_slug] => 
    [offers_product_id] => 
    [offers_product_code] => 
    [offers_master_id] => 
    [offer_percentage] => 
    [offers_product_main_cat] => 
)
PA 04 0080050
PA 04 0080050

Daunorubicin Hydrochloride - Impurity E(Free Base)


  • Catalogue No.:PA 04 0080050

  • CAS :

    NA

  • Molecular Formula : C21H20O8

  • Molecular Weight : 400.38

stdClass Object
(
    [pname] => Daunorubicin Hydrochloride - Impurity F (Free Base)
    [catalogue_number] => PA 04 0080060
    [category_ids] => ,70,75,76,78,82,
    [chemical_name] => 
    [weight] => 541.55
    [form] => C28H31NO10
    [cas] => 771423-67-7
    [pslug] => 771423-67-7-daunorubicin-hydrochloride-impurity-f-free-base-pa040080060
    [latest_product] => 0
    [linkproducts] => 1
    [offers_id] => 
    [offers_name] => 
    [offers_status] => 
    [offers_start_date] => 
    [offers_end_date] => 
    [pageview] => 
    [offers_slug] => 
    [offers_product_id] => 
    [offers_product_code] => 
    [offers_master_id] => 
    [offer_percentage] => 
    [offers_product_main_cat] => 
)
PA 04 0080060
PA 04 0080060

Daunorubicin Hydrochloride - Impurity F (Free Base)


  • Catalogue No.:PA 04 0080060

  • CAS :

    771423-67-7

  • Molecular Formula : C28H31NO10

  • Molecular Weight : 541.55

stdClass Object
(
    [pname] => N-((2S,3S,4S,6R)-6-(((1S,3S)-3-acetyl-3,5,12-trihydroxy-10-methoxy-6,11-dioxo-1,2,3,4,6,11-hexahydrotetracen-1-yl)oxy)-3-hydroxy-2-methyltetrahydro-2H-pyran-4-yl)-2,2,2-trifluoroacetamide
    [catalogue_number] => PA 04 0081003
    [category_ids] => ,70,75,76,78,82,
    [chemical_name] => 
    [weight] => 623.53
    [form] => C29H28F3NO11
    [cas] => 26388-52-3
    [pslug] => 26388-52-3-n-2s-3s-4s-6r-6-1s-3s-3-acetyl-3-5-12-trihydroxy-10-methoxy-6-11-dioxo-1-2-3-4-6-11-hexahydrotetracen-1-yl-oxy-3-hydroxy-2-methyltetrahydro-2h-pyran-4-yl-2-2-2-trifluoroacetamide-pa040081003
    [latest_product] => 0
    [linkproducts] => 0
    [offers_id] => 
    [offers_name] => 
    [offers_status] => 
    [offers_start_date] => 
    [offers_end_date] => 
    [pageview] => 
    [offers_slug] => 
    [offers_product_id] => 
    [offers_product_code] => 
    [offers_master_id] => 
    [offer_percentage] => 
    [offers_product_main_cat] => 
)
PA 04 0081003
PA 04 0081003

N-((2S,3S,4S,6R)-6-(((1S,3S)-3-acetyl-3,5,12-trihydroxy-10-methoxy-6,11-dioxo-1,2,3,4,6,11-hexahydrotetracen-1-yl)oxy)-3-hydroxy-2-methyltetrahydro-2H-pyran-4-yl)-2,2,2-trifluoroacetamide


  • Catalogue No.:PA 04 0081003

  • CAS :

    26388-52-3

  • Molecular Formula : C29H28F3NO11

  • Molecular Weight : 623.53

stdClass Object
(
    [pname] => Daunorubicin Hydrochloride - Impurity D
    [catalogue_number] => PA 04 0080040
    [category_ids] => ,82,78,76,75,170,
    [chemical_name] => 
    [weight] => 543.53
    [form] => C27H29NO11
    [cas] => 23214-92-8
    [pslug] => 23214-92-8-daunorubicin-hydrochloride-impurity-d-pa040080040
    [latest_product] => 0
    [linkproducts] => 0
    [offers_id] => 
    [offers_name] => 
    [offers_status] => 
    [offers_start_date] => 
    [offers_end_date] => 
    [pageview] => 
    [offers_slug] => 
    [offers_product_id] => 
    [offers_product_code] => 
    [offers_master_id] => 
    [offer_percentage] => 
    [offers_product_main_cat] => 
)
PA 04 0080040
PA 04 0080040

Daunorubicin Hydrochloride - Impurity D


  • Catalogue No.:PA 04 0080040

  • CAS :

    23214-92-8

  • Molecular Formula : C27H29NO11

  • Molecular Weight : 543.53

stdClass Object
(
    [pname] => 2-((2S,4S)-4-(((2R,4S,5S,6S)-4-Amino-5-hydroxy-6-methyltetrahydro-2H-pyran-2-yl)oxy)-2,5,12-trihydroxy-7-methoxy-6,11-dioxo-1,2,3,4,6,11-hexahydrotetracen-2-yl)-2-oxoethane-1-sulfonic Acid
    [catalogue_number] => PA 04 0081004
    [category_ids] => ,69,70,71,78,82,91,
    [chemical_name] => 
    [weight] => 607.58
    [form] => C27H29NO13S
    [cas] => 478867-44-6
    [pslug] => 478867-44-6-2-2s-4s-4-2r-4s-5s-6s-4-amino-5-hydroxy-6-methyltetrahydro-2h-pyran-2-yl-oxy-2-5-12-trihydroxy-7-methoxy-6-11-dioxo-1-2-3-4-6-11-hexahydrotetracen-2-yl-2-oxoethane-1-sulfonic-acid-pa040081004
    [latest_product] => 0
    [linkproducts] => 0
    [offers_id] => 
    [offers_name] => 
    [offers_status] => 
    [offers_start_date] => 
    [offers_end_date] => 
    [pageview] => 
    [offers_slug] => 
    [offers_product_id] => 
    [offers_product_code] => 
    [offers_master_id] => 
    [offer_percentage] => 
    [offers_product_main_cat] => 
)
PA 04 0081004
PA 04 0081004

2-((2S,4S)-4-(((2R,4S,5S,6S)-4-Amino-5-hydroxy-6-methyltetrahydro-2H-pyran-2-yl)oxy)-2,5,12-trihydroxy-7-methoxy-6,11-dioxo-1,2,3,4,6,11-hexahydrotetracen-2-yl)-2-oxoethane-1-sulfonic Acid


  • Catalogue No.:PA 04 0081004

  • CAS :

    478867-44-6

  • Molecular Formula : C27H29NO13S

  • Molecular Weight : 607.58

stdClass Object
(
    [pname] => 13-Dihydrocarminomycin
    [catalogue_number] => PA 04 0081005
    [category_ids] => ,69,70,71,78,82,91,
    [chemical_name] => 
    [weight] => 515.52
    [form] => C26H29NO10
    [cas] => 62182-86-9
    [pslug] => 62182-86-9-13-dihydrocarminomycin-pa040081005
    [latest_product] => 0
    [linkproducts] => 0
    [offers_id] => 
    [offers_name] => 
    [offers_status] => 
    [offers_start_date] => 
    [offers_end_date] => 
    [pageview] => 
    [offers_slug] => 
    [offers_product_id] => 
    [offers_product_code] => 
    [offers_master_id] => 
    [offer_percentage] => 
    [offers_product_main_cat] => 
)
PA 04 0081005
PA 04 0081005

13-Dihydrocarminomycin


  • Catalogue No.:PA 04 0081005

  • CAS :

    62182-86-9

  • Molecular Formula : C26H29NO10

  • Molecular Weight : 515.52

stdClass Object
(
    [pname] => 9,10-Anhydro-8-Desacetyl-8-Carboxy Daunorubicin Hydrochloride
    [catalogue_number] => PA 04 0081006
    [category_ids] => ,91,82,78,71,70,69,
    [chemical_name] => 
    [weight] => 547.94
    [form] => C26H26ClNO10
    [cas] => NA
    [pslug] => 9-10-anhydro-8-desacetyl-8-carboxy-daunorubicin-hydrochloride-pa040081006
    [latest_product] => 0
    [linkproducts] => 0
    [offers_id] => 
    [offers_name] => 
    [offers_status] => 
    [offers_start_date] => 
    [offers_end_date] => 
    [pageview] => 
    [offers_slug] => 
    [offers_product_id] => 
    [offers_product_code] => 
    [offers_master_id] => 
    [offer_percentage] => 
    [offers_product_main_cat] => 
)
PA 04 0081006
PA 04 0081006

9,10-Anhydro-8-Desacetyl-8-Carboxy Daunorubicin Hydrochloride


  • Catalogue No.:PA 04 0081006

  • CAS :

    NA

  • Molecular Formula : C26H26ClNO10

  • Molecular Weight : 547.94

stdClass Object
(
    [pname] => 8-Desacetyl-8-carboxy Daunorubicin Hydrochloride Hydrate
    [catalogue_number] => PA 04 0081007
    [category_ids] => ,70,71,78,79,82,
    [chemical_name] => 
    [weight] => 565.96 + x(18.02)
    [form] => C26H28ClNO11 . x(H2O)
    [cas] => NA
    [pslug] => 8-desacetyl-8-carboxy-daunorubicin-hydrochloride-hydrate-pa040081007
    [latest_product] => 0
    [linkproducts] => 1
    [offers_id] => 
    [offers_name] => 
    [offers_status] => 
    [offers_start_date] => 
    [offers_end_date] => 
    [pageview] => 
    [offers_slug] => 
    [offers_product_id] => 
    [offers_product_code] => 
    [offers_master_id] => 
    [offer_percentage] => 
    [offers_product_main_cat] => 
)
PA 04 0081007
PA 04 0081007

8-Desacetyl-8-carboxy Daunorubicin Hydrochloride Hydrate


  • Catalogue No.:PA 04 0081007

  • CAS :

    NA

  • Molecular Formula : C26H28ClNO11 . x(H2O)

  • Molecular Weight : 565.96 + x(18.02)

stdClass Object
(
    [pname] => vc-PAB-DMEA-PNU159682
    [catalogue_number] => PA 04 0081009
    [category_ids] => ,82,78,71,70,170,
    [chemical_name] => 
    [weight] => 1161.23
    [form] => C56H72N8O19
    [cas] => 2227350-96-9
    [pslug] => 2227350-96-9-vc-pab-dmea-pnu159682-pa040081009
    [latest_product] => 0
    [linkproducts] => 0
    [offers_id] => 
    [offers_name] => 
    [offers_status] => 
    [offers_start_date] => 
    [offers_end_date] => 
    [pageview] => 
    [offers_slug] => 
    [offers_product_id] => 
    [offers_product_code] => 
    [offers_master_id] => 
    [offer_percentage] => 
    [offers_product_main_cat] => 
)
PA 04 0081009
PA 04 0081009

vc-PAB-DMEA-PNU159682


  • Catalogue No.:PA 04 0081009

  • CAS :

    2227350-96-9

  • Molecular Formula : C56H72N8O19

  • Molecular Weight : 1161.23

stdClass Object
(
    [pname] => Mal-PEG4-VC-PAB-DMEA-PNU-159682
    [catalogue_number] => PA 04 0081010
    [category_ids] => ,82,78,71,70,69,170,
    [chemical_name] => 
    [weight] => 1559.64
    [form] => C74H98N10O27
    [cas] => 2259318-52-8
    [pslug] => 2259318-52-8-mal-peg4-vc-pab-dmea-pnu-159682-pa040081010
    [latest_product] => 0
    [linkproducts] => 0
    [offers_id] => 
    [offers_name] => 
    [offers_status] => 
    [offers_start_date] => 
    [offers_end_date] => 
    [pageview] => 
    [offers_slug] => 
    [offers_product_id] => 
    [offers_product_code] => 
    [offers_master_id] => 
    [offer_percentage] => 
    [offers_product_main_cat] => 
)
PA 04 0081010
PA 04 0081010

Mal-PEG4-VC-PAB-DMEA-PNU-159682


  • Catalogue No.:PA 04 0081010

  • CAS :

    2259318-52-8

  • Molecular Formula : C74H98N10O27

  • Molecular Weight : 1559.64

stdClass Object
(
    [pname] => Mal-Phe-C4-VC-PAB-DMEA-PNU-159682
    [catalogue_number] => PA 04 0081011
    [category_ids] => ,82,78,71,70,69,170,
    [chemical_name] => 
    [weight] => 1402.48
    [form] => C70H83N9O22
    [cas] => 2259318-54-0
    [pslug] => 2259318-54-0-mal-phe-c4-vc-pab-dmea-pnu-159682-pa040081011
    [latest_product] => 0
    [linkproducts] => 0
    [offers_id] => 
    [offers_name] => 
    [offers_status] => 
    [offers_start_date] => 
    [offers_end_date] => 
    [pageview] => 
    [offers_slug] => 
    [offers_product_id] => 
    [offers_product_code] => 
    [offers_master_id] => 
    [offer_percentage] => 
    [offers_product_main_cat] => 
)
PA 04 0081011
PA 04 0081011

Mal-Phe-C4-VC-PAB-DMEA-PNU-159682


  • Catalogue No.:PA 04 0081011

  • CAS :

    2259318-54-0

  • Molecular Formula : C70H83N9O22

  • Molecular Weight : 1402.48

stdClass Object
(
    [pname] => DBCO-PEG4-VC-PAB-DMEA-PNU-159682
    [catalogue_number] => PA 04 0081012
    [category_ids] => ,82,78,71,70,69,170,
    [chemical_name] => 
    [weight] => 1695.84
    [form] => C86H106N10O26
    [cas] => 2259318-56-2
    [pslug] => 2259318-56-2-dbco-peg4-vc-pab-dmea-pnu-159682-pa040081012
    [latest_product] => 0
    [linkproducts] => 0
    [offers_id] => 
    [offers_name] => 
    [offers_status] => 
    [offers_start_date] => 
    [offers_end_date] => 
    [pageview] => 
    [offers_slug] => 
    [offers_product_id] => 
    [offers_product_code] => 
    [offers_master_id] => 
    [offer_percentage] => 
    [offers_product_main_cat] => 
)
PA 04 0081012
PA 04 0081012

DBCO-PEG4-VC-PAB-DMEA-PNU-159682


  • Catalogue No.:PA 04 0081012

  • CAS :

    2259318-56-2

  • Molecular Formula : C86H106N10O26

  • Molecular Weight : 1695.84

stdClass Object
(
    [pname] => Daunorubicin Hydrochloride - Impurity F (Monohydrochloride Salt)
    [catalogue_number] => PA 04 0080061
    [category_ids] => ,70,75,76,78,82,
    [chemical_name] => 
    [weight] => 578.01
    [form] => C28H32ClNO10
    [cas] => 68674-19-1
    [pslug] => 68674-19-1-daunorubicin-hydrochloride-impurity-f-monohydrochloride-salt-pa040080061
    [latest_product] => 0
    [linkproducts] => 1
    [offers_id] => 
    [offers_name] => 
    [offers_status] => 
    [offers_start_date] => 
    [offers_end_date] => 
    [pageview] => 
    [offers_slug] => 
    [offers_product_id] => 
    [offers_product_code] => 
    [offers_master_id] => 
    [offer_percentage] => 
    [offers_product_main_cat] => 
)
PA 04 0080061
PA 04 0080061

Daunorubicin Hydrochloride - Impurity F (Monohydrochloride Salt)


  • Catalogue No.:PA 04 0080061

  • CAS :

    68674-19-1

  • Molecular Formula : C28H32ClNO10

  • Molecular Weight : 578.01

pharmaffiliates
-->