landiolol

Fine chemicals - Landiolol is a promising drug to manage postoperative atrial fibrillation in non-cardiac surgery with a profile that allow for control of heart rate with minimal impact on blood pressure. It is sold as landiolol hydrochloride.Reference standards of Landiolol API,and its pharmacopeial, non pharmacopeial impurities, and stable isotopes are listed below.

stdClass Object
(
    [pname] => Landiolol-D4
    [catalogue_number] => PA STI 055960
    [category_ids] => ,79,80,71,81,98,78,70,82,
    [chemical_name] => 
    [weight] => 513.62
    [form] => C25H35D4N3O8
    [cas] => NA
    [pslug] => landiolol-d4-pasti055960
    [latest_product] => 0
    [linkproducts] => 0
    [offers_id] => 
    [offers_name] => 
    [offers_status] => 
    [offers_start_date] => 
    [offers_end_date] => 
    [pageview] => 
    [offers_slug] => 
    [offers_product_id] => 
    [offers_product_code] => 
    [offers_master_id] => 
    [offer_percentage] => 
    [offers_product_main_cat] => 
)
PA STI 055960
PA STI 055960

Landiolol-D4


  • Catalogue No.:PA STI 055960

  • CAS :

    NA

  • Molecular Formula : C25H35D4N3O8

  • Molecular Weight : 513.62

stdClass Object
(
    [pname] => (2,2-Dimethyl-1,3-dioxolan-4-yl)methyl 3-(4-(2-hydroxy-3-morpholinopropoxy)phenyl)propanoate
    [catalogue_number] => PA 12 1441000
    [category_ids] => ,75,76,70,78,82,
    [chemical_name] => 
    [weight] => 423.51
    [form] => C22H33NO7
    [cas] => NA
    [pslug] => 2-2-dimethyl-1-3-dioxolan-4-yl-methyl-3-4-2-hydroxy-3-morpholinopropoxy-phenyl-propanoate-pa121441000
    [latest_product] => 0
    [linkproducts] => 0
    [offers_id] => 
    [offers_name] => 
    [offers_status] => 
    [offers_start_date] => 
    [offers_end_date] => 
    [pageview] => 
    [offers_slug] => 
    [offers_product_id] => 
    [offers_product_code] => 
    [offers_master_id] => 
    [offer_percentage] => 
    [offers_product_main_cat] => 
)
PA 12 1441000
PA 12 1441000

(2,2-Dimethyl-1,3-dioxolan-4-yl)methyl 3-(4-(2-hydroxy-3-morpholinopropoxy)phenyl)propanoate


  • Catalogue No.:PA 12 1441000

  • CAS :

    NA

  • Molecular Formula : C22H33NO7

  • Molecular Weight : 423.51

stdClass Object
(
    [pname] => (2,2-Dimethyl-1,3-dioxolan-4-yl)methyl 3-(4-(3-((2-aminoethyl)amino)-2-hydroxypropoxy)phenyl)propanoate Hydrochloride
    [catalogue_number] => PA 12 1441001
    [category_ids] => ,75,76,70,78,82,
    [chemical_name] => 
    [weight] => 432.94
    [form] => C20H33ClN2O6
    [cas] => NA
    [pslug] => 2-2-dimethyl-1-3-dioxolan-4-yl-methyl-3-4-3-2-aminoethyl-amino-2-hydroxypropoxy-phenyl-propanoate-hydrochloride-pa121441001
    [latest_product] => 0
    [linkproducts] => 0
    [offers_id] => 
    [offers_name] => 
    [offers_status] => 
    [offers_start_date] => 
    [offers_end_date] => 
    [pageview] => 
    [offers_slug] => 
    [offers_product_id] => 
    [offers_product_code] => 
    [offers_master_id] => 
    [offer_percentage] => 
    [offers_product_main_cat] => 
)
PA 12 1441001
PA 12 1441001

(2,2-Dimethyl-1,3-dioxolan-4-yl)methyl 3-(4-(3-((2-aminoethyl)amino)-2-hydroxypropoxy)phenyl)propanoate Hydrochloride


  • Catalogue No.:PA 12 1441001

  • CAS :

    NA

  • Molecular Formula : C20H33ClN2O6

  • Molecular Weight : 432.94

stdClass Object
(
    [pname] => N-(2-((3-Nitrophenyl)sulfonamido)ethyl)morpholine-4-carboxamide
    [catalogue_number] => PA 12 1441002
    [category_ids] => ,75,76,70,78,82,
    [chemical_name] => 
    [weight] => 358.37
    [form] => C13H18N4O6S
    [cas] => NA
    [pslug] => n-2-3-nitrophenyl-sulfonamido-ethyl-morpholine-4-carboxamide-pa121441002
    [latest_product] => 0
    [linkproducts] => 0
    [offers_id] => 
    [offers_name] => 
    [offers_status] => 
    [offers_start_date] => 
    [offers_end_date] => 
    [pageview] => 
    [offers_slug] => 
    [offers_product_id] => 
    [offers_product_code] => 
    [offers_master_id] => 
    [offer_percentage] => 
    [offers_product_main_cat] => 
)
PA 12 1441002
PA 12 1441002

N-(2-((3-Nitrophenyl)sulfonamido)ethyl)morpholine-4-carboxamide


  • Catalogue No.:PA 12 1441002

  • CAS :

    NA

  • Molecular Formula : C13H18N4O6S

  • Molecular Weight : 358.37

stdClass Object
(
    [pname] => (2,2-Dimethyl-1,3-dioxolan-4-yl)methyl 3-(4-(3-hydroxy-2-((2-(morpholine-4-carboxamido)ethyl)amino)propoxy)phenyl)propanoate
    [catalogue_number] => PA 12 1441003
    [category_ids] => ,75,76,70,78,82,
    [chemical_name] => 
    [weight] => 509.6
    [form] => C25H39N3O8
    [cas] => NA
    [pslug] => 2-2-dimethyl-1-3-dioxolan-4-yl-methyl-3-4-3-hydroxy-2-2-morpholine-4-carboxamido-ethyl-amino-propoxy-phenyl-propanoate-pa121441003
    [latest_product] => 0
    [linkproducts] => 0
    [offers_id] => 
    [offers_name] => 
    [offers_status] => 
    [offers_start_date] => 
    [offers_end_date] => 
    [pageview] => 
    [offers_slug] => 
    [offers_product_id] => 
    [offers_product_code] => 
    [offers_master_id] => 
    [offer_percentage] => 
    [offers_product_main_cat] => 
)
PA 12 1441003
PA 12 1441003

(2,2-Dimethyl-1,3-dioxolan-4-yl)methyl 3-(4-(3-hydroxy-2-((2-(morpholine-4-carboxamido)ethyl)amino)propoxy)phenyl)propanoate


  • Catalogue No.:PA 12 1441003

  • CAS :

    NA

  • Molecular Formula : C25H39N3O8

  • Molecular Weight : 509.6

stdClass Object
(
    [pname] => (S)-3-(4-(2-Hydroxy-3-((2-(morpholine-4-carboxamido)ethyl)amino)propoxy)phenyl)propanoic Acid
    [catalogue_number] => PA 12 1441004
    [category_ids] => ,75,76,70,78,82,69,
    [chemical_name] => 
    [weight] => 395.46
    [form] => C19H29N3O6
    [cas] => 190601-22-0
    [pslug] => 190601-22-0-s-3-4-2-hydroxy-3-2-morpholine-4-carboxamido-ethyl-amino-propoxy-phenyl-propanoic-acid-pa121441004
    [latest_product] => 0
    [linkproducts] => 0
    [offers_id] => 
    [offers_name] => 
    [offers_status] => 
    [offers_start_date] => 
    [offers_end_date] => 
    [pageview] => 
    [offers_slug] => 
    [offers_product_id] => 
    [offers_product_code] => 
    [offers_master_id] => 
    [offer_percentage] => 
    [offers_product_main_cat] => 
)
PA 12 1441004
PA 12 1441004

(S)-3-(4-(2-Hydroxy-3-((2-(morpholine-4-carboxamido)ethyl)amino)propoxy)phenyl)propanoic Acid


  • Catalogue No.:PA 12 1441004

  • CAS :

    190601-22-0

  • Molecular Formula : C19H29N3O6

  • Molecular Weight : 395.46

stdClass Object
(
    [pname] => Landiolol
    [catalogue_number] => PA 12 1440000
    [category_ids] => ,123,81,78,75,76,82,
    [chemical_name] => 
    [weight] => 509.6
    [form] => C25H39N3O8
    [cas] => 133242-30-5
    [pslug] => 133242-30-5-landiolol-pa121440000
    [latest_product] => 0
    [linkproducts] => 1
    [offers_id] => 
    [offers_name] => 
    [offers_status] => 
    [offers_start_date] => 
    [offers_end_date] => 
    [pageview] => 
    [offers_slug] => 
    [offers_product_id] => 
    [offers_product_code] => 
    [offers_master_id] => 
    [offer_percentage] => 
    [offers_product_main_cat] => 
)
PA 12 1440000
PA 12 1440000

Landiolol


  • Catalogue No.:PA 12 1440000

  • CAS :

    133242-30-5

  • Molecular Formula : C25H39N3O8

  • Molecular Weight : 509.6

stdClass Object
(
    [pname] => (S)-2,3-Dihydroxypropyl 3-(4-((S)-2-hydroxy-3-((2-(morpholine-4-carboxamido)ethyl)amino)propoxy)phenyl)propanoate
    [catalogue_number] => PA 12 1441005
    [category_ids] => ,75,76,70,78,82,69,
    [chemical_name] => 
    [weight] => 469.54
    [form] => C22H35N3O8
    [cas] => NA
    [pslug] => s-2-3-dihydroxypropyl-3-4-s-2-hydroxy-3-2-morpholine-4-carboxamido-ethyl-amino-propoxy-phenyl-propanoate-pa121441005
    [latest_product] => 0
    [linkproducts] => 0
    [offers_id] => 
    [offers_name] => 
    [offers_status] => 
    [offers_start_date] => 
    [offers_end_date] => 
    [pageview] => 
    [offers_slug] => 
    [offers_product_id] => 
    [offers_product_code] => 
    [offers_master_id] => 
    [offer_percentage] => 
    [offers_product_main_cat] => 
)
PA 12 1441005
PA 12 1441005

(S)-2,3-Dihydroxypropyl 3-(4-((S)-2-hydroxy-3-((2-(morpholine-4-carboxamido)ethyl)amino)propoxy)phenyl)propanoate


  • Catalogue No.:PA 12 1441005

  • CAS :

    NA

  • Molecular Formula : C22H35N3O8

  • Molecular Weight : 469.54

stdClass Object
(
    [pname] => ((S)-2,2-Dimethyl-1,3-dioxolan-4-yl)methyl 3-(4-((S)-2-hydroxy-3-(3-(4-((S)-2-hydroxy-3-((2-(morpholine-4-carboxamido)ethyl)amino)propoxy)phenyl)-N-(2-(morpholine-4-carboxamido)ethyl)propanamido)propoxy)phenyl)propanoate
    [catalogue_number] => PA 12 1441006
    [category_ids] => ,75,76,70,78,82,69,
    [chemical_name] => 
    [weight] => 887.04
    [form] => C44H66N6O13
    [cas] => 1582797-17-8
    [pslug] => 1582797-17-8-s-2-2-dimethyl-1-3-dioxolan-4-yl-methyl-3-4-s-2-hydroxy-3-3-4-s-2-hydroxy-3-2-morpholine-4-carboxamido-ethyl-amino-propoxy-phenyl-n-2-morpholine-4-carboxamido-ethyl-propanamido-propoxy-phenyl-propanoate-pa121441006
    [latest_product] => 0
    [linkproducts] => 0
    [offers_id] => 
    [offers_name] => 
    [offers_status] => 
    [offers_start_date] => 
    [offers_end_date] => 
    [pageview] => 
    [offers_slug] => 
    [offers_product_id] => 
    [offers_product_code] => 
    [offers_master_id] => 
    [offer_percentage] => 
    [offers_product_main_cat] => 
)
PA 12 1441006
PA 12 1441006

((S)-2,2-Dimethyl-1,3-dioxolan-4-yl)methyl 3-(4-((S)-2-hydroxy-3-(3-(4-((S)-2-hydroxy-3-((2-(morpholine-4-carboxamido)ethyl)amino)propoxy)phenyl)-N-(2-(morpholine-4-carboxamido)ethyl)propanamido)propoxy)phenyl)propanoate


  • Catalogue No.:PA 12 1441006

  • CAS :

    1582797-17-8

  • Molecular Formula : C44H66N6O13

  • Molecular Weight : 887.04

stdClass Object
(
    [pname] => N-(2-Aminoethyl)morpholine-4-carboxamide Hydrochloride
    [catalogue_number] => PA 12 1441007
    [category_ids] => ,78,75,76,82,
    [chemical_name] => 
    [weight] => 209.67
    [form] => C7H16ClN3O2
    [cas] => 88017-03-2
    [pslug] => 88017-03-2-n-2-aminoethyl-morpholine-4-carboxamide-hydrochloride-pa121441007
    [latest_product] => 0
    [linkproducts] => 0
    [offers_id] => 
    [offers_name] => 
    [offers_status] => 
    [offers_start_date] => 
    [offers_end_date] => 
    [pageview] => 
    [offers_slug] => 
    [offers_product_id] => 
    [offers_product_code] => 
    [offers_master_id] => 
    [offer_percentage] => 
    [offers_product_main_cat] => 
)
PA 12 1441007
PA 12 1441007

N-(2-Aminoethyl)morpholine-4-carboxamide Hydrochloride


  • Catalogue No.:PA 12 1441007

  • CAS :

    88017-03-2

  • Molecular Formula : C7H16ClN3O2

  • Molecular Weight : 209.67

stdClass Object
(
    [pname] => (S)-(2,2-Dimethyl-1,3-dioxolan-4-yl)methyl 3-(4-hydroxyphenyl)propanoate
    [catalogue_number] => PA 12 1441008
    [category_ids] => ,78,75,76,82,
    [chemical_name] => 
    [weight] => 280.32
    [form] => C15H20O5
    [cas] => 144256-11-1
    [pslug] => 144256-11-1-s-2-2-dimethyl-1-3-dioxolan-4-yl-methyl-3-4-hydroxyphenyl-propanoate-pa121441008
    [latest_product] => 0
    [linkproducts] => 0
    [offers_id] => 
    [offers_name] => 
    [offers_status] => 
    [offers_start_date] => 
    [offers_end_date] => 
    [pageview] => 
    [offers_slug] => 
    [offers_product_id] => 
    [offers_product_code] => 
    [offers_master_id] => 
    [offer_percentage] => 
    [offers_product_main_cat] => 
)
PA 12 1441008
PA 12 1441008

(S)-(2,2-Dimethyl-1,3-dioxolan-4-yl)methyl 3-(4-hydroxyphenyl)propanoate


  • Catalogue No.:PA 12 1441008

  • CAS :

    144256-11-1

  • Molecular Formula : C15H20O5

  • Molecular Weight : 280.32

stdClass Object
(
    [pname] => ((S)-2,2-Dimethyl-1,3-dioxolan-4-yl)methyl 3-(4-((S)-2-hydroxy-3-((2-(morpholine-4-carboxamido)ethyl)(nitroso)amino)propoxy)phenyl)propanoate
    [catalogue_number] => PA 12 1441009
    [category_ids] => ,123,162,82,81,78,76,75,
    [chemical_name] => 
    [weight] => 538.6
    [form] => C25H38N4O9
    [cas] => 3038740-98-3
    [pslug] => 3038740-98-3-s-2-2-dimethyl-1-3-dioxolan-4-yl-methyl-3-4-s-2-hydroxy-3-2-morpholine-4-carboxamido-ethyl-nitroso-amino-propoxy-phenyl-propanoate-pa121441009
    [latest_product] => 0
    [linkproducts] => 0
    [offers_id] => 
    [offers_name] => 
    [offers_status] => 
    [offers_start_date] => 
    [offers_end_date] => 
    [pageview] => 
    [offers_slug] => 
    [offers_product_id] => 
    [offers_product_code] => 
    [offers_master_id] => 
    [offer_percentage] => 
    [offers_product_main_cat] => 
)
PA 12 1441009
PA 12 1441009

((S)-2,2-Dimethyl-1,3-dioxolan-4-yl)methyl 3-(4-((S)-2-hydroxy-3-((2-(morpholine-4-carboxamido)ethyl)(nitroso)amino)propoxy)phenyl)propanoate


  • Catalogue No.:PA 12 1441009

  • CAS :

    3038740-98-3

  • Molecular Formula : C25H38N4O9

  • Molecular Weight : 538.6

stdClass Object
(
    [pname] => 3-(4-((S)-2-Hydroxy-3-(3-(4-((S)-2-hydroxy-3-((2-(morpholine-4-carboxamido)ethyl)amino)propoxy)phenyl)-N-(2-(morpholine-4-carboxamido)ethyl)propanamido)propoxy)phenyl)propanoic Acid
    [catalogue_number] => PA 12 1441010
    [category_ids] => ,123,81,78,75,76,82,
    [chemical_name] => 
    [weight] => 772.9
    [form] => C38H56N6O11
    [cas] => NA
    [pslug] => 3-4-s-2-hydroxy-3-3-4-s-2-hydroxy-3-2-morpholine-4-carboxamido-ethyl-amino-propoxy-phenyl-n-2-morpholine-4-carboxamido-ethyl-propanamido-propoxy-phenyl-propanoic-acid-pa121441010
    [latest_product] => 0
    [linkproducts] => 0
    [offers_id] => 
    [offers_name] => 
    [offers_status] => 
    [offers_start_date] => 
    [offers_end_date] => 
    [pageview] => 
    [offers_slug] => 
    [offers_product_id] => 
    [offers_product_code] => 
    [offers_master_id] => 
    [offer_percentage] => 
    [offers_product_main_cat] => 
)
PA 12 1441010
PA 12 1441010

3-(4-((S)-2-Hydroxy-3-(3-(4-((S)-2-hydroxy-3-((2-(morpholine-4-carboxamido)ethyl)amino)propoxy)phenyl)-N-(2-(morpholine-4-carboxamido)ethyl)propanamido)propoxy)phenyl)propanoic Acid


  • Catalogue No.:PA 12 1441010

  • CAS :

    NA

  • Molecular Formula : C38H56N6O11

  • Molecular Weight : 772.9

stdClass Object
(
    [pname] => Phenyl morpholine-4-carboxylate
    [catalogue_number] => PA 12 1441011
    [category_ids] => ,78,75,76,82,
    [chemical_name] => 
    [weight] => 207.23
    [form] => C11H13NO3
    [cas] => 69630-20-2
    [pslug] => 69630-20-2-phenyl-morpholine-4-carboxylate-pa121441011
    [latest_product] => 0
    [linkproducts] => 0
    [offers_id] => 
    [offers_name] => 
    [offers_status] => 
    [offers_start_date] => 
    [offers_end_date] => 
    [pageview] => 
    [offers_slug] => 
    [offers_product_id] => 
    [offers_product_code] => 
    [offers_master_id] => 
    [offer_percentage] => 
    [offers_product_main_cat] => 
)
PA 12 1441011
PA 12 1441011

Phenyl morpholine-4-carboxylate


  • Catalogue No.:PA 12 1441011

  • CAS :

    69630-20-2

  • Molecular Formula : C11H13NO3

  • Molecular Weight : 207.23

stdClass Object
(
    [pname] => Methyl (S)-3-(4-(2-hydroxy-3-((2-(morpholine-4-carboxamido)ethyl)amino)propoxy)phenyl)propanoate
    [catalogue_number] => PA 12 1441012
    [category_ids] => ,123,81,78,75,76,82,
    [chemical_name] => 
    [weight] => 409.48
    [form] => C20H31N3O6
    [cas] => 2414593-71-6
    [pslug] => 2414593-71-6-methyl-s-3-4-2-hydroxy-3-2-morpholine-4-carboxamido-ethyl-amino-propoxy-phenyl-propanoate-pa121441012
    [latest_product] => 0
    [linkproducts] => 0
    [offers_id] => 
    [offers_name] => 
    [offers_status] => 
    [offers_start_date] => 
    [offers_end_date] => 
    [pageview] => 
    [offers_slug] => 
    [offers_product_id] => 
    [offers_product_code] => 
    [offers_master_id] => 
    [offer_percentage] => 
    [offers_product_main_cat] => 
)
PA 12 1441012
PA 12 1441012

Methyl (S)-3-(4-(2-hydroxy-3-((2-(morpholine-4-carboxamido)ethyl)amino)propoxy)phenyl)propanoate


  • Catalogue No.:PA 12 1441012

  • CAS :

    2414593-71-6

  • Molecular Formula : C20H31N3O6

  • Molecular Weight : 409.48

stdClass Object
(
    [pname] => Bis((2,2-dimethyl-1,3-dioxolan-4-yl)methyl) 3,3'-(((((2-(morpholine-4-carboxamido)ethyl)azanediyl)bis(2-hydroxypropane-3,1-diyl))bis(oxy))bis(4,1-phenylene))dipropionate
    [catalogue_number] => PA 12 1441013
    [category_ids] => ,123,81,78,75,76,82,
    [chemical_name] => 
    [weight] => 845.98
    [form] => C43H63N3O14
    [cas] => NA
    [pslug] => bis-2-2-dimethyl-1-3-dioxolan-4-yl-methyl-3-3-2-morpholine-4-carboxamido-ethyl-azanediyl-bis-2-hydroxypropane-3-1-diyl-bis-oxy-bis-4-1-phenylene-dipropionate-pa121441013
    [latest_product] => 0
    [linkproducts] => 0
    [offers_id] => 
    [offers_name] => 
    [offers_status] => 
    [offers_start_date] => 
    [offers_end_date] => 
    [pageview] => 
    [offers_slug] => 
    [offers_product_id] => 
    [offers_product_code] => 
    [offers_master_id] => 
    [offer_percentage] => 
    [offers_product_main_cat] => 
)
PA 12 1441013
PA 12 1441013

Bis((2,2-dimethyl-1,3-dioxolan-4-yl)methyl) 3,3'-(((((2-(morpholine-4-carboxamido)ethyl)azanediyl)bis(2-hydroxypropane-3,1-diyl))bis(oxy))bis(4,1-phenylene))dipropionate


  • Catalogue No.:PA 12 1441013

  • CAS :

    NA

  • Molecular Formula : C43H63N3O14

  • Molecular Weight : 845.98

stdClass Object
(
    [pname] => (2,2-Dimethyl-1,3-dioxolan-4-yl)methyl (E)-3-(4-(2-hydroxy-3-((2-(morpholine-4-carboxamido)ethyl)amino)propoxy)phenyl)acrylate
    [catalogue_number] => PA 12 1441014
    [category_ids] => ,123,81,78,75,76,82,
    [chemical_name] => 
    [weight] => 507.58
    [form] => C25H37N3O8
    [cas] => NA
    [pslug] => 2-2-dimethyl-1-3-dioxolan-4-yl-methyl-e-3-4-2-hydroxy-3-2-morpholine-4-carboxamido-ethyl-amino-propoxy-phenyl-acrylate-pa121441014
    [latest_product] => 0
    [linkproducts] => 0
    [offers_id] => 
    [offers_name] => 
    [offers_status] => 
    [offers_start_date] => 
    [offers_end_date] => 
    [pageview] => 
    [offers_slug] => 
    [offers_product_id] => 
    [offers_product_code] => 
    [offers_master_id] => 
    [offer_percentage] => 
    [offers_product_main_cat] => 
)
PA 12 1441014
PA 12 1441014

(2,2-Dimethyl-1,3-dioxolan-4-yl)methyl (E)-3-(4-(2-hydroxy-3-((2-(morpholine-4-carboxamido)ethyl)amino)propoxy)phenyl)acrylate


  • Catalogue No.:PA 12 1441014

  • CAS :

    NA

  • Molecular Formula : C25H37N3O8

  • Molecular Weight : 507.58

stdClass Object
(
    [pname] => Isopropyl 3-(4-(2-hydroxy-3-((2-(morpholine-4-carboxamido)ethyl)amino)propoxy)phenyl)propanoate Hydrochloride
    [catalogue_number] => PA 12 1441015
    [category_ids] => ,123,81,78,75,76,82,
    [chemical_name] => 
    [weight] => 474
    [form] => C22H36ClN3O6
    [cas] => NA
    [pslug] => isopropyl-3-4-2-hydroxy-3-2-morpholine-4-carboxamido-ethyl-amino-propoxy-phenyl-propanoate-hydrochloride-pa121441015
    [latest_product] => 0
    [linkproducts] => 0
    [offers_id] => 
    [offers_name] => 
    [offers_status] => 
    [offers_start_date] => 
    [offers_end_date] => 
    [pageview] => 
    [offers_slug] => 
    [offers_product_id] => 
    [offers_product_code] => 
    [offers_master_id] => 
    [offer_percentage] => 
    [offers_product_main_cat] => 
)
PA 12 1441015
PA 12 1441015

Isopropyl 3-(4-(2-hydroxy-3-((2-(morpholine-4-carboxamido)ethyl)amino)propoxy)phenyl)propanoate Hydrochloride


  • Catalogue No.:PA 12 1441015

  • CAS :

    NA

  • Molecular Formula : C22H36ClN3O6

  • Molecular Weight : 474

stdClass Object
(
    [pname] => ((S)-2,2-Dimethyl-1,3-dioxolan-4-yl)methyl 3-(4-((R)-2-hydroxy-3-((2-(morpholine-4-carboxamido)ethyl)amino)propoxy)phenyl)propanoate
    [catalogue_number] => PA 12 1441016
    [category_ids] => ,123,81,78,75,76,82,
    [chemical_name] => 
    [weight] => 509.6
    [form] => C25H39N3O8
    [cas] => 144256-26-8
    [pslug] => 144256-26-8-s-2-2-dimethyl-1-3-dioxolan-4-yl-methyl-3-4-r-2-hydroxy-3-2-morpholine-4-carboxamido-ethyl-amino-propoxy-phenyl-propanoate-pa121441016
    [latest_product] => 0
    [linkproducts] => 0
    [offers_id] => 
    [offers_name] => 
    [offers_status] => 
    [offers_start_date] => 
    [offers_end_date] => 
    [pageview] => 
    [offers_slug] => 
    [offers_product_id] => 
    [offers_product_code] => 
    [offers_master_id] => 
    [offer_percentage] => 
    [offers_product_main_cat] => 
)
PA 12 1441016
PA 12 1441016

((S)-2,2-Dimethyl-1,3-dioxolan-4-yl)methyl 3-(4-((R)-2-hydroxy-3-((2-(morpholine-4-carboxamido)ethyl)amino)propoxy)phenyl)propanoate


  • Catalogue No.:PA 12 1441016

  • CAS :

    144256-26-8

  • Molecular Formula : C25H39N3O8

  • Molecular Weight : 509.6

stdClass Object
(
    [pname] => ((R)-2,2-Dimethyl-1,3-dioxolan-4-yl)methyl 3-(4-((R)-2-hydroxy-3-((2-(morpholine-4-carboxamido)ethyl)amino)propoxy)phenyl)propanoate
    [catalogue_number] => PA 12 1441017
    [category_ids] => ,123,81,78,75,76,82,
    [chemical_name] => 
    [weight] => 509.6
    [form] => C25H39N3O8
    [cas] => 144256-25-7
    [pslug] => 144256-25-7-r-2-2-dimethyl-1-3-dioxolan-4-yl-methyl-3-4-r-2-hydroxy-3-2-morpholine-4-carboxamido-ethyl-amino-propoxy-phenyl-propanoate-pa121441017
    [latest_product] => 0
    [linkproducts] => 0
    [offers_id] => 
    [offers_name] => 
    [offers_status] => 
    [offers_start_date] => 
    [offers_end_date] => 
    [pageview] => 
    [offers_slug] => 
    [offers_product_id] => 
    [offers_product_code] => 
    [offers_master_id] => 
    [offer_percentage] => 
    [offers_product_main_cat] => 
)
PA 12 1441017
PA 12 1441017

((R)-2,2-Dimethyl-1,3-dioxolan-4-yl)methyl 3-(4-((R)-2-hydroxy-3-((2-(morpholine-4-carboxamido)ethyl)amino)propoxy)phenyl)propanoate


  • Catalogue No.:PA 12 1441017

  • CAS :

    144256-25-7

  • Molecular Formula : C25H39N3O8

  • Molecular Weight : 509.6

stdClass Object
(
    [pname] => ((R)-2,2-Dimethyl-1,3-dioxolan-4-yl)methyl 3-(4-((S)-2-hydroxy-3-((2-(morpholine-4-carboxamido)ethyl)amino)propoxy)phenyl)propanoate
    [catalogue_number] => PA 12 1441018
    [category_ids] => ,123,81,78,75,76,82,
    [chemical_name] => 
    [weight] => 509.6
    [form] => C25H39N3O8
    [cas] => 133242-29-2
    [pslug] => 133242-29-2-r-2-2-dimethyl-1-3-dioxolan-4-yl-methyl-3-4-s-2-hydroxy-3-2-morpholine-4-carboxamido-ethyl-amino-propoxy-phenyl-propanoate-pa121441018
    [latest_product] => 0
    [linkproducts] => 0
    [offers_id] => 
    [offers_name] => 
    [offers_status] => 
    [offers_start_date] => 
    [offers_end_date] => 
    [pageview] => 
    [offers_slug] => 
    [offers_product_id] => 
    [offers_product_code] => 
    [offers_master_id] => 
    [offer_percentage] => 
    [offers_product_main_cat] => 
)
PA 12 1441018
PA 12 1441018

((R)-2,2-Dimethyl-1,3-dioxolan-4-yl)methyl 3-(4-((S)-2-hydroxy-3-((2-(morpholine-4-carboxamido)ethyl)amino)propoxy)phenyl)propanoate


  • Catalogue No.:PA 12 1441018

  • CAS :

    133242-29-2

  • Molecular Formula : C25H39N3O8

  • Molecular Weight : 509.6

stdClass Object
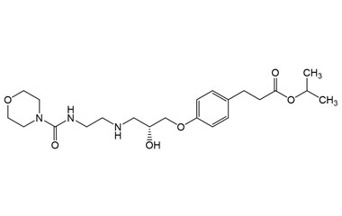
(
    [pname] => Isopropyl (R)-3-(4-(2-hydroxy-3-((2-(morpholine-4-carboxamido)ethyl)amino)propoxy)phenyl)propanoate
    [catalogue_number] => PA 12 1441019
    [category_ids] => ,123,81,78,75,76,82,
    [chemical_name] => 
    [weight] => 437.54
    [form] => C22H35N3O6
    [cas] => NA
    [pslug] => isopropyl-r-3-4-2-hydroxy-3-2-morpholine-4-carboxamido-ethyl-amino-propoxy-phenyl-propanoate-pa121441019
    [latest_product] => 0
    [linkproducts] => 0
    [offers_id] => 
    [offers_name] => 
    [offers_status] => 
    [offers_start_date] => 
    [offers_end_date] => 
    [pageview] => 
    [offers_slug] => 
    [offers_product_id] => 
    [offers_product_code] => 
    [offers_master_id] => 
    [offer_percentage] => 
    [offers_product_main_cat] => 
)
PA 12 1441019
PA 12 1441019

Isopropyl (R)-3-(4-(2-hydroxy-3-((2-(morpholine-4-carboxamido)ethyl)amino)propoxy)phenyl)propanoate


  • Catalogue No.:PA 12 1441019

  • CAS :

    NA

  • Molecular Formula : C22H35N3O6

  • Molecular Weight : 437.54

stdClass Object
(
    [pname] => (2,2-Dimethyl-1,3-dioxolan-4-yl)methyl 3-(4-(2-hydroxy-3-((2-(morpholine-4-carboxamido)ethyl)amino)propoxy)phenyl)propanoate Hydrochloride
    [catalogue_number] => PA 12 1441020
    [category_ids] => ,123,81,78,75,76,82,
    [chemical_name] => 
    [weight] => 546.06
    [form] => C25H40ClN3O8
    [cas] => 1253907-79-7
    [pslug] => 1253907-79-7-2-2-dimethyl-1-3-dioxolan-4-yl-methyl-3-4-2-hydroxy-3-2-morpholine-4-carboxamido-ethyl-amino-propoxy-phenyl-propanoate-hydrochloride-pa121441020
    [latest_product] => 0
    [linkproducts] => 0
    [offers_id] => 
    [offers_name] => 
    [offers_status] => 
    [offers_start_date] => 
    [offers_end_date] => 
    [pageview] => 
    [offers_slug] => 
    [offers_product_id] => 
    [offers_product_code] => 
    [offers_master_id] => 
    [offer_percentage] => 
    [offers_product_main_cat] => 
)
PA 12 1441020
PA 12 1441020

(2,2-Dimethyl-1,3-dioxolan-4-yl)methyl 3-(4-(2-hydroxy-3-((2-(morpholine-4-carboxamido)ethyl)amino)propoxy)phenyl)propanoate Hydrochloride


  • Catalogue No.:PA 12 1441020

  • CAS :

    1253907-79-7

  • Molecular Formula : C25H40ClN3O8

  • Molecular Weight : 546.06

Details
stdClass Object
(
    [pname] => (2,2-Dimethyl-1,3-dioxolan-4-yl)methyl 3-(4-(2-hydroxy-3-morpholinopropoxy)phenyl)propanoate
    [catalogue_number] => PA 12 1441000
    [category_ids] => ,75,76,70,78,82,
    [chemical_name] => 
    [weight] => 423.51
    [form] => C22H33NO7
    [cas] => NA
    [pslug] => 2-2-dimethyl-1-3-dioxolan-4-yl-methyl-3-4-2-hydroxy-3-morpholinopropoxy-phenyl-propanoate-pa121441000
    [latest_product] => 0
    [linkproducts] => 0
    [offers_id] => 
    [offers_name] => 
    [offers_status] => 
    [offers_start_date] => 
    [offers_end_date] => 
    [pageview] => 
    [offers_slug] => 
    [offers_product_id] => 
    [offers_product_code] => 
    [offers_master_id] => 
    [offer_percentage] => 
    [offers_product_main_cat] => 
)
PA 12 1441000
PA 12 1441000

(2,2-Dimethyl-1,3-dioxolan-4-yl)methyl 3-(4-(2-hydroxy-3-morpholinopropoxy)phenyl)propanoate


  • Catalogue No.:PA 12 1441000

  • CAS :

    NA

  • Molecular Formula : C22H33NO7

  • Molecular Weight : 423.51

stdClass Object
(
    [pname] => (2,2-Dimethyl-1,3-dioxolan-4-yl)methyl 3-(4-(3-((2-aminoethyl)amino)-2-hydroxypropoxy)phenyl)propanoate Hydrochloride
    [catalogue_number] => PA 12 1441001
    [category_ids] => ,75,76,70,78,82,
    [chemical_name] => 
    [weight] => 432.94
    [form] => C20H33ClN2O6
    [cas] => NA
    [pslug] => 2-2-dimethyl-1-3-dioxolan-4-yl-methyl-3-4-3-2-aminoethyl-amino-2-hydroxypropoxy-phenyl-propanoate-hydrochloride-pa121441001
    [latest_product] => 0
    [linkproducts] => 0
    [offers_id] => 
    [offers_name] => 
    [offers_status] => 
    [offers_start_date] => 
    [offers_end_date] => 
    [pageview] => 
    [offers_slug] => 
    [offers_product_id] => 
    [offers_product_code] => 
    [offers_master_id] => 
    [offer_percentage] => 
    [offers_product_main_cat] => 
)
PA 12 1441001
PA 12 1441001

(2,2-Dimethyl-1,3-dioxolan-4-yl)methyl 3-(4-(3-((2-aminoethyl)amino)-2-hydroxypropoxy)phenyl)propanoate Hydrochloride


  • Catalogue No.:PA 12 1441001

  • CAS :

    NA

  • Molecular Formula : C20H33ClN2O6

  • Molecular Weight : 432.94

stdClass Object
(
    [pname] => N-(2-((3-Nitrophenyl)sulfonamido)ethyl)morpholine-4-carboxamide
    [catalogue_number] => PA 12 1441002
    [category_ids] => ,75,76,70,78,82,
    [chemical_name] => 
    [weight] => 358.37
    [form] => C13H18N4O6S
    [cas] => NA
    [pslug] => n-2-3-nitrophenyl-sulfonamido-ethyl-morpholine-4-carboxamide-pa121441002
    [latest_product] => 0
    [linkproducts] => 0
    [offers_id] => 
    [offers_name] => 
    [offers_status] => 
    [offers_start_date] => 
    [offers_end_date] => 
    [pageview] => 
    [offers_slug] => 
    [offers_product_id] => 
    [offers_product_code] => 
    [offers_master_id] => 
    [offer_percentage] => 
    [offers_product_main_cat] => 
)
PA 12 1441002
PA 12 1441002

N-(2-((3-Nitrophenyl)sulfonamido)ethyl)morpholine-4-carboxamide


  • Catalogue No.:PA 12 1441002

  • CAS :

    NA

  • Molecular Formula : C13H18N4O6S

  • Molecular Weight : 358.37

stdClass Object
(
    [pname] => (2,2-Dimethyl-1,3-dioxolan-4-yl)methyl 3-(4-(3-hydroxy-2-((2-(morpholine-4-carboxamido)ethyl)amino)propoxy)phenyl)propanoate
    [catalogue_number] => PA 12 1441003
    [category_ids] => ,75,76,70,78,82,
    [chemical_name] => 
    [weight] => 509.6
    [form] => C25H39N3O8
    [cas] => NA
    [pslug] => 2-2-dimethyl-1-3-dioxolan-4-yl-methyl-3-4-3-hydroxy-2-2-morpholine-4-carboxamido-ethyl-amino-propoxy-phenyl-propanoate-pa121441003
    [latest_product] => 0
    [linkproducts] => 0
    [offers_id] => 
    [offers_name] => 
    [offers_status] => 
    [offers_start_date] => 
    [offers_end_date] => 
    [pageview] => 
    [offers_slug] => 
    [offers_product_id] => 
    [offers_product_code] => 
    [offers_master_id] => 
    [offer_percentage] => 
    [offers_product_main_cat] => 
)
PA 12 1441003
PA 12 1441003

(2,2-Dimethyl-1,3-dioxolan-4-yl)methyl 3-(4-(3-hydroxy-2-((2-(morpholine-4-carboxamido)ethyl)amino)propoxy)phenyl)propanoate


  • Catalogue No.:PA 12 1441003

  • CAS :

    NA

  • Molecular Formula : C25H39N3O8

  • Molecular Weight : 509.6

stdClass Object
(
    [pname] => (S)-3-(4-(2-Hydroxy-3-((2-(morpholine-4-carboxamido)ethyl)amino)propoxy)phenyl)propanoic Acid
    [catalogue_number] => PA 12 1441004
    [category_ids] => ,75,76,70,78,82,69,
    [chemical_name] => 
    [weight] => 395.46
    [form] => C19H29N3O6
    [cas] => 190601-22-0
    [pslug] => 190601-22-0-s-3-4-2-hydroxy-3-2-morpholine-4-carboxamido-ethyl-amino-propoxy-phenyl-propanoic-acid-pa121441004
    [latest_product] => 0
    [linkproducts] => 0
    [offers_id] => 
    [offers_name] => 
    [offers_status] => 
    [offers_start_date] => 
    [offers_end_date] => 
    [pageview] => 
    [offers_slug] => 
    [offers_product_id] => 
    [offers_product_code] => 
    [offers_master_id] => 
    [offer_percentage] => 
    [offers_product_main_cat] => 
)
PA 12 1441004
PA 12 1441004

(S)-3-(4-(2-Hydroxy-3-((2-(morpholine-4-carboxamido)ethyl)amino)propoxy)phenyl)propanoic Acid


  • Catalogue No.:PA 12 1441004

  • CAS :

    190601-22-0

  • Molecular Formula : C19H29N3O6

  • Molecular Weight : 395.46

stdClass Object
(
    [pname] => Landiolol
    [catalogue_number] => PA 12 1440000
    [category_ids] => ,123,81,78,75,76,82,
    [chemical_name] => 
    [weight] => 509.6
    [form] => C25H39N3O8
    [cas] => 133242-30-5
    [pslug] => 133242-30-5-landiolol-pa121440000
    [latest_product] => 0
    [linkproducts] => 1
    [offers_id] => 
    [offers_name] => 
    [offers_status] => 
    [offers_start_date] => 
    [offers_end_date] => 
    [pageview] => 
    [offers_slug] => 
    [offers_product_id] => 
    [offers_product_code] => 
    [offers_master_id] => 
    [offer_percentage] => 
    [offers_product_main_cat] => 
)
PA 12 1440000
PA 12 1440000

Landiolol


  • Catalogue No.:PA 12 1440000

  • CAS :

    133242-30-5

  • Molecular Formula : C25H39N3O8

  • Molecular Weight : 509.6

stdClass Object
(
    [pname] => (S)-2,3-Dihydroxypropyl 3-(4-((S)-2-hydroxy-3-((2-(morpholine-4-carboxamido)ethyl)amino)propoxy)phenyl)propanoate
    [catalogue_number] => PA 12 1441005
    [category_ids] => ,75,76,70,78,82,69,
    [chemical_name] => 
    [weight] => 469.54
    [form] => C22H35N3O8
    [cas] => NA
    [pslug] => s-2-3-dihydroxypropyl-3-4-s-2-hydroxy-3-2-morpholine-4-carboxamido-ethyl-amino-propoxy-phenyl-propanoate-pa121441005
    [latest_product] => 0
    [linkproducts] => 0
    [offers_id] => 
    [offers_name] => 
    [offers_status] => 
    [offers_start_date] => 
    [offers_end_date] => 
    [pageview] => 
    [offers_slug] => 
    [offers_product_id] => 
    [offers_product_code] => 
    [offers_master_id] => 
    [offer_percentage] => 
    [offers_product_main_cat] => 
)
PA 12 1441005
PA 12 1441005

(S)-2,3-Dihydroxypropyl 3-(4-((S)-2-hydroxy-3-((2-(morpholine-4-carboxamido)ethyl)amino)propoxy)phenyl)propanoate


  • Catalogue No.:PA 12 1441005

  • CAS :

    NA

  • Molecular Formula : C22H35N3O8

  • Molecular Weight : 469.54

stdClass Object
(
    [pname] => ((S)-2,2-Dimethyl-1,3-dioxolan-4-yl)methyl 3-(4-((S)-2-hydroxy-3-(3-(4-((S)-2-hydroxy-3-((2-(morpholine-4-carboxamido)ethyl)amino)propoxy)phenyl)-N-(2-(morpholine-4-carboxamido)ethyl)propanamido)propoxy)phenyl)propanoate
    [catalogue_number] => PA 12 1441006
    [category_ids] => ,75,76,70,78,82,69,
    [chemical_name] => 
    [weight] => 887.04
    [form] => C44H66N6O13
    [cas] => 1582797-17-8
    [pslug] => 1582797-17-8-s-2-2-dimethyl-1-3-dioxolan-4-yl-methyl-3-4-s-2-hydroxy-3-3-4-s-2-hydroxy-3-2-morpholine-4-carboxamido-ethyl-amino-propoxy-phenyl-n-2-morpholine-4-carboxamido-ethyl-propanamido-propoxy-phenyl-propanoate-pa121441006
    [latest_product] => 0
    [linkproducts] => 0
    [offers_id] => 
    [offers_name] => 
    [offers_status] => 
    [offers_start_date] => 
    [offers_end_date] => 
    [pageview] => 
    [offers_slug] => 
    [offers_product_id] => 
    [offers_product_code] => 
    [offers_master_id] => 
    [offer_percentage] => 
    [offers_product_main_cat] => 
)
PA 12 1441006
PA 12 1441006

((S)-2,2-Dimethyl-1,3-dioxolan-4-yl)methyl 3-(4-((S)-2-hydroxy-3-(3-(4-((S)-2-hydroxy-3-((2-(morpholine-4-carboxamido)ethyl)amino)propoxy)phenyl)-N-(2-(morpholine-4-carboxamido)ethyl)propanamido)propoxy)phenyl)propanoate


  • Catalogue No.:PA 12 1441006

  • CAS :

    1582797-17-8

  • Molecular Formula : C44H66N6O13

  • Molecular Weight : 887.04

stdClass Object
(
    [pname] => N-(2-Aminoethyl)morpholine-4-carboxamide Hydrochloride
    [catalogue_number] => PA 12 1441007
    [category_ids] => ,78,75,76,82,
    [chemical_name] => 
    [weight] => 209.67
    [form] => C7H16ClN3O2
    [cas] => 88017-03-2
    [pslug] => 88017-03-2-n-2-aminoethyl-morpholine-4-carboxamide-hydrochloride-pa121441007
    [latest_product] => 0
    [linkproducts] => 0
    [offers_id] => 
    [offers_name] => 
    [offers_status] => 
    [offers_start_date] => 
    [offers_end_date] => 
    [pageview] => 
    [offers_slug] => 
    [offers_product_id] => 
    [offers_product_code] => 
    [offers_master_id] => 
    [offer_percentage] => 
    [offers_product_main_cat] => 
)
PA 12 1441007
PA 12 1441007

N-(2-Aminoethyl)morpholine-4-carboxamide Hydrochloride


  • Catalogue No.:PA 12 1441007

  • CAS :

    88017-03-2

  • Molecular Formula : C7H16ClN3O2

  • Molecular Weight : 209.67

stdClass Object
(
    [pname] => (S)-(2,2-Dimethyl-1,3-dioxolan-4-yl)methyl 3-(4-hydroxyphenyl)propanoate
    [catalogue_number] => PA 12 1441008
    [category_ids] => ,78,75,76,82,
    [chemical_name] => 
    [weight] => 280.32
    [form] => C15H20O5
    [cas] => 144256-11-1
    [pslug] => 144256-11-1-s-2-2-dimethyl-1-3-dioxolan-4-yl-methyl-3-4-hydroxyphenyl-propanoate-pa121441008
    [latest_product] => 0
    [linkproducts] => 0
    [offers_id] => 
    [offers_name] => 
    [offers_status] => 
    [offers_start_date] => 
    [offers_end_date] => 
    [pageview] => 
    [offers_slug] => 
    [offers_product_id] => 
    [offers_product_code] => 
    [offers_master_id] => 
    [offer_percentage] => 
    [offers_product_main_cat] => 
)
PA 12 1441008
PA 12 1441008

(S)-(2,2-Dimethyl-1,3-dioxolan-4-yl)methyl 3-(4-hydroxyphenyl)propanoate


  • Catalogue No.:PA 12 1441008

  • CAS :

    144256-11-1

  • Molecular Formula : C15H20O5

  • Molecular Weight : 280.32

stdClass Object
(
    [pname] => ((S)-2,2-Dimethyl-1,3-dioxolan-4-yl)methyl 3-(4-((S)-2-hydroxy-3-((2-(morpholine-4-carboxamido)ethyl)(nitroso)amino)propoxy)phenyl)propanoate
    [catalogue_number] => PA 12 1441009
    [category_ids] => ,123,162,82,81,78,76,75,
    [chemical_name] => 
    [weight] => 538.6
    [form] => C25H38N4O9
    [cas] => 3038740-98-3
    [pslug] => 3038740-98-3-s-2-2-dimethyl-1-3-dioxolan-4-yl-methyl-3-4-s-2-hydroxy-3-2-morpholine-4-carboxamido-ethyl-nitroso-amino-propoxy-phenyl-propanoate-pa121441009
    [latest_product] => 0
    [linkproducts] => 0
    [offers_id] => 
    [offers_name] => 
    [offers_status] => 
    [offers_start_date] => 
    [offers_end_date] => 
    [pageview] => 
    [offers_slug] => 
    [offers_product_id] => 
    [offers_product_code] => 
    [offers_master_id] => 
    [offer_percentage] => 
    [offers_product_main_cat] => 
)
PA 12 1441009
PA 12 1441009

((S)-2,2-Dimethyl-1,3-dioxolan-4-yl)methyl 3-(4-((S)-2-hydroxy-3-((2-(morpholine-4-carboxamido)ethyl)(nitroso)amino)propoxy)phenyl)propanoate


  • Catalogue No.:PA 12 1441009

  • CAS :

    3038740-98-3

  • Molecular Formula : C25H38N4O9

  • Molecular Weight : 538.6

stdClass Object
(
    [pname] => 3-(4-((S)-2-Hydroxy-3-(3-(4-((S)-2-hydroxy-3-((2-(morpholine-4-carboxamido)ethyl)amino)propoxy)phenyl)-N-(2-(morpholine-4-carboxamido)ethyl)propanamido)propoxy)phenyl)propanoic Acid
    [catalogue_number] => PA 12 1441010
    [category_ids] => ,123,81,78,75,76,82,
    [chemical_name] => 
    [weight] => 772.9
    [form] => C38H56N6O11
    [cas] => NA
    [pslug] => 3-4-s-2-hydroxy-3-3-4-s-2-hydroxy-3-2-morpholine-4-carboxamido-ethyl-amino-propoxy-phenyl-n-2-morpholine-4-carboxamido-ethyl-propanamido-propoxy-phenyl-propanoic-acid-pa121441010
    [latest_product] => 0
    [linkproducts] => 0
    [offers_id] => 
    [offers_name] => 
    [offers_status] => 
    [offers_start_date] => 
    [offers_end_date] => 
    [pageview] => 
    [offers_slug] => 
    [offers_product_id] => 
    [offers_product_code] => 
    [offers_master_id] => 
    [offer_percentage] => 
    [offers_product_main_cat] => 
)
PA 12 1441010
PA 12 1441010

3-(4-((S)-2-Hydroxy-3-(3-(4-((S)-2-hydroxy-3-((2-(morpholine-4-carboxamido)ethyl)amino)propoxy)phenyl)-N-(2-(morpholine-4-carboxamido)ethyl)propanamido)propoxy)phenyl)propanoic Acid


  • Catalogue No.:PA 12 1441010

  • CAS :

    NA

  • Molecular Formula : C38H56N6O11

  • Molecular Weight : 772.9

stdClass Object
(
    [pname] => Phenyl morpholine-4-carboxylate
    [catalogue_number] => PA 12 1441011
    [category_ids] => ,78,75,76,82,
    [chemical_name] => 
    [weight] => 207.23
    [form] => C11H13NO3
    [cas] => 69630-20-2
    [pslug] => 69630-20-2-phenyl-morpholine-4-carboxylate-pa121441011
    [latest_product] => 0
    [linkproducts] => 0
    [offers_id] => 
    [offers_name] => 
    [offers_status] => 
    [offers_start_date] => 
    [offers_end_date] => 
    [pageview] => 
    [offers_slug] => 
    [offers_product_id] => 
    [offers_product_code] => 
    [offers_master_id] => 
    [offer_percentage] => 
    [offers_product_main_cat] => 
)
PA 12 1441011
PA 12 1441011

Phenyl morpholine-4-carboxylate


  • Catalogue No.:PA 12 1441011

  • CAS :

    69630-20-2

  • Molecular Formula : C11H13NO3

  • Molecular Weight : 207.23

stdClass Object
(
    [pname] => Methyl (S)-3-(4-(2-hydroxy-3-((2-(morpholine-4-carboxamido)ethyl)amino)propoxy)phenyl)propanoate
    [catalogue_number] => PA 12 1441012
    [category_ids] => ,123,81,78,75,76,82,
    [chemical_name] => 
    [weight] => 409.48
    [form] => C20H31N3O6
    [cas] => 2414593-71-6
    [pslug] => 2414593-71-6-methyl-s-3-4-2-hydroxy-3-2-morpholine-4-carboxamido-ethyl-amino-propoxy-phenyl-propanoate-pa121441012
    [latest_product] => 0
    [linkproducts] => 0
    [offers_id] => 
    [offers_name] => 
    [offers_status] => 
    [offers_start_date] => 
    [offers_end_date] => 
    [pageview] => 
    [offers_slug] => 
    [offers_product_id] => 
    [offers_product_code] => 
    [offers_master_id] => 
    [offer_percentage] => 
    [offers_product_main_cat] => 
)
PA 12 1441012
PA 12 1441012

Methyl (S)-3-(4-(2-hydroxy-3-((2-(morpholine-4-carboxamido)ethyl)amino)propoxy)phenyl)propanoate


  • Catalogue No.:PA 12 1441012

  • CAS :

    2414593-71-6

  • Molecular Formula : C20H31N3O6

  • Molecular Weight : 409.48

stdClass Object
(
    [pname] => Bis((2,2-dimethyl-1,3-dioxolan-4-yl)methyl) 3,3'-(((((2-(morpholine-4-carboxamido)ethyl)azanediyl)bis(2-hydroxypropane-3,1-diyl))bis(oxy))bis(4,1-phenylene))dipropionate
    [catalogue_number] => PA 12 1441013
    [category_ids] => ,123,81,78,75,76,82,
    [chemical_name] => 
    [weight] => 845.98
    [form] => C43H63N3O14
    [cas] => NA
    [pslug] => bis-2-2-dimethyl-1-3-dioxolan-4-yl-methyl-3-3-2-morpholine-4-carboxamido-ethyl-azanediyl-bis-2-hydroxypropane-3-1-diyl-bis-oxy-bis-4-1-phenylene-dipropionate-pa121441013
    [latest_product] => 0
    [linkproducts] => 0
    [offers_id] => 
    [offers_name] => 
    [offers_status] => 
    [offers_start_date] => 
    [offers_end_date] => 
    [pageview] => 
    [offers_slug] => 
    [offers_product_id] => 
    [offers_product_code] => 
    [offers_master_id] => 
    [offer_percentage] => 
    [offers_product_main_cat] => 
)
PA 12 1441013
PA 12 1441013

Bis((2,2-dimethyl-1,3-dioxolan-4-yl)methyl) 3,3'-(((((2-(morpholine-4-carboxamido)ethyl)azanediyl)bis(2-hydroxypropane-3,1-diyl))bis(oxy))bis(4,1-phenylene))dipropionate


  • Catalogue No.:PA 12 1441013

  • CAS :

    NA

  • Molecular Formula : C43H63N3O14

  • Molecular Weight : 845.98

stdClass Object
(
    [pname] => (2,2-Dimethyl-1,3-dioxolan-4-yl)methyl (E)-3-(4-(2-hydroxy-3-((2-(morpholine-4-carboxamido)ethyl)amino)propoxy)phenyl)acrylate
    [catalogue_number] => PA 12 1441014
    [category_ids] => ,123,81,78,75,76,82,
    [chemical_name] => 
    [weight] => 507.58
    [form] => C25H37N3O8
    [cas] => NA
    [pslug] => 2-2-dimethyl-1-3-dioxolan-4-yl-methyl-e-3-4-2-hydroxy-3-2-morpholine-4-carboxamido-ethyl-amino-propoxy-phenyl-acrylate-pa121441014
    [latest_product] => 0
    [linkproducts] => 0
    [offers_id] => 
    [offers_name] => 
    [offers_status] => 
    [offers_start_date] => 
    [offers_end_date] => 
    [pageview] => 
    [offers_slug] => 
    [offers_product_id] => 
    [offers_product_code] => 
    [offers_master_id] => 
    [offer_percentage] => 
    [offers_product_main_cat] => 
)
PA 12 1441014
PA 12 1441014

(2,2-Dimethyl-1,3-dioxolan-4-yl)methyl (E)-3-(4-(2-hydroxy-3-((2-(morpholine-4-carboxamido)ethyl)amino)propoxy)phenyl)acrylate


  • Catalogue No.:PA 12 1441014

  • CAS :

    NA

  • Molecular Formula : C25H37N3O8

  • Molecular Weight : 507.58

stdClass Object
(
    [pname] => Isopropyl 3-(4-(2-hydroxy-3-((2-(morpholine-4-carboxamido)ethyl)amino)propoxy)phenyl)propanoate Hydrochloride
    [catalogue_number] => PA 12 1441015
    [category_ids] => ,123,81,78,75,76,82,
    [chemical_name] => 
    [weight] => 474
    [form] => C22H36ClN3O6
    [cas] => NA
    [pslug] => isopropyl-3-4-2-hydroxy-3-2-morpholine-4-carboxamido-ethyl-amino-propoxy-phenyl-propanoate-hydrochloride-pa121441015
    [latest_product] => 0
    [linkproducts] => 0
    [offers_id] => 
    [offers_name] => 
    [offers_status] => 
    [offers_start_date] => 
    [offers_end_date] => 
    [pageview] => 
    [offers_slug] => 
    [offers_product_id] => 
    [offers_product_code] => 
    [offers_master_id] => 
    [offer_percentage] => 
    [offers_product_main_cat] => 
)
PA 12 1441015
PA 12 1441015

Isopropyl 3-(4-(2-hydroxy-3-((2-(morpholine-4-carboxamido)ethyl)amino)propoxy)phenyl)propanoate Hydrochloride


  • Catalogue No.:PA 12 1441015

  • CAS :

    NA

  • Molecular Formula : C22H36ClN3O6

  • Molecular Weight : 474

stdClass Object
(
    [pname] => ((S)-2,2-Dimethyl-1,3-dioxolan-4-yl)methyl 3-(4-((R)-2-hydroxy-3-((2-(morpholine-4-carboxamido)ethyl)amino)propoxy)phenyl)propanoate
    [catalogue_number] => PA 12 1441016
    [category_ids] => ,123,81,78,75,76,82,
    [chemical_name] => 
    [weight] => 509.6
    [form] => C25H39N3O8
    [cas] => 144256-26-8
    [pslug] => 144256-26-8-s-2-2-dimethyl-1-3-dioxolan-4-yl-methyl-3-4-r-2-hydroxy-3-2-morpholine-4-carboxamido-ethyl-amino-propoxy-phenyl-propanoate-pa121441016
    [latest_product] => 0
    [linkproducts] => 0
    [offers_id] => 
    [offers_name] => 
    [offers_status] => 
    [offers_start_date] => 
    [offers_end_date] => 
    [pageview] => 
    [offers_slug] => 
    [offers_product_id] => 
    [offers_product_code] => 
    [offers_master_id] => 
    [offer_percentage] => 
    [offers_product_main_cat] => 
)
PA 12 1441016
PA 12 1441016

((S)-2,2-Dimethyl-1,3-dioxolan-4-yl)methyl 3-(4-((R)-2-hydroxy-3-((2-(morpholine-4-carboxamido)ethyl)amino)propoxy)phenyl)propanoate


  • Catalogue No.:PA 12 1441016

  • CAS :

    144256-26-8

  • Molecular Formula : C25H39N3O8

  • Molecular Weight : 509.6

stdClass Object
(
    [pname] => ((R)-2,2-Dimethyl-1,3-dioxolan-4-yl)methyl 3-(4-((R)-2-hydroxy-3-((2-(morpholine-4-carboxamido)ethyl)amino)propoxy)phenyl)propanoate
    [catalogue_number] => PA 12 1441017
    [category_ids] => ,123,81,78,75,76,82,
    [chemical_name] => 
    [weight] => 509.6
    [form] => C25H39N3O8
    [cas] => 144256-25-7
    [pslug] => 144256-25-7-r-2-2-dimethyl-1-3-dioxolan-4-yl-methyl-3-4-r-2-hydroxy-3-2-morpholine-4-carboxamido-ethyl-amino-propoxy-phenyl-propanoate-pa121441017
    [latest_product] => 0
    [linkproducts] => 0
    [offers_id] => 
    [offers_name] => 
    [offers_status] => 
    [offers_start_date] => 
    [offers_end_date] => 
    [pageview] => 
    [offers_slug] => 
    [offers_product_id] => 
    [offers_product_code] => 
    [offers_master_id] => 
    [offer_percentage] => 
    [offers_product_main_cat] => 
)
PA 12 1441017
PA 12 1441017

((R)-2,2-Dimethyl-1,3-dioxolan-4-yl)methyl 3-(4-((R)-2-hydroxy-3-((2-(morpholine-4-carboxamido)ethyl)amino)propoxy)phenyl)propanoate


  • Catalogue No.:PA 12 1441017

  • CAS :

    144256-25-7

  • Molecular Formula : C25H39N3O8

  • Molecular Weight : 509.6

stdClass Object
(
    [pname] => ((R)-2,2-Dimethyl-1,3-dioxolan-4-yl)methyl 3-(4-((S)-2-hydroxy-3-((2-(morpholine-4-carboxamido)ethyl)amino)propoxy)phenyl)propanoate
    [catalogue_number] => PA 12 1441018
    [category_ids] => ,123,81,78,75,76,82,
    [chemical_name] => 
    [weight] => 509.6
    [form] => C25H39N3O8
    [cas] => 133242-29-2
    [pslug] => 133242-29-2-r-2-2-dimethyl-1-3-dioxolan-4-yl-methyl-3-4-s-2-hydroxy-3-2-morpholine-4-carboxamido-ethyl-amino-propoxy-phenyl-propanoate-pa121441018
    [latest_product] => 0
    [linkproducts] => 0
    [offers_id] => 
    [offers_name] => 
    [offers_status] => 
    [offers_start_date] => 
    [offers_end_date] => 
    [pageview] => 
    [offers_slug] => 
    [offers_product_id] => 
    [offers_product_code] => 
    [offers_master_id] => 
    [offer_percentage] => 
    [offers_product_main_cat] => 
)
PA 12 1441018
PA 12 1441018

((R)-2,2-Dimethyl-1,3-dioxolan-4-yl)methyl 3-(4-((S)-2-hydroxy-3-((2-(morpholine-4-carboxamido)ethyl)amino)propoxy)phenyl)propanoate


  • Catalogue No.:PA 12 1441018

  • CAS :

    133242-29-2

  • Molecular Formula : C25H39N3O8

  • Molecular Weight : 509.6

stdClass Object
(
    [pname] => Isopropyl (R)-3-(4-(2-hydroxy-3-((2-(morpholine-4-carboxamido)ethyl)amino)propoxy)phenyl)propanoate
    [catalogue_number] => PA 12 1441019
    [category_ids] => ,123,81,78,75,76,82,
    [chemical_name] => 
    [weight] => 437.54
    [form] => C22H35N3O6
    [cas] => NA
    [pslug] => isopropyl-r-3-4-2-hydroxy-3-2-morpholine-4-carboxamido-ethyl-amino-propoxy-phenyl-propanoate-pa121441019
    [latest_product] => 0
    [linkproducts] => 0
    [offers_id] => 
    [offers_name] => 
    [offers_status] => 
    [offers_start_date] => 
    [offers_end_date] => 
    [pageview] => 
    [offers_slug] => 
    [offers_product_id] => 
    [offers_product_code] => 
    [offers_master_id] => 
    [offer_percentage] => 
    [offers_product_main_cat] => 
)
PA 12 1441019
PA 12 1441019

Isopropyl (R)-3-(4-(2-hydroxy-3-((2-(morpholine-4-carboxamido)ethyl)amino)propoxy)phenyl)propanoate


  • Catalogue No.:PA 12 1441019

  • CAS :

    NA

  • Molecular Formula : C22H35N3O6

  • Molecular Weight : 437.54

stdClass Object
(
    [pname] => (2,2-Dimethyl-1,3-dioxolan-4-yl)methyl 3-(4-(2-hydroxy-3-((2-(morpholine-4-carboxamido)ethyl)amino)propoxy)phenyl)propanoate Hydrochloride
    [catalogue_number] => PA 12 1441020
    [category_ids] => ,123,81,78,75,76,82,
    [chemical_name] => 
    [weight] => 546.06
    [form] => C25H40ClN3O8
    [cas] => 1253907-79-7
    [pslug] => 1253907-79-7-2-2-dimethyl-1-3-dioxolan-4-yl-methyl-3-4-2-hydroxy-3-2-morpholine-4-carboxamido-ethyl-amino-propoxy-phenyl-propanoate-hydrochloride-pa121441020
    [latest_product] => 0
    [linkproducts] => 0
    [offers_id] => 
    [offers_name] => 
    [offers_status] => 
    [offers_start_date] => 
    [offers_end_date] => 
    [pageview] => 
    [offers_slug] => 
    [offers_product_id] => 
    [offers_product_code] => 
    [offers_master_id] => 
    [offer_percentage] => 
    [offers_product_main_cat] => 
)
PA 12 1441020
PA 12 1441020

(2,2-Dimethyl-1,3-dioxolan-4-yl)methyl 3-(4-(2-hydroxy-3-((2-(morpholine-4-carboxamido)ethyl)amino)propoxy)phenyl)propanoate Hydrochloride


  • Catalogue No.:PA 12 1441020

  • CAS :

    1253907-79-7

  • Molecular Formula : C25H40ClN3O8

  • Molecular Weight : 546.06

pharmaffiliates
-->