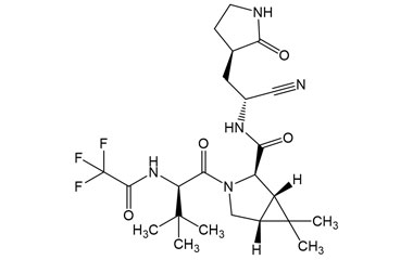
Nirmatrelvir

Fine chemicals - Nirmatrelvir is an antiviral medication developed by Pfizer which acts as an orally active 3C-like protease inhibitor. It is part of the nirmatrelvir/ritonavir combination sold under the brand name Paxlovid. Reference standards of Nirmatrelvir API,and its pharmacopeial, non pharmacopeial impurities, and stable isotopes are listed below.

stdClass Object
(
    [pname] => Nirmatrelvir
    [catalogue_number] => PA 14 1360000
    [category_ids] => ,75,76,78,70,82,
    [chemical_name] => 
    [weight] => 499.54
    [form] => C23H32F3N5O4
    [cas] => 2628280-40-8
    [pslug] => 2628280-40-8-nirmatrelvir-api-pa141360000
    [latest_product] => 0
    [linkproducts] => 0
    [offers_id] => 
    [offers_name] => 
    [offers_status] => 
    [offers_start_date] => 
    [offers_end_date] => 
    [pageview] => 
    [offers_slug] => 
    [offers_product_id] => 
    [offers_product_code] => 
    [offers_master_id] => 
    [offer_percentage] => 
    [offers_product_main_cat] => 
)
PA 14 1360000
PA 14 1360000

Nirmatrelvir


  • Catalogue No.:PA 14 1360000

  • CAS :

    2628280-40-8

  • Molecular Formula : C23H32F3N5O4

  • Molecular Weight : 499.54

stdClass Object
(
    [pname] => (S)-2-Amino-3-((S)-2-oxopyrrolidin-3-yl)propanamide Hydrochloride
    [catalogue_number] => PA 14 1361000
    [category_ids] => ,75,76,78,70,82,
    [chemical_name] => 
    [weight] => 207.66
    [form] => C7H14ClN3O2
    [cas] => 2628280-48-6
    [pslug] => 2628280-48-6-s-2-amino-3-s-2-oxopyrrolidin-3-yl-propanamide-hydrochloride-pa141361000
    [latest_product] => 0
    [linkproducts] => 0
    [offers_id] => 
    [offers_name] => 
    [offers_status] => 
    [offers_start_date] => 
    [offers_end_date] => 
    [pageview] => 
    [offers_slug] => 
    [offers_product_id] => 
    [offers_product_code] => 
    [offers_master_id] => 
    [offer_percentage] => 
    [offers_product_main_cat] => 
)
PA 14 1361000
PA 14 1361000

(S)-2-Amino-3-((S)-2-oxopyrrolidin-3-yl)propanamide Hydrochloride


  • Catalogue No.:PA 14 1361000

  • CAS :

    2628280-48-6

  • Molecular Formula : C7H14ClN3O2

  • Molecular Weight : 207.66

stdClass Object
(
    [pname] => (1R,2S,5S)-N-((S)-1-Amino-1-oxo-3-((S)-2-oxopyrrolidin-3-yl)propan-2-yl)-3-((S)-3,3-dimethyl-2-(2,2,2-trifluoroacetamido)butanoyl)-6,6-dimethyl-3-azabicyclo[3.1.0]hexane-2-carboxamide
    [catalogue_number] => PA 14 1361001
    [category_ids] => ,75,76,78,70,82,
    [chemical_name] => 
    [weight] => 517.55
    [form] => C23H34F3N5O5
    [cas] => 2755812-81-6
    [pslug] => 2755812-81-6-1r-2s-5s-n-s-1-amino-1-oxo-3-s-2-oxopyrrolidin-3-yl-propan-2-yl-3-s-3-3-dimethyl-2-2-2-2-trifluoroacetamido-butanoyl-6-6-dimethyl-3-azabicyclo-3-1-0-hexane-2-carboxamide-pa141361001
    [latest_product] => 0
    [linkproducts] => 0
    [offers_id] => 
    [offers_name] => 
    [offers_status] => 
    [offers_start_date] => 
    [offers_end_date] => 
    [pageview] => 
    [offers_slug] => 
    [offers_product_id] => 
    [offers_product_code] => 
    [offers_master_id] => 
    [offer_percentage] => 
    [offers_product_main_cat] => 
)
PA 14 1361001
PA 14 1361001

(1R,2S,5S)-N-((S)-1-Amino-1-oxo-3-((S)-2-oxopyrrolidin-3-yl)propan-2-yl)-3-((S)-3,3-dimethyl-2-(2,2,2-trifluoroacetamido)butanoyl)-6,6-dimethyl-3-azabicyclo[3.1.0]hexane-2-carboxamide


  • Catalogue No.:PA 14 1361001

  • CAS :

    2755812-81-6

  • Molecular Formula : C23H34F3N5O5

  • Molecular Weight : 517.55

stdClass Object
(
    [pname] => (1R,2S,5S)-N-((R)-1-Cyano-2-((S)-2-oxopyrrolidin-3-yl)ethyl)-3-((S)-3,3-dimethyl-2-(2,2,2-trifluoroacetamido)butanoyl)-6,6-dimethyl-3-azabicyclo[3.1.0]hexane-2-carboxamide
    [catalogue_number] => PA 14 1361002
    [category_ids] => ,75,76,78,70,82,
    [chemical_name] => 
    [weight] => 499.54
    [form] => C23H32F3N5O4
    [cas] => 2755812-41-8
    [pslug] => 2755812-41-8-1r-2s-5s-n-r-1-cyano-2-s-2-oxopyrrolidin-3-yl-ethyl-3-s-3-3-dimethyl-2-2-2-2-trifluoroacetamido-butanoyl-6-6-dimethyl-3-azabicyclo-3-1-0-hexane-2-carboxamide-pa141361002
    [latest_product] => 0
    [linkproducts] => 0
    [offers_id] => 
    [offers_name] => 
    [offers_status] => 
    [offers_start_date] => 
    [offers_end_date] => 
    [pageview] => 
    [offers_slug] => 
    [offers_product_id] => 
    [offers_product_code] => 
    [offers_master_id] => 
    [offer_percentage] => 
    [offers_product_main_cat] => 
)
PA 14 1361002
PA 14 1361002

(1R,2S,5S)-N-((R)-1-Cyano-2-((S)-2-oxopyrrolidin-3-yl)ethyl)-3-((S)-3,3-dimethyl-2-(2,2,2-trifluoroacetamido)butanoyl)-6,6-dimethyl-3-azabicyclo[3.1.0]hexane-2-carboxamide


  • Catalogue No.:PA 14 1361002

  • CAS :

    2755812-41-8

  • Molecular Formula : C23H32F3N5O4

  • Molecular Weight : 499.54

stdClass Object
(
    [pname] => (S)-2-((1R,2S,5S)-3-((S)-3,3-Dimethyl-2-(2,2,2-trifluoroacetamido)butanoyl)-6,6-dimethyl-3-azabicyclo[3.1.0]hexane-2-carboxamido)-3-((S)-2-oxopyrrolidin-3-yl)propanoic Acid
    [catalogue_number] => PA 14 1361003
    [category_ids] => ,75,76,78,70,82,
    [chemical_name] => 
    [weight] => 518.53
    [form] => C23H33F3N4O6
    [cas] => 3057189-15-5
    [pslug] => 3057189-15-5-s-2-1r-2s-5s-3-s-3-3-dimethyl-2-2-2-2-trifluoroacetamido-butanoyl-6-6-dimethyl-3-azabicyclo-3-1-0-hexane-2-carboxamido-3-s-2-oxopyrrolidin-3-yl-propanoic-acid-pa141361003
    [latest_product] => 0
    [linkproducts] => 0
    [offers_id] => 
    [offers_name] => 
    [offers_status] => 
    [offers_start_date] => 
    [offers_end_date] => 
    [pageview] => 
    [offers_slug] => 
    [offers_product_id] => 
    [offers_product_code] => 
    [offers_master_id] => 
    [offer_percentage] => 
    [offers_product_main_cat] => 
)
PA 14 1361003
PA 14 1361003

(S)-2-((1R,2S,5S)-3-((S)-3,3-Dimethyl-2-(2,2,2-trifluoroacetamido)butanoyl)-6,6-dimethyl-3-azabicyclo[3.1.0]hexane-2-carboxamido)-3-((S)-2-oxopyrrolidin-3-yl)propanoic Acid


  • Catalogue No.:PA 14 1361003

  • CAS :

    3057189-15-5

  • Molecular Formula : C23H33F3N4O6

  • Molecular Weight : 518.53

stdClass Object
(
    [pname] => Methyl (S)-2-((1R,2S,5S)-3-((S)-3,3-dimethyl-2-(2,2,2-trifluoroacetamido)butanoyl)-6,6-dimethyl-3-azabicyclo[3.1.0]hexane-2-carboxamido)-3-((S)-2-oxopyrrolidin-3-yl)propanoate
    [catalogue_number] => PA 14 1361004
    [category_ids] => ,75,76,78,70,82,
    [chemical_name] => 
    [weight] => 532.56
    [form] => C24H35F3N4O6
    [cas] => 2879641-46-8
    [pslug] => 2879641-46-8-methyl-s-2-1r-2s-5s-3-s-3-3-dimethyl-2-2-2-2-trifluoroacetamido-butanoyl-6-6-dimethyl-3-azabicyclo-3-1-0-hexane-2-carboxamido-3-s-2-oxopyrrolidin-3-yl-propanoate-pa141361004
    [latest_product] => 0
    [linkproducts] => 0
    [offers_id] => 
    [offers_name] => 
    [offers_status] => 
    [offers_start_date] => 
    [offers_end_date] => 
    [pageview] => 
    [offers_slug] => 
    [offers_product_id] => 
    [offers_product_code] => 
    [offers_master_id] => 
    [offer_percentage] => 
    [offers_product_main_cat] => 
)
PA 14 1361004
PA 14 1361004

Methyl (S)-2-((1R,2S,5S)-3-((S)-3,3-dimethyl-2-(2,2,2-trifluoroacetamido)butanoyl)-6,6-dimethyl-3-azabicyclo[3.1.0]hexane-2-carboxamido)-3-((S)-2-oxopyrrolidin-3-yl)propanoate


  • Catalogue No.:PA 14 1361004

  • CAS :

    2879641-46-8

  • Molecular Formula : C24H35F3N4O6

  • Molecular Weight : 532.56

stdClass Object
(
    [pname] => N-((S)-1-((1R,2S,5S)-2-Cyano-6,6-dimethyl-3-azabicyclo[3.1.0]hexan-3-yl)-3,3-dimethyl-1-oxobutan-2-yl)-2,2,2-trifluoroacetamide
    [catalogue_number] => PA 14 1361005
    [category_ids] => ,75,76,78,70,82,
    [chemical_name] => 
    [weight] => 345.37
    [form] => C16H22F3N3O2
    [cas] => 2801608-29-5
    [pslug] => 2801608-29-5-n-s-1-1r-2s-5s-2-cyano-6-6-dimethyl-3-azabicyclo-3-1-0-hexan-3-yl-3-3-dimethyl-1-oxobutan-2-yl-2-2-2-trifluoroacetamide-pa141361005
    [latest_product] => 0
    [linkproducts] => 0
    [offers_id] => 
    [offers_name] => 
    [offers_status] => 
    [offers_start_date] => 
    [offers_end_date] => 
    [pageview] => 
    [offers_slug] => 
    [offers_product_id] => 
    [offers_product_code] => 
    [offers_master_id] => 
    [offer_percentage] => 
    [offers_product_main_cat] => 
)
PA 14 1361005
PA 14 1361005

N-((S)-1-((1R,2S,5S)-2-Cyano-6,6-dimethyl-3-azabicyclo[3.1.0]hexan-3-yl)-3,3-dimethyl-1-oxobutan-2-yl)-2,2,2-trifluoroacetamide


  • Catalogue No.:PA 14 1361005

  • CAS :

    2801608-29-5

  • Molecular Formula : C16H22F3N3O2

  • Molecular Weight : 345.37

stdClass Object
(
    [pname] =>  (2S)-3-(2-chloropropan-2-yl)-N-((S)-1-cyano-2-((S)-2-oxopyrrolidin-3-yl)ethyl)-1-((S)-3,3-dimethyl-2-(2,2,2-trifluoroacetamido)butanoyl)pyrrolidine-2-carboxamide
    [catalogue_number] => PA 14 1361006
    [category_ids] => ,75,76,78,70,82,
    [chemical_name] => 
    [weight] => 535.99
    [form] => C23H33ClF3N5O4
    [cas] => NA
    [pslug] => 2s-3-2-chloropropan-2-yl-n-s-1-cyano-2-s-2-oxopyrrolidin-3-yl-ethyl-1-s-3-3-dimethyl-2-2-2-2-trifluoroacetamido-butanoyl-pyrrolidine-2-carboxamide-pa141361006
    [latest_product] => 0
    [linkproducts] => 0
    [offers_id] => 
    [offers_name] => 
    [offers_status] => 
    [offers_start_date] => 
    [offers_end_date] => 
    [pageview] => 
    [offers_slug] => 
    [offers_product_id] => 
    [offers_product_code] => 
    [offers_master_id] => 
    [offer_percentage] => 
    [offers_product_main_cat] => 
)
PA 14 1361006
PA 14 1361006

 (2S)-3-(2-chloropropan-2-yl)-N-((S)-1-cyano-2-((S)-2-oxopyrrolidin-3-yl)ethyl)-1-((S)-3,3-dimethyl-2-(2,2,2-trifluoroacetamido)butanoyl)pyrrolidine-2-carboxamide


  • Catalogue No.:PA 14 1361006

  • CAS :

    NA

  • Molecular Formula : C23H33ClF3N5O4

  • Molecular Weight : 535.99

stdClass Object
(
    [pname] => Isopropyl (S)-2-((1R,2S,5S)-3-((S)-3,3-dimethyl-2-(2,2,2-trifluoroacetamido)butanoyl)-6,6-dimethyl-3-azabicyclo[3.1.0]hexane-2-carboxamido)-3-((S)-2-oxopyrrolidin-3-yl)propanoate
    [catalogue_number] => PA 14 1361007
    [category_ids] => ,75,76,78,70,82,
    [chemical_name] => 
    [weight] => 560.62
    [form] => C26H39F3N4O6
    [cas] => NA
    [pslug] => isopropyl-s-2-1r-2s-5s-3-s-3-3-dimethyl-2-2-2-2-trifluoroacetamido-butanoyl-6-6-dimethyl-3-azabicyclo-3-1-0-hexane-2-carboxamido-3-s-2-oxopyrrolidin-3-yl-propanoate-pa141361007
    [latest_product] => 0
    [linkproducts] => 0
    [offers_id] => 
    [offers_name] => 
    [offers_status] => 
    [offers_start_date] => 
    [offers_end_date] => 
    [pageview] => 
    [offers_slug] => 
    [offers_product_id] => 
    [offers_product_code] => 
    [offers_master_id] => 
    [offer_percentage] => 
    [offers_product_main_cat] => 
)
PA 14 1361007
PA 14 1361007

Isopropyl (S)-2-((1R,2S,5S)-3-((S)-3,3-dimethyl-2-(2,2,2-trifluoroacetamido)butanoyl)-6,6-dimethyl-3-azabicyclo[3.1.0]hexane-2-carboxamido)-3-((S)-2-oxopyrrolidin-3-yl)propanoate


  • Catalogue No.:PA 14 1361007

  • CAS :

    NA

  • Molecular Formula : C26H39F3N4O6

  • Molecular Weight : 560.62

stdClass Object
(
    [pname] => (2S,3S)-3-(2-Chloropropan-2-yl)-N-((S)-1-cyano-2-((S)-2-oxopyrrolidin-3-yl)ethyl)-1-((S)-3,3-dimethyl-2-(2,2,2-trifluoroacetamido)butanoyl)pyrrolidine-2-carboxamide
    [catalogue_number] => PA 14 1361008
    [category_ids] => ,75,76,78,70,82,
    [chemical_name] => 
    [weight] => 535.99
    [form] => C23H33ClF3N5O4
    [cas] => NA
    [pslug] => 2s-3s-3-2-chloropropan-2-yl-n-s-1-cyano-2-s-2-oxopyrrolidin-3-yl-ethyl-1-s-3-3-dimethyl-2-2-2-2-trifluoroacetamido-butanoyl-pyrrolidine-2-carboxamide-pa141361008
    [latest_product] => 0
    [linkproducts] => 0
    [offers_id] => 
    [offers_name] => 
    [offers_status] => 
    [offers_start_date] => 
    [offers_end_date] => 
    [pageview] => 
    [offers_slug] => 
    [offers_product_id] => 
    [offers_product_code] => 
    [offers_master_id] => 
    [offer_percentage] => 
    [offers_product_main_cat] => 
)
PA 14 1361008
PA 14 1361008

(2S,3S)-3-(2-Chloropropan-2-yl)-N-((S)-1-cyano-2-((S)-2-oxopyrrolidin-3-yl)ethyl)-1-((S)-3,3-dimethyl-2-(2,2,2-trifluoroacetamido)butanoyl)pyrrolidine-2-carboxamide


  • Catalogue No.:PA 14 1361008

  • CAS :

    NA

  • Molecular Formula : C23H33ClF3N5O4

  • Molecular Weight : 535.99

stdClass Object
(
    [pname] => Nirmatrelvir-D9
    [catalogue_number] => PA STI 089311
    [category_ids] => ,98,82,78,76,75,70,
    [chemical_name] => 
    [weight] => 508.59
    [form] => C23H23D9F3N5O4
    [cas] => 2861202-76-6
    [pslug] => 2861202-76-6-nirmatrelvir-d9-pasti089311
    [latest_product] => 0
    [linkproducts] => 0
    [offers_id] => 
    [offers_name] => 
    [offers_status] => 
    [offers_start_date] => 
    [offers_end_date] => 
    [pageview] => 
    [offers_slug] => 
    [offers_product_id] => 
    [offers_product_code] => 
    [offers_master_id] => 
    [offer_percentage] => 
    [offers_product_main_cat] => 
)
PA STI 089311
PA STI 089311

Nirmatrelvir-D9


  • Catalogue No.:PA STI 089311

  • CAS :

    2861202-76-6

  • Molecular Formula : C23H23D9F3N5O4

  • Molecular Weight : 508.59

stdClass Object
(
    [pname] => (R)-2-Amino-3-((R)-2-oxopyrrolidin-3-yl)propanamide Hydrochloride
    [catalogue_number] => PA 14 1361009
    [category_ids] => ,75,76,78,70,82,
    [chemical_name] => 
    [weight] => 207.66
    [form] => C7H14ClN3O2
    [cas] => 2889532-79-8
    [pslug] => 2889532-79-8-r-2-amino-3-r-2-oxopyrrolidin-3-yl-propanamide-hydrochloride-pa141361009
    [latest_product] => 0
    [linkproducts] => 0
    [offers_id] => 
    [offers_name] => 
    [offers_status] => 
    [offers_start_date] => 
    [offers_end_date] => 
    [pageview] => 
    [offers_slug] => 
    [offers_product_id] => 
    [offers_product_code] => 
    [offers_master_id] => 
    [offer_percentage] => 
    [offers_product_main_cat] => 
)
PA 14 1361009
PA 14 1361009

(R)-2-Amino-3-((R)-2-oxopyrrolidin-3-yl)propanamide Hydrochloride


  • Catalogue No.:PA 14 1361009

  • CAS :

    2889532-79-8

  • Molecular Formula : C7H14ClN3O2

  • Molecular Weight : 207.66

stdClass Object
(
    [pname] => Methyl (1R,2R,5S)-6,6-dimethyl-3-azabicyclo[3.1.0]hexane-2-carboxylate
    [catalogue_number] => PA 14 1361010
    [category_ids] => ,75,76,78,70,82,
    [chemical_name] => 
    [weight] => 169.22
    [form] => C9H15NO2
    [cas] => 1932411-98-7
    [pslug] => 1932411-98-7-methyl-1r-2r-5s-6-6-dimethyl-3-azabicyclo-3-1-0-hexane-2-carboxylate-pa141361010
    [latest_product] => 0
    [linkproducts] => 0
    [offers_id] => 
    [offers_name] => 
    [offers_status] => 
    [offers_start_date] => 
    [offers_end_date] => 
    [pageview] => 
    [offers_slug] => 
    [offers_product_id] => 
    [offers_product_code] => 
    [offers_master_id] => 
    [offer_percentage] => 
    [offers_product_main_cat] => 
)
PA 14 1361010
PA 14 1361010

Methyl (1R,2R,5S)-6,6-dimethyl-3-azabicyclo[3.1.0]hexane-2-carboxylate


  • Catalogue No.:PA 14 1361010

  • CAS :

    1932411-98-7

  • Molecular Formula : C9H15NO2

  • Molecular Weight : 169.22

stdClass Object
(
    [pname] => (1R,2S,5S)-N-((S)-1-Cyano-2-((S)-2-oxopyrrolidin-3-yl)ethyl)-3-((S)-3,3-dimethyl-2-(2,2,2-trifluoroacetamido)butanoyl)-6,6-dimethyl-N-(2,2,2-trifluoroacetyl)-3-azabicyclo[3.1.0]hexane-2-carboxamide
    [catalogue_number] => PA 14 1361011
    [category_ids] => ,75,76,78,70,82,
    [chemical_name] => 
    [weight] => 595.54
    [form] => C25H31F6N5O5
    [cas] => NA
    [pslug] => 1r-2s-5s-n-s-1-cyano-2-s-2-oxopyrrolidin-3-yl-ethyl-3-s-3-3-dimethyl-2-2-2-2-trifluoroacetamido-butanoyl-6-6-dimethyl-n-2-2-2-trifluoroacetyl-3-azabicyclo-3-1-0-hexane-2-carboxamide-pa141361011
    [latest_product] => 0
    [linkproducts] => 0
    [offers_id] => 
    [offers_name] => 
    [offers_status] => 
    [offers_start_date] => 
    [offers_end_date] => 
    [pageview] => 
    [offers_slug] => 
    [offers_product_id] => 
    [offers_product_code] => 
    [offers_master_id] => 
    [offer_percentage] => 
    [offers_product_main_cat] => 
)
PA 14 1361011
PA 14 1361011

(1R,2S,5S)-N-((S)-1-Cyano-2-((S)-2-oxopyrrolidin-3-yl)ethyl)-3-((S)-3,3-dimethyl-2-(2,2,2-trifluoroacetamido)butanoyl)-6,6-dimethyl-N-(2,2,2-trifluoroacetyl)-3-azabicyclo[3.1.0]hexane-2-carboxamide


  • Catalogue No.:PA 14 1361011

  • CAS :

    NA

  • Molecular Formula : C25H31F6N5O5

  • Molecular Weight : 595.54

stdClass Object
(
    [pname] => (1S,2R,5R)-N-((S)-1-Cyano-2-((S)-2-oxopyrrolidin-3-yl)ethyl)-3-((R)-3,3-dimethyl-2-(2,2,2-trifluoroacetamido)butanoyl)-6,6-dimethyl-3-azabicyclo[3.1.0]hexane-2-carboxamide
    [catalogue_number] => PA 14 1361012
    [category_ids] => ,75,76,78,70,82,
    [chemical_name] => 
    [weight] => 499.54
    [form] => C23H32F3N5O4
    [cas] => NA
    [pslug] => 1s-2r-5r-n-s-1-cyano-2-s-2-oxopyrrolidin-3-yl-ethyl-3-r-3-3-dimethyl-2-2-2-2-trifluoroacetamido-butanoyl-6-6-dimethyl-3-azabicyclo-3-1-0-hexane-2-carboxamide-pa141361012
    [latest_product] => 0
    [linkproducts] => 0
    [offers_id] => 
    [offers_name] => 
    [offers_status] => 
    [offers_start_date] => 
    [offers_end_date] => 
    [pageview] => 
    [offers_slug] => 
    [offers_product_id] => 
    [offers_product_code] => 
    [offers_master_id] => 
    [offer_percentage] => 
    [offers_product_main_cat] => 
)
PA 14 1361012
PA 14 1361012

(1S,2R,5R)-N-((S)-1-Cyano-2-((S)-2-oxopyrrolidin-3-yl)ethyl)-3-((R)-3,3-dimethyl-2-(2,2,2-trifluoroacetamido)butanoyl)-6,6-dimethyl-3-azabicyclo[3.1.0]hexane-2-carboxamide


  • Catalogue No.:PA 14 1361012

  • CAS :

    NA

  • Molecular Formula : C23H32F3N5O4

  • Molecular Weight : 499.54

stdClass Object
(
    [pname] => (1S,2R,5R)-N-((S)-1-Cyano-2-((S)-2-oxopyrrolidin-3-yl)ethyl)-3-((S)-3,3-dimethyl-2-(2,2,2-trifluoroacetamido)butanoyl)-6,6-dimethyl-3-azabicyclo[3.1.0]hexane-2-carboxamide
    [catalogue_number] => PA 14 1361013
    [category_ids] => ,75,76,78,70,82,
    [chemical_name] => 
    [weight] => 499.54
    [form] => C23H32F3N5O4
    [cas] => NA
    [pslug] => 1s-2r-5r-n-s-1-cyano-2-s-2-oxopyrrolidin-3-yl-ethyl-3-s-3-3-dimethyl-2-2-2-2-trifluoroacetamido-butanoyl-6-6-dimethyl-3-azabicyclo-3-1-0-hexane-2-carboxamide-pa141361013
    [latest_product] => 0
    [linkproducts] => 0
    [offers_id] => 
    [offers_name] => 
    [offers_status] => 
    [offers_start_date] => 
    [offers_end_date] => 
    [pageview] => 
    [offers_slug] => 
    [offers_product_id] => 
    [offers_product_code] => 
    [offers_master_id] => 
    [offer_percentage] => 
    [offers_product_main_cat] => 
)
PA 14 1361013
PA 14 1361013

(1S,2R,5R)-N-((S)-1-Cyano-2-((S)-2-oxopyrrolidin-3-yl)ethyl)-3-((S)-3,3-dimethyl-2-(2,2,2-trifluoroacetamido)butanoyl)-6,6-dimethyl-3-azabicyclo[3.1.0]hexane-2-carboxamide


  • Catalogue No.:PA 14 1361013

  • CAS :

    NA

  • Molecular Formula : C23H32F3N5O4

  • Molecular Weight : 499.54

stdClass Object
(
    [pname] => (1R,2S,5S)-3-((S)-2-Amino-3,3-dimethylbutanoyl)-N-((S)-1-cyano-2-((S)-2-oxopyrrolidin-3-yl)ethyl)-6,6-dimethyl-3-azabicyclo[3.1.0]hexane-2-carboxamide
    [catalogue_number] => PA 14 1361014
    [category_ids] => ,82,76,75,70,78,
    [chemical_name] => 
    [weight] => 403.53
    [form] => C21H33N5O3
    [cas] => 2883654-28-0
    [pslug] => 2883654-28-0-1r-2s-5s-3-s-2-amino-3-3-dimethylbutanoyl-n-s-1-cyano-2-s-2-oxopyrrolidin-3-yl-ethyl-6-6-dimethyl-3-azabicyclo-3-1-0-hexane-2-carboxamide-pa141361014
    [latest_product] => 0
    [linkproducts] => 0
    [offers_id] => 
    [offers_name] => 
    [offers_status] => 
    [offers_start_date] => 
    [offers_end_date] => 
    [pageview] => 
    [offers_slug] => 
    [offers_product_id] => 
    [offers_product_code] => 
    [offers_master_id] => 
    [offer_percentage] => 
    [offers_product_main_cat] => 
)
PA 14 1361014
PA 14 1361014

(1R,2S,5S)-3-((S)-2-Amino-3,3-dimethylbutanoyl)-N-((S)-1-cyano-2-((S)-2-oxopyrrolidin-3-yl)ethyl)-6,6-dimethyl-3-azabicyclo[3.1.0]hexane-2-carboxamide


  • Catalogue No.:PA 14 1361014

  • CAS :

    2883654-28-0

  • Molecular Formula : C21H33N5O3

  • Molecular Weight : 403.53

stdClass Object
(
    [pname] => (1R,2S,5S)-3-((S)-2-((tert-Butoxycarbonyl)amino)-3,3-dimethylbutanoyl)-6,6-dimethyl-3-azabicyclo[3.1.0]hexane-2-carboxylic Acid
    [catalogue_number] => PA 14 1361015
    [category_ids] => ,75,76,78,70,82,
    [chemical_name] => 
    [weight] => 368.47
    [form] => C19H32N2O5
    [cas] => 394735-37-6
    [pslug] => 394735-37-6-1r-2s-5s-3-s-2-tert-butoxycarbonyl-amino-3-3-dimethylbutanoyl-6-6-dimethyl-3-azabicyclo-3-1-0-hexane-2-carboxylic-acid-pa141361015
    [latest_product] => 0
    [linkproducts] => 0
    [offers_id] => 
    [offers_name] => 
    [offers_status] => 
    [offers_start_date] => 
    [offers_end_date] => 
    [pageview] => 
    [offers_slug] => 
    [offers_product_id] => 
    [offers_product_code] => 
    [offers_master_id] => 
    [offer_percentage] => 
    [offers_product_main_cat] => 
)
PA 14 1361015
PA 14 1361015

(1R,2S,5S)-3-((S)-2-((tert-Butoxycarbonyl)amino)-3,3-dimethylbutanoyl)-6,6-dimethyl-3-azabicyclo[3.1.0]hexane-2-carboxylic Acid


  • Catalogue No.:PA 14 1361015

  • CAS :

    394735-37-6

  • Molecular Formula : C19H32N2O5

  • Molecular Weight : 368.47

stdClass Object
(
    [pname] => (1R,2S,5S)-3-((S)-3,3-Dimethyl-2-(2,2,2-trifluoroacetamido)butanoyl)-6,6-dimethyl-3-azabicyclo[3.1.0]hexane-2-carboxylic Acid
    [catalogue_number] => PA 14 1361016
    [category_ids] => ,75,76,78,70,82,
    [chemical_name] => 
    [weight] => 364.37
    [form] => C16H23F3N2O4
    [cas] => 2755812-45-2
    [pslug] => 2755812-45-2-1r-2s-5s-3-s-3-3-dimethyl-2-2-2-2-trifluoroacetamido-butanoyl-6-6-dimethyl-3-azabicyclo-3-1-0-hexane-2-carboxylic-acid-pa141361016
    [latest_product] => 0
    [linkproducts] => 0
    [offers_id] => 
    [offers_name] => 
    [offers_status] => 
    [offers_start_date] => 
    [offers_end_date] => 
    [pageview] => 
    [offers_slug] => 
    [offers_product_id] => 
    [offers_product_code] => 
    [offers_master_id] => 
    [offer_percentage] => 
    [offers_product_main_cat] => 
)
PA 14 1361016
PA 14 1361016

(1R,2S,5S)-3-((S)-3,3-Dimethyl-2-(2,2,2-trifluoroacetamido)butanoyl)-6,6-dimethyl-3-azabicyclo[3.1.0]hexane-2-carboxylic Acid


  • Catalogue No.:PA 14 1361016

  • CAS :

    2755812-45-2

  • Molecular Formula : C16H23F3N2O4

  • Molecular Weight : 364.37

stdClass Object
(
    [pname] => (1R,2S,5S)-3-((R)-3,3-Dimethyl-2-(2,2,2-trifluoroacetamido)butanoyl)-6,6-dimethyl-3-azabicyclo[3.1.0]hexane-2-carboxylic Acid
    [catalogue_number] => PA 14 1361017
    [category_ids] => ,75,76,78,70,82,
    [chemical_name] => 
    [weight] => 364.37
    [form] => C16H23F3N2O4
    [cas] => NA
    [pslug] => 1r-2s-5s-3-r-3-3-dimethyl-2-2-2-2-trifluoroacetamido-butanoyl-6-6-dimethyl-3-azabicyclo-3-1-0-hexane-2-carboxylic-acid-pa141361017
    [latest_product] => 0
    [linkproducts] => 0
    [offers_id] => 
    [offers_name] => 
    [offers_status] => 
    [offers_start_date] => 
    [offers_end_date] => 
    [pageview] => 
    [offers_slug] => 
    [offers_product_id] => 
    [offers_product_code] => 
    [offers_master_id] => 
    [offer_percentage] => 
    [offers_product_main_cat] => 
)
PA 14 1361017
PA 14 1361017

(1R,2S,5S)-3-((R)-3,3-Dimethyl-2-(2,2,2-trifluoroacetamido)butanoyl)-6,6-dimethyl-3-azabicyclo[3.1.0]hexane-2-carboxylic Acid


  • Catalogue No.:PA 14 1361017

  • CAS :

    NA

  • Molecular Formula : C16H23F3N2O4

  • Molecular Weight : 364.37

stdClass Object
(
    [pname] => Methyl (S)-2-amino-3-((S)-2-oxopyrrolidin-3-yl)propanoate Hydrochloride
    [catalogue_number] => PA 14 1361018
    [category_ids] => ,75,76,78,70,82,
    [chemical_name] => 
    [weight] => 222.67
    [form] => C8H15ClN2O3
    [cas] => 1429218-41-6
    [pslug] => 1429218-41-6-methyl-s-2-amino-3-s-2-oxopyrrolidin-3-yl-propanoate-hydrochloride-pa141361018
    [latest_product] => 0
    [linkproducts] => 1
    [offers_id] => 
    [offers_name] => 
    [offers_status] => 
    [offers_start_date] => 
    [offers_end_date] => 
    [pageview] => 
    [offers_slug] => 
    [offers_product_id] => 
    [offers_product_code] => 
    [offers_master_id] => 
    [offer_percentage] => 
    [offers_product_main_cat] => 
)
PA 14 1361018
PA 14 1361018

Methyl (S)-2-amino-3-((S)-2-oxopyrrolidin-3-yl)propanoate Hydrochloride


  • Catalogue No.:PA 14 1361018

  • CAS :

    1429218-41-6

  • Molecular Formula : C8H15ClN2O3

  • Molecular Weight : 222.67

stdClass Object
(
    [pname] => Methyl (R)-2-amino-3-((R)-2-oxopyrrolidin-3-yl)propanoate Hydrochloride
    [catalogue_number] => PA 14 1361019
    [category_ids] => ,75,76,78,70,82,
    [chemical_name] => 
    [weight] => 222.67
    [form] => C8H15ClN2O3
    [cas] => 2738028-87-8
    [pslug] => 2738028-87-8-methyl-r-2-amino-3-r-2-oxopyrrolidin-3-yl-propanoate-hydrochloride-pa141361019
    [latest_product] => 0
    [linkproducts] => 1
    [offers_id] => 
    [offers_name] => 
    [offers_status] => 
    [offers_start_date] => 
    [offers_end_date] => 
    [pageview] => 
    [offers_slug] => 
    [offers_product_id] => 
    [offers_product_code] => 
    [offers_master_id] => 
    [offer_percentage] => 
    [offers_product_main_cat] => 
)
PA 14 1361019
PA 14 1361019

Methyl (R)-2-amino-3-((R)-2-oxopyrrolidin-3-yl)propanoate Hydrochloride


  • Catalogue No.:PA 14 1361019

  • CAS :

    2738028-87-8

  • Molecular Formula : C8H15ClN2O3

  • Molecular Weight : 222.67

stdClass Object
(
    [pname] => (S)-2-Amino-3-((R)-2-oxopyrrolidin-3-yl)propanamide Hydrochloride
    [catalogue_number] => PA 14 1361020
    [category_ids] => ,75,76,78,70,82,
    [chemical_name] => 
    [weight] => 207.66
    [form] => C7H14ClN3O2
    [cas] => NA
    [pslug] => s-2-amino-3-r-2-oxopyrrolidin-3-yl-propanamide-hydrochloride-pa141361020
    [latest_product] => 0
    [linkproducts] => 0
    [offers_id] => 
    [offers_name] => 
    [offers_status] => 
    [offers_start_date] => 
    [offers_end_date] => 
    [pageview] => 
    [offers_slug] => 
    [offers_product_id] => 
    [offers_product_code] => 
    [offers_master_id] => 
    [offer_percentage] => 
    [offers_product_main_cat] => 
)
PA 14 1361020
PA 14 1361020

(S)-2-Amino-3-((R)-2-oxopyrrolidin-3-yl)propanamide Hydrochloride


  • Catalogue No.:PA 14 1361020

  • CAS :

    NA

  • Molecular Formula : C7H14ClN3O2

  • Molecular Weight : 207.66

stdClass Object
(
    [pname] => (R)-2-Amino-3-((S)-2-oxopyrrolidin-3-yl)propanamide Hydrochloride
    [catalogue_number] => PA 14 1361021
    [category_ids] => ,75,76,78,70,82,
    [chemical_name] => 
    [weight] => 207.66
    [form] => C7H14ClN3O2
    [cas] => NA
    [pslug] => r-2-amino-3-s-2-oxopyrrolidin-3-yl-propanamide-hydrochloride-pa141361021
    [latest_product] => 0
    [linkproducts] => 0
    [offers_id] => 
    [offers_name] => 
    [offers_status] => 
    [offers_start_date] => 
    [offers_end_date] => 
    [pageview] => 
    [offers_slug] => 
    [offers_product_id] => 
    [offers_product_code] => 
    [offers_master_id] => 
    [offer_percentage] => 
    [offers_product_main_cat] => 
)
PA 14 1361021
PA 14 1361021

(R)-2-Amino-3-((S)-2-oxopyrrolidin-3-yl)propanamide Hydrochloride


  • Catalogue No.:PA 14 1361021

  • CAS :

    NA

  • Molecular Formula : C7H14ClN3O2

  • Molecular Weight : 207.66

stdClass Object
(
    [pname] => (1R,2S,5S)-N-((R)-1-Cyano-2-((R)-2-oxopyrrolidin-3-yl)ethyl)-3-((S)-3,3-dimethyl-2-(2,2,2-trifluoroacetamido)butanoyl)-6,6-dimethyl-3-azabicyclo[3.1.0]hexane-2-carboxamide
    [catalogue_number] => PA 14 1361022
    [category_ids] => ,75,76,78,70,82,
    [chemical_name] => 
    [weight] => 499.54
    [form] => C23H32F3N5O4
    [cas] => NA
    [pslug] => 1r-2s-5s-n-r-1-cyano-2-r-2-oxopyrrolidin-3-yl-ethyl-3-s-3-3-dimethyl-2-2-2-2-trifluoroacetamido-butanoyl-6-6-dimethyl-3-azabicyclo-3-1-0-hexane-2-carboxamide-pa141361022
    [latest_product] => 0
    [linkproducts] => 0
    [offers_id] => 
    [offers_name] => 
    [offers_status] => 
    [offers_start_date] => 
    [offers_end_date] => 
    [pageview] => 
    [offers_slug] => 
    [offers_product_id] => 
    [offers_product_code] => 
    [offers_master_id] => 
    [offer_percentage] => 
    [offers_product_main_cat] => 
)
PA 14 1361022
PA 14 1361022

(1R,2S,5S)-N-((R)-1-Cyano-2-((R)-2-oxopyrrolidin-3-yl)ethyl)-3-((S)-3,3-dimethyl-2-(2,2,2-trifluoroacetamido)butanoyl)-6,6-dimethyl-3-azabicyclo[3.1.0]hexane-2-carboxamide


  • Catalogue No.:PA 14 1361022

  • CAS :

    NA

  • Molecular Formula : C23H32F3N5O4

  • Molecular Weight : 499.54

stdClass Object
(
    [pname] => (1R,2S,5S)-6,6-Dimethyl-3-azabicyclo[3.1.0]hexane-2-carbonitrile
    [catalogue_number] => PA 14 1361023
    [category_ids] => ,75,76,78,70,82,
    [chemical_name] => 
    [weight] => 136.2
    [form] => C8H12N2
    [cas] => 1037559-82-2
    [pslug] => 1037559-82-2-1r-2s-5s-6-6-dimethyl-3-azabicyclo-3-1-0-hexane-2-carbonitrile-pa141361023
    [latest_product] => 0
    [linkproducts] => 0
    [offers_id] => 
    [offers_name] => 
    [offers_status] => 
    [offers_start_date] => 
    [offers_end_date] => 
    [pageview] => 
    [offers_slug] => 
    [offers_product_id] => 
    [offers_product_code] => 
    [offers_master_id] => 
    [offer_percentage] => 
    [offers_product_main_cat] => 
)
PA 14 1361023
PA 14 1361023

(1R,2S,5S)-6,6-Dimethyl-3-azabicyclo[3.1.0]hexane-2-carbonitrile


  • Catalogue No.:PA 14 1361023

  • CAS :

    1037559-82-2

  • Molecular Formula : C8H12N2

  • Molecular Weight : 136.2

stdClass Object
(
    [pname] => (1S,2R,5R)-N-((R)-1-Cyano-2-((R)-2-oxopyrrolidin-3-yl)ethyl)-3-((R)-3,3-dimethyl-2-(2,2,2-trifluoroacetamido)butanoyl)-6,6-dimethyl-3-azabicyclo[3.1.0]hexane-2-carboxamide
    [catalogue_number] => PA 14 1361024
    [category_ids] => ,75,76,78,70,82,
    [chemical_name] => 
    [weight] => 499.54
    [form] => C23H32F3N5O4
    [cas] => NA
    [pslug] => 1s-2r-5r-n-r-1-cyano-2-r-2-oxopyrrolidin-3-yl-ethyl-3-r-3-3-dimethyl-2-2-2-2-trifluoroacetamido-butanoyl-6-6-dimethyl-3-azabicyclo-3-1-0-hexane-2-carboxamide-pa141361024
    [latest_product] => 0
    [linkproducts] => 0
    [offers_id] => 
    [offers_name] => 
    [offers_status] => 
    [offers_start_date] => 
    [offers_end_date] => 
    [pageview] => 
    [offers_slug] => 
    [offers_product_id] => 
    [offers_product_code] => 
    [offers_master_id] => 
    [offer_percentage] => 
    [offers_product_main_cat] => 
)
PA 14 1361024
PA 14 1361024

(1S,2R,5R)-N-((R)-1-Cyano-2-((R)-2-oxopyrrolidin-3-yl)ethyl)-3-((R)-3,3-dimethyl-2-(2,2,2-trifluoroacetamido)butanoyl)-6,6-dimethyl-3-azabicyclo[3.1.0]hexane-2-carboxamide


  • Catalogue No.:PA 14 1361024

  • CAS :

    NA

  • Molecular Formula : C23H32F3N5O4

  • Molecular Weight : 499.54

stdClass Object
(
    [pname] => (1R,2S,5S)-N-((S)-1-Cyano-2-((S)-2-oxopyrrolidin-3-yl)ethyl)-3-((R)-3,3-dimethyl-2-(2,2,2-trifluoroacetamido)butanoyl)-6,6-dimethyl-3-azabicyclo[3.1.0]hexane-2-carboxamide
    [catalogue_number] => PA 14 1361025
    [category_ids] => ,75,76,78,70,82,
    [chemical_name] => 
    [weight] => 499.54
    [form] => C23H32F3N5O4
    [cas] => NA
    [pslug] => 1r-2s-5s-n-s-1-cyano-2-s-2-oxopyrrolidin-3-yl-ethyl-3-r-3-3-dimethyl-2-2-2-2-trifluoroacetamido-butanoyl-6-6-dimethyl-3-azabicyclo-3-1-0-hexane-2-carboxamide-pa141361025
    [latest_product] => 0
    [linkproducts] => 0
    [offers_id] => 
    [offers_name] => 
    [offers_status] => 
    [offers_start_date] => 
    [offers_end_date] => 
    [pageview] => 
    [offers_slug] => 
    [offers_product_id] => 
    [offers_product_code] => 
    [offers_master_id] => 
    [offer_percentage] => 
    [offers_product_main_cat] => 
)
PA 14 1361025
PA 14 1361025

(1R,2S,5S)-N-((S)-1-Cyano-2-((S)-2-oxopyrrolidin-3-yl)ethyl)-3-((R)-3,3-dimethyl-2-(2,2,2-trifluoroacetamido)butanoyl)-6,6-dimethyl-3-azabicyclo[3.1.0]hexane-2-carboxamide


  • Catalogue No.:PA 14 1361025

  • CAS :

    NA

  • Molecular Formula : C23H32F3N5O4

  • Molecular Weight : 499.54

stdClass Object
(
    [pname] => (1R,2S,5S)-N-((S)-1-Cyano-2-((R)-2-oxopyrrolidin-3-yl)ethyl)-3-((S)-3,3-dimethyl-2-(2,2,2-trifluoroacetamido)butanoyl)-6,6-dimethyl-3-azabicyclo[3.1.0]hexane-2-carboxamide
    [catalogue_number] => PA 14 1361026
    [category_ids] => ,75,76,78,70,82,
    [chemical_name] => 
    [weight] => 499.54
    [form] => C23H32F3N5O4
    [cas] => NA
    [pslug] => 1r-2s-5s-n-s-1-cyano-2-r-2-oxopyrrolidin-3-yl-ethyl-3-s-3-3-dimethyl-2-2-2-2-trifluoroacetamido-butanoyl-6-6-dimethyl-3-azabicyclo-3-1-0-hexane-2-carboxamide-pa141361026
    [latest_product] => 0
    [linkproducts] => 0
    [offers_id] => 
    [offers_name] => 
    [offers_status] => 
    [offers_start_date] => 
    [offers_end_date] => 
    [pageview] => 
    [offers_slug] => 
    [offers_product_id] => 
    [offers_product_code] => 
    [offers_master_id] => 
    [offer_percentage] => 
    [offers_product_main_cat] => 
)
PA 14 1361026
PA 14 1361026

(1R,2S,5S)-N-((S)-1-Cyano-2-((R)-2-oxopyrrolidin-3-yl)ethyl)-3-((S)-3,3-dimethyl-2-(2,2,2-trifluoroacetamido)butanoyl)-6,6-dimethyl-3-azabicyclo[3.1.0]hexane-2-carboxamide


  • Catalogue No.:PA 14 1361026

  • CAS :

    NA

  • Molecular Formula : C23H32F3N5O4

  • Molecular Weight : 499.54

pharmaffiliates