lenalidomide

Heterocycles - A thalidomide derivative, Lenalidomide is used for the treatment of blood cancer ( multiple myeloma). It is also used for treating chronic lymphocytic leukemia and solid tumor cancers. Reference standards of Lenalidomide API,and its pharmacopeial, non pharmacopeial impurities, and stable isotopes are listed below.

stdClass Object
(
    [pname] => Lenalidomide
    [catalogue_number] => PA 12 62000
    [category_ids] => ,79,71,78,70,82,
    [chemical_name] => 
    [weight] => 259.26
    [form] => C13H13N3O3
    [cas] => 191732-72-6
    [pslug] => 191732-72-6-lenalidomide-api-pa1262000
    [latest_product] => 0
    [linkproducts] => 1
    [offers_id] => 
    [offers_name] => 
    [offers_status] => 
    [offers_start_date] => 
    [offers_end_date] => 
    [pageview] => 
    [offers_slug] => 
    [offers_product_id] => 
    [offers_product_code] => 
    [offers_master_id] => 
    [offer_percentage] => 
    [offers_product_main_cat] => 
)
PA 12 62000
PA 12 62000

Lenalidomide


  • Catalogue No.:PA 12 62000

  • CAS :

    191732-72-6

  • Molecular Formula : C13H13N3O3

  • Molecular Weight : 259.26

stdClass Object
(
    [pname] => 5-Amino-2-(4-amino-1-oxoisoindolin-2-yl)-5-oxopentanoic Acid
    [catalogue_number] => PA 12 62510
    [category_ids] => ,79,71,78,70,82,80,
    [chemical_name] => 
    [weight] => 277.28
    [form] => C13H15N3O4
    [cas] => 2197420-75-8
    [pslug] => 2197420-75-8-5-amino-2-4-amino-1-oxoisoindolin-2-yl-5-oxopentanoic-acid-pa1262510
    [latest_product] => 0
    [linkproducts] => 0
    [offers_id] => 
    [offers_name] => 
    [offers_status] => 
    [offers_start_date] => 
    [offers_end_date] => 
    [pageview] => 
    [offers_slug] => 
    [offers_product_id] => 
    [offers_product_code] => 
    [offers_master_id] => 
    [offer_percentage] => 
    [offers_product_main_cat] => 
)
PA 12 62510
PA 12 62510

5-Amino-2-(4-amino-1-oxoisoindolin-2-yl)-5-oxopentanoic Acid


  • Catalogue No.:PA 12 62510

  • CAS :

    2197420-75-8

  • Molecular Formula : C13H15N3O4

  • Molecular Weight : 277.28

stdClass Object
(
    [pname] => 2-(4-Amino-1-oxoisoindolin-2-yl)pentanedioic Acid
    [catalogue_number] => PA 12 62520
    [category_ids] => ,79,71,78,70,82,80,
    [chemical_name] => 
    [weight] => 278.26
    [form] => C13H14N2O5
    [cas] => 295357-66-3
    [pslug] => 295357-66-3-2-4-amino-1-oxoisoindolin-2-yl-pentanedioic-acid-pa1262520
    [latest_product] => 0
    [linkproducts] => 0
    [offers_id] => 
    [offers_name] => 
    [offers_status] => 
    [offers_start_date] => 
    [offers_end_date] => 
    [pageview] => 
    [offers_slug] => 
    [offers_product_id] => 
    [offers_product_code] => 
    [offers_master_id] => 
    [offer_percentage] => 
    [offers_product_main_cat] => 
)
PA 12 62520
PA 12 62520

2-(4-Amino-1-oxoisoindolin-2-yl)pentanedioic Acid


  • Catalogue No.:PA 12 62520

  • CAS :

    295357-66-3

  • Molecular Formula : C13H14N2O5

  • Molecular Weight : 278.26

stdClass Object
(
    [pname] => 3-(7-Nitro-3-oxo-1H-isoindol-2-yl)piperidine-2,6-dione
    [catalogue_number] => PA 12 62530
    [category_ids] => ,82,79,78,71,70,
    [chemical_name] => 
    [weight] => 289.24
    [form] => C13H11N3O5
    [cas] => 827026-45-9
    [pslug] => 827026-45-9-3-7-nitro-3-oxo-1h-isoindol-2-yl-piperidine-2-6-dione-pa1262530
    [latest_product] => 0
    [linkproducts] => 0
    [offers_id] => 
    [offers_name] => 
    [offers_status] => 
    [offers_start_date] => 
    [offers_end_date] => 
    [pageview] => 
    [offers_slug] => 
    [offers_product_id] => 
    [offers_product_code] => 
    [offers_master_id] => 
    [offer_percentage] => 
    [offers_product_main_cat] => 
)
PA 12 62530
PA 12 62530

3-(7-Nitro-3-oxo-1H-isoindol-2-yl)piperidine-2,6-dione


  • Catalogue No.:PA 12 62530

  • CAS :

    827026-45-9

  • Molecular Formula : C13H11N3O5

  • Molecular Weight : 289.24

stdClass Object
(
    [pname] => 5-Amino-4-(4-amino-1-oxoisoindolin-2-yl)-5-oxopentanoic Acid
    [catalogue_number] => PA 12 62540
    [category_ids] => ,79,71,78,70,82,
    [chemical_name] => 
    [weight] => 277.28
    [form] => C13H15N3O4
    [cas] => 2197414-57-4
    [pslug] => 2197414-57-4-5-amino-4-4-amino-1-oxoisoindolin-2-yl-5-oxopentanoic-acid-pa1262540
    [latest_product] => 0
    [linkproducts] => 0
    [offers_id] => 
    [offers_name] => 
    [offers_status] => 
    [offers_start_date] => 
    [offers_end_date] => 
    [pageview] => 
    [offers_slug] => 
    [offers_product_id] => 
    [offers_product_code] => 
    [offers_master_id] => 
    [offer_percentage] => 
    [offers_product_main_cat] => 
)
PA 12 62540
PA 12 62540

5-Amino-4-(4-amino-1-oxoisoindolin-2-yl)-5-oxopentanoic Acid


  • Catalogue No.:PA 12 62540

  • CAS :

    2197414-57-4

  • Molecular Formula : C13H15N3O4

  • Molecular Weight : 277.28

stdClass Object
(
    [pname] => Methyl 2-(hydroxymethyl)-3-nitrobenzoate
    [catalogue_number] => PA 12 62550
    [category_ids] => ,79,71,78,70,82,
    [chemical_name] => 
    [weight] => 211.17
    [form] => C9H9NO5
    [cas] => 1628915-10-5
    [pslug] => 1628915-10-5-methyl-2-hydroxymethyl-3-nitrobenzoate-pa1262550
    [latest_product] => 0
    [linkproducts] => 0
    [offers_id] => 
    [offers_name] => 
    [offers_status] => 
    [offers_start_date] => 
    [offers_end_date] => 
    [pageview] => 
    [offers_slug] => 
    [offers_product_id] => 
    [offers_product_code] => 
    [offers_master_id] => 
    [offer_percentage] => 
    [offers_product_main_cat] => 
)
PA 12 62550
PA 12 62550

Methyl 2-(hydroxymethyl)-3-nitrobenzoate


  • Catalogue No.:PA 12 62550

  • CAS :

    1628915-10-5

  • Molecular Formula : C9H9NO5

  • Molecular Weight : 211.17

stdClass Object
(
    [pname] => N-[2-(2,6-Dioxo-3-piperidinyl)-2,3-dihydro-1-oxo-1H-isoindol-4-yl]-acetamide
    [catalogue_number] => PA 12 62860
    [category_ids] => ,79,71,78,70,82,
    [chemical_name] => 
    [weight] => 301.3
    [form] => C15H15N3O4
    [cas] => 1421593-80-7
    [pslug] => 1421593-80-7-n-2-2-6-dioxo-3-piperidinyl-2-3-dihydro-1-oxo-1h-isoindol-4-yl-acetamide-pa1262860
    [latest_product] => 0
    [linkproducts] => 0
    [offers_id] => 
    [offers_name] => 
    [offers_status] => 
    [offers_start_date] => 
    [offers_end_date] => 
    [pageview] => 
    [offers_slug] => 
    [offers_product_id] => 
    [offers_product_code] => 
    [offers_master_id] => 
    [offer_percentage] => 
    [offers_product_main_cat] => 
)
PA 12 62860
PA 12 62860

N-[2-(2,6-Dioxo-3-piperidinyl)-2,3-dihydro-1-oxo-1H-isoindol-4-yl]-acetamide


  • Catalogue No.:PA 12 62860

  • CAS :

    1421593-80-7

  • Molecular Formula : C15H15N3O4

  • Molecular Weight : 301.3

stdClass Object
(
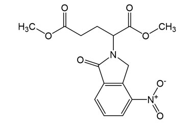
    [pname] => Dimethyl 2-(4-amino-1-oxoisoindolin-2-yl)pentanedioate
    [catalogue_number] => PA 12 62870
    [category_ids] => ,79,71,78,70,82,
    [chemical_name] => 
    [weight] => 306.32
    [form] => C15H18N2O5
    [cas] => 1198299-50-1
    [pslug] => 1198299-50-1-dimethyl-2-4-amino-1-oxoisoindolin-2-yl-pentanedioate-pa1262870
    [latest_product] => 0
    [linkproducts] => 0
    [offers_id] => 
    [offers_name] => 
    [offers_status] => 
    [offers_start_date] => 
    [offers_end_date] => 
    [pageview] => 
    [offers_slug] => 
    [offers_product_id] => 
    [offers_product_code] => 
    [offers_master_id] => 
    [offer_percentage] => 
    [offers_product_main_cat] => 
)
PA 12 62870
PA 12 62870

Dimethyl 2-(4-amino-1-oxoisoindolin-2-yl)pentanedioate


  • Catalogue No.:PA 12 62870

  • CAS :

    1198299-50-1

  • Molecular Formula : C15H18N2O5

  • Molecular Weight : 306.32

stdClass Object
(
    [pname] => Methyl 5-amino-2-(4-amino-1-oxoisoindolin-2-yl)-5-oxopentanoate
    [catalogue_number] => PA 12 62880
    [category_ids] => ,79,71,78,70,82,
    [chemical_name] => 
    [weight] => 291.31
    [form] => C14H17N3O4
    [cas] => 1240215-87-5
    [pslug] => 1240215-87-5-methyl-5-amino-2-4-amino-1-oxoisoindolin-2-yl-5-oxopentanoate-pa1262880
    [latest_product] => 0
    [linkproducts] => 0
    [offers_id] => 
    [offers_name] => 
    [offers_status] => 
    [offers_start_date] => 
    [offers_end_date] => 
    [pageview] => 
    [offers_slug] => 
    [offers_product_id] => 
    [offers_product_code] => 
    [offers_master_id] => 
    [offer_percentage] => 
    [offers_product_main_cat] => 
)
PA 12 62880
PA 12 62880

Methyl 5-amino-2-(4-amino-1-oxoisoindolin-2-yl)-5-oxopentanoate


  • Catalogue No.:PA 12 62880

  • CAS :

    1240215-87-5

  • Molecular Formula : C14H17N3O4

  • Molecular Weight : 291.31

stdClass Object
(
    [pname] => 2-(4-Amino-1-oxoisoindolin-2-yl)-5-methoxyhex-5-enamide
    [catalogue_number] => PA 12 62890
    [category_ids] => ,79,71,78,70,82,
    [chemical_name] => 
    [weight] => 289.34
    [form] => C15H19N3O3
    [cas] => NA
    [pslug] => 2-4-amino-1-oxoisoindolin-2-yl-5-methoxyhex-5-enamide-pa1262890
    [latest_product] => 0
    [linkproducts] => 0
    [offers_id] => 
    [offers_name] => 
    [offers_status] => 
    [offers_start_date] => 
    [offers_end_date] => 
    [pageview] => 
    [offers_slug] => 
    [offers_product_id] => 
    [offers_product_code] => 
    [offers_master_id] => 
    [offer_percentage] => 
    [offers_product_main_cat] => 
)
PA 12 62890
PA 12 62890

2-(4-Amino-1-oxoisoindolin-2-yl)-5-methoxyhex-5-enamide


  • Catalogue No.:PA 12 62890

  • CAS :

    NA

  • Molecular Formula : C15H19N3O3

  • Molecular Weight : 289.34

stdClass Object
(
    [pname] => 3-(4-(((3R,4R,5S,6R)-3,4-Dihydroxy-6-(hydroxymethyl)-5-(((2S,3R,4S,5R,6R)-3,4,5-trihydroxy-6-(hydroxymethyl)tetrahydro-2H-pyran-2-yl)oxy)tetrahydro-2H-pyran-2-yl)amino)-1-oxoisoindolin-2-yl)piperidine-2,6-dione
    [catalogue_number] => PA 12 62900
    [category_ids] => ,82,79,78,71,70,
    [chemical_name] => 
    [weight] => 583.55
    [form] => C25H33N3O13
    [cas] => NA
    [pslug] => 3-4-3r-4r-5s-6r-3-4-dihydroxy-6-hydroxymethyl-5-2s-3r-4s-5r-6r-3-4-5-trihydroxy-6-hydroxymethyl-tetrahydro-2h-pyran-2-yl-oxy-tetrahydro-2h-pyran-2-yl-amino-1-oxoisoindolin-2-yl-piperidine-2-6-dione-pa1262900
    [latest_product] => 0
    [linkproducts] => 0
    [offers_id] => 
    [offers_name] => 
    [offers_status] => 
    [offers_start_date] => 
    [offers_end_date] => 
    [pageview] => 
    [offers_slug] => 
    [offers_product_id] => 
    [offers_product_code] => 
    [offers_master_id] => 
    [offer_percentage] => 
    [offers_product_main_cat] => 
)
PA 12 62900
PA 12 62900

3-(4-(((3R,4R,5S,6R)-3,4-Dihydroxy-6-(hydroxymethyl)-5-(((2S,3R,4S,5R,6R)-3,4,5-trihydroxy-6-(hydroxymethyl)tetrahydro-2H-pyran-2-yl)oxy)tetrahydro-2H-pyran-2-yl)amino)-1-oxoisoindolin-2-yl)piperidine-2,6-dione


  • Catalogue No.:PA 12 62900

  • CAS :

    NA

  • Molecular Formula : C25H33N3O13

  • Molecular Weight : 583.55

stdClass Object
(
    [pname] => 2-(4-Nitro-1-oxoisoindolin-2-yl)pentanediamide
    [catalogue_number] => PA 12 62940
    [category_ids] => ,79,71,78,70,82,80,
    [chemical_name] => 
    [weight] => 306.28
    [form] => C13H14N4O5
    [cas] => 827026-44-8
    [pslug] => 827026-44-8-2-4-nitro-1-oxoisoindolin-2-yl-pentanediamide-pa1262940
    [latest_product] => 0
    [linkproducts] => 0
    [offers_id] => 
    [offers_name] => 
    [offers_status] => 
    [offers_start_date] => 
    [offers_end_date] => 
    [pageview] => 
    [offers_slug] => 
    [offers_product_id] => 
    [offers_product_code] => 
    [offers_master_id] => 
    [offer_percentage] => 
    [offers_product_main_cat] => 
)
PA 12 62940
PA 12 62940

2-(4-Nitro-1-oxoisoindolin-2-yl)pentanediamide


  • Catalogue No.:PA 12 62940

  • CAS :

    827026-44-8

  • Molecular Formula : C13H14N4O5

  • Molecular Weight : 306.28

stdClass Object
(
    [pname] => 2-(4-Nitro-1-oxoisoindolin-2-yl)pentanedioic Acid
    [catalogue_number] => PA 12 62950
    [category_ids] => ,79,71,78,70,82,80,
    [chemical_name] => 
    [weight] => 308.25
    [form] => C13H12N2O7
    [cas] => 295357-72-1
    [pslug] => 295357-72-1-2-4-nitro-1-oxoisoindolin-2-yl-pentanedioic-acid-pa1262950
    [latest_product] => 0
    [linkproducts] => 0
    [offers_id] => 
    [offers_name] => 
    [offers_status] => 
    [offers_start_date] => 
    [offers_end_date] => 
    [pageview] => 
    [offers_slug] => 
    [offers_product_id] => 
    [offers_product_code] => 
    [offers_master_id] => 
    [offer_percentage] => 
    [offers_product_main_cat] => 
)
PA 12 62950
PA 12 62950

2-(4-Nitro-1-oxoisoindolin-2-yl)pentanedioic Acid


  • Catalogue No.:PA 12 62950

  • CAS :

    295357-72-1

  • Molecular Formula : C13H12N2O7

  • Molecular Weight : 308.25

stdClass Object
(
    [pname] => 5-Amino-4-(4-nitro-1-oxoisoindolin-2-yl)-5-oxopentanoic Acid
    [catalogue_number] => PA 12 62960
    [category_ids] => ,79,71,78,70,82,80,
    [chemical_name] => 
    [weight] => 307.26
    [form] => C13H13N3O6
    [cas] => 1198299-72-7
    [pslug] => 1198299-72-7-5-amino-4-4-nitro-1-oxoisoindolin-2-yl-5-oxopentanoic-acid-pa1262960
    [latest_product] => 0
    [linkproducts] => 0
    [offers_id] => 
    [offers_name] => 
    [offers_status] => 
    [offers_start_date] => 
    [offers_end_date] => 
    [pageview] => 
    [offers_slug] => 
    [offers_product_id] => 
    [offers_product_code] => 
    [offers_master_id] => 
    [offer_percentage] => 
    [offers_product_main_cat] => 
)
PA 12 62960
PA 12 62960

5-Amino-4-(4-nitro-1-oxoisoindolin-2-yl)-5-oxopentanoic Acid


  • Catalogue No.:PA 12 62960

  • CAS :

    1198299-72-7

  • Molecular Formula : C13H13N3O6

  • Molecular Weight : 307.26

stdClass Object
(
    [pname] => L-Glutamic Anhydride Hydrochloride
    [catalogue_number] => PA 12 0621020
    [category_ids] => ,79,71,78,70,82,
    [chemical_name] => 
    [weight] => 165.57
    [form] => C5H8ClNO3
    [cas] => 5165-15-1
    [pslug] => 5165-15-1-l-glutamic-anhydride-hydrochloride-pa120621020
    [latest_product] => 0
    [linkproducts] => 1
    [offers_id] => 
    [offers_name] => 
    [offers_status] => 
    [offers_start_date] => 
    [offers_end_date] => 
    [pageview] => 
    [offers_slug] => 
    [offers_product_id] => 
    [offers_product_code] => 
    [offers_master_id] => 
    [offer_percentage] => 
    [offers_product_main_cat] => 
)
PA 12 0621020
PA 12 0621020

L-Glutamic Anhydride Hydrochloride


  • Catalogue No.:PA 12 0621020

  • CAS :

    5165-15-1

  • Molecular Formula : C5H8ClNO3

  • Molecular Weight : 165.57

stdClass Object
(
    [pname] => Methyl 4-(bromomethyl)-3-nitrobenzoate
    [catalogue_number] => PA 12 0621024
    [category_ids] => ,79,71,78,70,82,
    [chemical_name] => 
    [weight] => 274.07
    [form] => C9H8BrNO4
    [cas] => 88089-94-5
    [pslug] => 88089-94-5-methyl-4-bromomethyl-3-nitrobenzoate-pa120621024
    [latest_product] => 0
    [linkproducts] => 0
    [offers_id] => 
    [offers_name] => 
    [offers_status] => 
    [offers_start_date] => 
    [offers_end_date] => 
    [pageview] => 
    [offers_slug] => 
    [offers_product_id] => 
    [offers_product_code] => 
    [offers_master_id] => 
    [offer_percentage] => 
    [offers_product_main_cat] => 
)
PA 12 0621024
PA 12 0621024

Methyl 4-(bromomethyl)-3-nitrobenzoate


  • Catalogue No.:PA 12 0621024

  • CAS :

    88089-94-5

  • Molecular Formula : C9H8BrNO4

  • Molecular Weight : 274.07

stdClass Object
(
    [pname] => Methyl 3-(bromomethyl)-4-nitrobenzoate
    [catalogue_number] => PA 12 0621025
    [category_ids] => ,79,71,78,70,82,
    [chemical_name] => 
    [weight] => 274.07
    [form] => C9H8BrNO4
    [cas] => 88071-90-3
    [pslug] => 88071-90-3-methyl-3-bromomethyl-4-nitrobenzoate-pa120621025
    [latest_product] => 0
    [linkproducts] => 0
    [offers_id] => 
    [offers_name] => 
    [offers_status] => 
    [offers_start_date] => 
    [offers_end_date] => 
    [pageview] => 
    [offers_slug] => 
    [offers_product_id] => 
    [offers_product_code] => 
    [offers_master_id] => 
    [offer_percentage] => 
    [offers_product_main_cat] => 
)
PA 12 0621025
PA 12 0621025

Methyl 3-(bromomethyl)-4-nitrobenzoate


  • Catalogue No.:PA 12 0621025

  • CAS :

    88071-90-3

  • Molecular Formula : C9H8BrNO4

  • Molecular Weight : 274.07

stdClass Object
(
    [pname] => Methyl 3-(bromomethyl)-2-nitrobenzoate
    [catalogue_number] => PA 12 0621026
    [category_ids] => ,79,71,78,70,82,
    [chemical_name] => 
    [weight] => 274.07
    [form] => C9H8BrNO4
    [cas] => 132874-06-7
    [pslug] => 132874-06-7-methyl-3-bromomethyl-2-nitrobenzoate-pa120621026
    [latest_product] => 0
    [linkproducts] => 0
    [offers_id] => 
    [offers_name] => 
    [offers_status] => 
    [offers_start_date] => 
    [offers_end_date] => 
    [pageview] => 
    [offers_slug] => 
    [offers_product_id] => 
    [offers_product_code] => 
    [offers_master_id] => 
    [offer_percentage] => 
    [offers_product_main_cat] => 
)
PA 12 0621026
PA 12 0621026

Methyl 3-(bromomethyl)-2-nitrobenzoate


  • Catalogue No.:PA 12 0621026

  • CAS :

    132874-06-7

  • Molecular Formula : C9H8BrNO4

  • Molecular Weight : 274.07

stdClass Object
(
    [pname] => Diethyl 2-(4-amino-1-oxoisoindolin-2-yl)pentanedioate
    [catalogue_number] => PA 12 0621027
    [category_ids] => ,79,71,78,70,82,
    [chemical_name] => 
    [weight] => 334.37
    [form] => C17H22N2O5
    [cas] => 1063995-41-4
    [pslug] => 1063995-41-4-diethyl-2-4-amino-1-oxoisoindolin-2-yl-pentanedioate-pa120621027
    [latest_product] => 0
    [linkproducts] => 0
    [offers_id] => 
    [offers_name] => 
    [offers_status] => 
    [offers_start_date] => 
    [offers_end_date] => 
    [pageview] => 
    [offers_slug] => 
    [offers_product_id] => 
    [offers_product_code] => 
    [offers_master_id] => 
    [offer_percentage] => 
    [offers_product_main_cat] => 
)
PA 12 0621027
PA 12 0621027

Diethyl 2-(4-amino-1-oxoisoindolin-2-yl)pentanedioate


  • Catalogue No.:PA 12 0621027

  • CAS :

    1063995-41-4

  • Molecular Formula : C17H22N2O5

  • Molecular Weight : 334.37

stdClass Object
(
    [pname] => (S)-5-Amino-4-(4-amino-1-oxoisoindolin-2-yl)-5-oxopentanoic Acid
    [catalogue_number] => PA 12 0621028
    [category_ids] => ,79,71,78,70,82,
    [chemical_name] => 
    [weight] => 277.28
    [form] => C13H15N3O4
    [cas] => 874760-72-2
    [pslug] => 874760-72-2-s-5-amino-4-4-amino-1-oxoisoindolin-2-yl-5-oxopentanoic-acid-pa120621028
    [latest_product] => 0
    [linkproducts] => 0
    [offers_id] => 
    [offers_name] => 
    [offers_status] => 
    [offers_start_date] => 
    [offers_end_date] => 
    [pageview] => 
    [offers_slug] => 
    [offers_product_id] => 
    [offers_product_code] => 
    [offers_master_id] => 
    [offer_percentage] => 
    [offers_product_main_cat] => 
)
PA 12 0621028
PA 12 0621028

(S)-5-Amino-4-(4-amino-1-oxoisoindolin-2-yl)-5-oxopentanoic Acid


  • Catalogue No.:PA 12 0621028

  • CAS :

    874760-72-2

  • Molecular Formula : C13H15N3O4

  • Molecular Weight : 277.28

stdClass Object
(
    [pname] => Lenalidomide Dimethyl sulphoxide
    [catalogue_number] => PA 12 0621029
    [category_ids] => ,80,71,76,75,78,70,82,
    [chemical_name] => 
    [weight] => 337.39
    [form] => C15H19N3O4S
    [cas] => 2083617-58-5
    [pslug] => 2083617-58-5-lenalidomide-dimethyl-sulphoxide-pa120621029
    [latest_product] => 0
    [linkproducts] => 0
    [offers_id] => 
    [offers_name] => 
    [offers_status] => 
    [offers_start_date] => 
    [offers_end_date] => 
    [pageview] => 
    [offers_slug] => 
    [offers_product_id] => 
    [offers_product_code] => 
    [offers_master_id] => 
    [offer_percentage] => 
    [offers_product_main_cat] => 
)
PA 12 0621029
PA 12 0621029

Lenalidomide Dimethyl sulphoxide


  • Catalogue No.:PA 12 0621029

  • CAS :

    2083617-58-5

  • Molecular Formula : C15H19N3O4S

  • Molecular Weight : 337.39

stdClass Object
(
    [pname] => 3-(5-Methyl-1-oxoisoindolin-2-yl)piperidine-2,6-dione
    [catalogue_number] => PA 12 0621030
    [category_ids] => ,79,71,78,70,82,
    [chemical_name] => 
    [weight] => 258.28
    [form] => C14H14N2O3
    [cas] => 1416990-03-8
    [pslug] => 1416990-03-8-3-5-methyl-1-oxoisoindolin-2-yl-piperidine-2-6-dione-pa120621030
    [latest_product] => 0
    [linkproducts] => 0
    [offers_id] => 
    [offers_name] => 
    [offers_status] => 
    [offers_start_date] => 
    [offers_end_date] => 
    [pageview] => 
    [offers_slug] => 
    [offers_product_id] => 
    [offers_product_code] => 
    [offers_master_id] => 
    [offer_percentage] => 
    [offers_product_main_cat] => 
)
PA 12 0621030
PA 12 0621030

3-(5-Methyl-1-oxoisoindolin-2-yl)piperidine-2,6-dione


  • Catalogue No.:PA 12 0621030

  • CAS :

    1416990-03-8

  • Molecular Formula : C14H14N2O3

  • Molecular Weight : 258.28

stdClass Object
(
    [pname] => 1-(Tetrahydro-2H-pyran-4-yl)dihydropyrimidine-2,4(1H,3H)-dione
    [catalogue_number] => PA 12 0621031
    [category_ids] => ,79,71,78,70,82,
    [chemical_name] => 
    [weight] => 198.22
    [form] => C9H14N2O3
    [cas] => 1522983-95-4
    [pslug] => 1522983-95-4-1-tetrahydro-2h-pyran-4-yl-dihydropyrimidine-2-4-1h-3h-dione-pa120621031
    [latest_product] => 0
    [linkproducts] => 0
    [offers_id] => 
    [offers_name] => 
    [offers_status] => 
    [offers_start_date] => 
    [offers_end_date] => 
    [pageview] => 
    [offers_slug] => 
    [offers_product_id] => 
    [offers_product_code] => 
    [offers_master_id] => 
    [offer_percentage] => 
    [offers_product_main_cat] => 
)
PA 12 0621031
PA 12 0621031

1-(Tetrahydro-2H-pyran-4-yl)dihydropyrimidine-2,4(1H,3H)-dione


  • Catalogue No.:PA 12 0621031

  • CAS :

    1522983-95-4

  • Molecular Formula : C9H14N2O3

  • Molecular Weight : 198.22

stdClass Object
(
    [pname] => 4-Aminoisobenzofuran-1(3H)-one
    [catalogue_number] => PA 12 0621032
    [category_ids] => ,79,71,78,70,82,
    [chemical_name] => 
    [weight] => 149.15
    [form] => C8H7NO2
    [cas] => 59434-19-4
    [pslug] => 59434-19-4-4-aminoisobenzofuran-1-3h-one-pa120621032
    [latest_product] => 0
    [linkproducts] => 0
    [offers_id] => 
    [offers_name] => 
    [offers_status] => 
    [offers_start_date] => 
    [offers_end_date] => 
    [pageview] => 
    [offers_slug] => 
    [offers_product_id] => 
    [offers_product_code] => 
    [offers_master_id] => 
    [offer_percentage] => 
    [offers_product_main_cat] => 
)
PA 12 0621032
PA 12 0621032

4-Aminoisobenzofuran-1(3H)-one


  • Catalogue No.:PA 12 0621032

  • CAS :

    59434-19-4

  • Molecular Formula : C8H7NO2

  • Molecular Weight : 149.15

stdClass Object
(
    [pname] => 5-Nitroisobenzofuran-1(3H)-one
    [catalogue_number] => PA 12 0621033
    [category_ids] => ,79,71,78,70,82,
    [chemical_name] => 
    [weight] => 179.13
    [form] => C8H5NO4
    [cas] => 67081-02-1
    [pslug] => 67081-02-1-5-nitroisobenzofuran-1-3h-one-pa120621033
    [latest_product] => 0
    [linkproducts] => 0
    [offers_id] => 
    [offers_name] => 
    [offers_status] => 
    [offers_start_date] => 
    [offers_end_date] => 
    [pageview] => 
    [offers_slug] => 
    [offers_product_id] => 
    [offers_product_code] => 
    [offers_master_id] => 
    [offer_percentage] => 
    [offers_product_main_cat] => 
)
PA 12 0621033
PA 12 0621033

5-Nitroisobenzofuran-1(3H)-one


  • Catalogue No.:PA 12 0621033

  • CAS :

    67081-02-1

  • Molecular Formula : C8H5NO4

  • Molecular Weight : 179.13

stdClass Object
(
    [pname] => Lenalidomide-acetylene-Br
    [catalogue_number] => PA 12 0621034
    [category_ids] => ,79,71,78,70,82,171,
    [chemical_name] => 
    [weight] => 375.22
    [form] => C17H15BrN2O3
    [cas] => 2619512-84-2
    [pslug] => 2619512-84-2-lenalidomide-acetylene-br-pa120621034
    [latest_product] => 0
    [linkproducts] => 0
    [offers_id] => 
    [offers_name] => 
    [offers_status] => 
    [offers_start_date] => 
    [offers_end_date] => 
    [pageview] => 
    [offers_slug] => 
    [offers_product_id] => 
    [offers_product_code] => 
    [offers_master_id] => 
    [offer_percentage] => 
    [offers_product_main_cat] => 
)
PA 12 0621034
PA 12 0621034

Lenalidomide-acetylene-Br


  • Catalogue No.:PA 12 0621034

  • CAS :

    2619512-84-2

  • Molecular Formula : C17H15BrN2O3

  • Molecular Weight : 375.22

stdClass Object
(
    [pname] => 3-(2-Chloropyrimidin-4-yl)-1H-indole
    [catalogue_number] => PA 12 0621035
    [category_ids] => ,79,71,78,70,82,
    [chemical_name] => 
    [weight] => 229.67
    [form] => C12H8ClN3
    [cas] => 945016-63-7
    [pslug] => 945016-63-7-3-2-chloropyrimidin-4-yl-1h-indole-pa120621035
    [latest_product] => 0
    [linkproducts] => 0
    [offers_id] => 
    [offers_name] => 
    [offers_status] => 
    [offers_start_date] => 
    [offers_end_date] => 
    [pageview] => 
    [offers_slug] => 
    [offers_product_id] => 
    [offers_product_code] => 
    [offers_master_id] => 
    [offer_percentage] => 
    [offers_product_main_cat] => 
)
PA 12 0621035
PA 12 0621035

3-(2-Chloropyrimidin-4-yl)-1H-indole


  • Catalogue No.:PA 12 0621035

  • CAS :

    945016-63-7

  • Molecular Formula : C12H8ClN3

  • Molecular Weight : 229.67

stdClass Object
(
    [pname] => Methyl 3-nitro-2-(tribromomethyl)benzoate
    [catalogue_number] => PA 12 0621036
    [category_ids] => ,79,71,78,70,82,
    [chemical_name] => 
    [weight] => 431.86
    [form] => C9H6Br3NO4
    [cas] => NA
    [pslug] => methyl-3-nitro-2-tribromomethyl-benzoate-pa120621036
    [latest_product] => 0
    [linkproducts] => 0
    [offers_id] => 
    [offers_name] => 
    [offers_status] => 
    [offers_start_date] => 
    [offers_end_date] => 
    [pageview] => 
    [offers_slug] => 
    [offers_product_id] => 
    [offers_product_code] => 
    [offers_master_id] => 
    [offer_percentage] => 
    [offers_product_main_cat] => 
)
PA 12 0621036
PA 12 0621036

Methyl 3-nitro-2-(tribromomethyl)benzoate


  • Catalogue No.:PA 12 0621036

  • CAS :

    NA

  • Molecular Formula : C9H6Br3NO4

  • Molecular Weight : 431.86

stdClass Object
(
    [pname] => Dimethyl 2-(4-nitro-1-oxoisoindolin-2-yl)pentanedioate
    [catalogue_number] => PA 12 0621037
    [category_ids] => ,79,71,78,70,82,
    [chemical_name] => 
    [weight] => 336.3
    [form] => C15H16N2O7
    [cas] => 827026-43-7
    [pslug] => 827026-43-7-dimethyl-2-4-nitro-1-oxoisoindolin-2-yl-pentanedioate-pa120621037
    [latest_product] => 0
    [linkproducts] => 0
    [offers_id] => 
    [offers_name] => 
    [offers_status] => 
    [offers_start_date] => 
    [offers_end_date] => 
    [pageview] => 
    [offers_slug] => 
    [offers_product_id] => 
    [offers_product_code] => 
    [offers_master_id] => 
    [offer_percentage] => 
    [offers_product_main_cat] => 
)
PA 12 0621037
PA 12 0621037

Dimethyl 2-(4-nitro-1-oxoisoindolin-2-yl)pentanedioate


  • Catalogue No.:PA 12 0621037

  • CAS :

    827026-43-7

  • Molecular Formula : C15H16N2O7

  • Molecular Weight : 336.3

stdClass Object
(
    [pname] => 3-Amino-1-nitrosopiperidine-2,6-dione
    [catalogue_number] => PA 12 0621038
    [category_ids] => ,79,71,78,70,82,162,
    [chemical_name] => 
    [weight] => 157.13
    [form] => C5H7N3O3
    [cas] => NA
    [pslug] => 3-amino-1-nitrosopiperidine-2-6-dione-pa120621038
    [latest_product] => 0
    [linkproducts] => 0
    [offers_id] => 
    [offers_name] => 
    [offers_status] => 
    [offers_start_date] => 
    [offers_end_date] => 
    [pageview] => 
    [offers_slug] => 
    [offers_product_id] => 
    [offers_product_code] => 
    [offers_master_id] => 
    [offer_percentage] => 
    [offers_product_main_cat] => 
)
PA 12 0621038
PA 12 0621038

3-Amino-1-nitrosopiperidine-2,6-dione


  • Catalogue No.:PA 12 0621038

  • CAS :

    NA

  • Molecular Formula : C5H7N3O3

  • Molecular Weight : 157.13

stdClass Object
(
    [pname] => 3-(5-Amino-1-oxoisoindolin-2-yl)piperidine-2,6-dione
    [catalogue_number] => PA 12 0621039
    [category_ids] => ,79,71,78,70,82,
    [chemical_name] => 
    [weight] => 259.27
    [form] => C13H13N3O3
    [cas] => 191732-70-4
    [pslug] => 191732-70-4-3-5-amino-1-oxoisoindolin-2-yl-piperidine-2-6-dione-pa120621039
    [latest_product] => 0
    [linkproducts] => 0
    [offers_id] => 
    [offers_name] => 
    [offers_status] => 
    [offers_start_date] => 
    [offers_end_date] => 
    [pageview] => 
    [offers_slug] => 
    [offers_product_id] => 
    [offers_product_code] => 
    [offers_master_id] => 
    [offer_percentage] => 
    [offers_product_main_cat] => 
)
PA 12 0621039
PA 12 0621039

3-(5-Amino-1-oxoisoindolin-2-yl)piperidine-2,6-dione


  • Catalogue No.:PA 12 0621039

  • CAS :

    191732-70-4

  • Molecular Formula : C13H13N3O3

  • Molecular Weight : 259.27

stdClass Object
(
    [pname] => 3-(6-Amino-1-oxoisoindolin-2-yl)piperidine-2,6-dione
    [catalogue_number] => PA 12 0621040
    [category_ids] => ,79,71,78,70,82,
    [chemical_name] => 
    [weight] => 259.27
    [form] => C13H13N3O3
    [cas] => 191732-74-8
    [pslug] => 191732-74-8-3-6-amino-1-oxoisoindolin-2-yl-piperidine-2-6-dione-pa120621040
    [latest_product] => 0
    [linkproducts] => 0
    [offers_id] => 
    [offers_name] => 
    [offers_status] => 
    [offers_start_date] => 
    [offers_end_date] => 
    [pageview] => 
    [offers_slug] => 
    [offers_product_id] => 
    [offers_product_code] => 
    [offers_master_id] => 
    [offer_percentage] => 
    [offers_product_main_cat] => 
)
PA 12 0621040
PA 12 0621040

3-(6-Amino-1-oxoisoindolin-2-yl)piperidine-2,6-dione


  • Catalogue No.:PA 12 0621040

  • CAS :

    191732-74-8

  • Molecular Formula : C13H13N3O3

  • Molecular Weight : 259.27

stdClass Object
(
    [pname] => 3-(7-Amino-1-oxoisoindolin-2-yl)piperidine-2,6-dione
    [catalogue_number] => PA 12 0621041
    [category_ids] => ,79,71,78,70,82,
    [chemical_name] => 
    [weight] => 259.27
    [form] => C13H13N3O3
    [cas] => 191732-75-9
    [pslug] => 191732-75-9-3-7-amino-1-oxoisoindolin-2-yl-piperidine-2-6-dione-pa120621041
    [latest_product] => 0
    [linkproducts] => 0
    [offers_id] => 
    [offers_name] => 
    [offers_status] => 
    [offers_start_date] => 
    [offers_end_date] => 
    [pageview] => 
    [offers_slug] => 
    [offers_product_id] => 
    [offers_product_code] => 
    [offers_master_id] => 
    [offer_percentage] => 
    [offers_product_main_cat] => 
)
PA 12 0621041
PA 12 0621041

3-(7-Amino-1-oxoisoindolin-2-yl)piperidine-2,6-dione


  • Catalogue No.:PA 12 0621041

  • CAS :

    191732-75-9

  • Molecular Formula : C13H13N3O3

  • Molecular Weight : 259.27

stdClass Object
(
    [pname] => 3-(5-Bromo-1-oxoisoindolin-2-yl)piperidine-2,6-dione
    [catalogue_number] => PA 12 0621042
    [category_ids] => ,79,71,78,70,82,
    [chemical_name] => 
    [weight] => 323.15
    [form] => C13H11BrN2O3
    [cas] => 1010100-26-1
    [pslug] => 1010100-26-1-3-5-bromo-1-oxoisoindolin-2-yl-piperidine-2-6-dione-pa120621042
    [latest_product] => 0
    [linkproducts] => 0
    [offers_id] => 
    [offers_name] => 
    [offers_status] => 
    [offers_start_date] => 
    [offers_end_date] => 
    [pageview] => 
    [offers_slug] => 
    [offers_product_id] => 
    [offers_product_code] => 
    [offers_master_id] => 
    [offer_percentage] => 
    [offers_product_main_cat] => 
)
PA 12 0621042
PA 12 0621042

3-(5-Bromo-1-oxoisoindolin-2-yl)piperidine-2,6-dione


  • Catalogue No.:PA 12 0621042

  • CAS :

    1010100-26-1

  • Molecular Formula : C13H11BrN2O3

  • Molecular Weight : 323.15

stdClass Object
(
    [pname] => 3-(6-Bromo-1-oxoisoindolin-2-yl)piperidine-2,6-dione
    [catalogue_number] => PA 12 0621043
    [category_ids] => ,79,71,78,70,82,
    [chemical_name] => 
    [weight] => 323.15
    [form] => C13H11BrN2O3
    [cas] => 2304513-76-4
    [pslug] => 2304513-76-4-3-6-bromo-1-oxoisoindolin-2-yl-piperidine-2-6-dione-pa120621043
    [latest_product] => 0
    [linkproducts] => 0
    [offers_id] => 
    [offers_name] => 
    [offers_status] => 
    [offers_start_date] => 
    [offers_end_date] => 
    [pageview] => 
    [offers_slug] => 
    [offers_product_id] => 
    [offers_product_code] => 
    [offers_master_id] => 
    [offer_percentage] => 
    [offers_product_main_cat] => 
)
PA 12 0621043
PA 12 0621043

3-(6-Bromo-1-oxoisoindolin-2-yl)piperidine-2,6-dione


  • Catalogue No.:PA 12 0621043

  • CAS :

    2304513-76-4

  • Molecular Formula : C13H11BrN2O3

  • Molecular Weight : 323.15

stdClass Object
(
    [pname] => 3-(7-Bromo-1-oxoisoindolin-2-yl)piperidine-2,6-dione
    [catalogue_number] => PA 12 0621044
    [category_ids] => ,79,71,78,70,82,
    [chemical_name] => 
    [weight] => 323.15
    [form] => C13H11BrN2O3
    [cas] => 2229976-08-1
    [pslug] => 2229976-08-1-3-7-bromo-1-oxoisoindolin-2-yl-piperidine-2-6-dione-pa120621044
    [latest_product] => 0
    [linkproducts] => 0
    [offers_id] => 
    [offers_name] => 
    [offers_status] => 
    [offers_start_date] => 
    [offers_end_date] => 
    [pageview] => 
    [offers_slug] => 
    [offers_product_id] => 
    [offers_product_code] => 
    [offers_master_id] => 
    [offer_percentage] => 
    [offers_product_main_cat] => 
)
PA 12 0621044
PA 12 0621044

3-(7-Bromo-1-oxoisoindolin-2-yl)piperidine-2,6-dione


  • Catalogue No.:PA 12 0621044

  • CAS :

    2229976-08-1

  • Molecular Formula : C13H11BrN2O3

  • Molecular Weight : 323.15

stdClass Object
(
    [pname] => 3-(5-Hydroxy-1-oxoisoindolin-2-yl)piperidine-2,6-dione
    [catalogue_number] => PA 12 0621045
    [category_ids] => ,79,71,78,70,82,
    [chemical_name] => 
    [weight] => 260.25
    [form] => C13H12N2O4
    [cas] => 1416990-08-3
    [pslug] => 1416990-08-3-3-5-hydroxy-1-oxoisoindolin-2-yl-piperidine-2-6-dione-pa120621045
    [latest_product] => 0
    [linkproducts] => 0
    [offers_id] => 
    [offers_name] => 
    [offers_status] => 
    [offers_start_date] => 
    [offers_end_date] => 
    [pageview] => 
    [offers_slug] => 
    [offers_product_id] => 
    [offers_product_code] => 
    [offers_master_id] => 
    [offer_percentage] => 
    [offers_product_main_cat] => 
)
PA 12 0621045
PA 12 0621045

3-(5-Hydroxy-1-oxoisoindolin-2-yl)piperidine-2,6-dione


  • Catalogue No.:PA 12 0621045

  • CAS :

    1416990-08-3

  • Molecular Formula : C13H12N2O4

  • Molecular Weight : 260.25

stdClass Object
(
    [pname] => 2-(2,6-Dioxopiperidin-3-yl)-1-oxoisoindoline-4-carboxylic Acid
    [catalogue_number] => PA 12 0621046
    [category_ids] => ,79,71,78,70,82,
    [chemical_name] => 
    [weight] => 288.26
    [form] => C14H12N2O5
    [cas] => 2287259-68-9
    [pslug] => 2287259-68-9-2-2-6-dioxopiperidin-3-yl-1-oxoisoindoline-4-carboxylic-acid-pa120621046
    [latest_product] => 0
    [linkproducts] => 0
    [offers_id] => 
    [offers_name] => 
    [offers_status] => 
    [offers_start_date] => 
    [offers_end_date] => 
    [pageview] => 
    [offers_slug] => 
    [offers_product_id] => 
    [offers_product_code] => 
    [offers_master_id] => 
    [offer_percentage] => 
    [offers_product_main_cat] => 
)
PA 12 0621046
PA 12 0621046

2-(2,6-Dioxopiperidin-3-yl)-1-oxoisoindoline-4-carboxylic Acid


  • Catalogue No.:PA 12 0621046

  • CAS :

    2287259-68-9

  • Molecular Formula : C14H12N2O5

  • Molecular Weight : 288.26

stdClass Object
(
    [pname] => 2-(2,6-Dioxopiperidin-3-yl)-1-oxoisoindoline-5-carboxylic Acid
    [catalogue_number] => PA 12 0621047
    [category_ids] => ,79,71,78,70,82,
    [chemical_name] => 
    [weight] => 288.26
    [form] => C14H12N2O5
    [cas] => 2171780-01-9
    [pslug] => 2171780-01-9-2-2-6-dioxopiperidin-3-yl-1-oxoisoindoline-5-carboxylic-acid-pa120621047
    [latest_product] => 0
    [linkproducts] => 0
    [offers_id] => 
    [offers_name] => 
    [offers_status] => 
    [offers_start_date] => 
    [offers_end_date] => 
    [pageview] => 
    [offers_slug] => 
    [offers_product_id] => 
    [offers_product_code] => 
    [offers_master_id] => 
    [offer_percentage] => 
    [offers_product_main_cat] => 
)
PA 12 0621047
PA 12 0621047

2-(2,6-Dioxopiperidin-3-yl)-1-oxoisoindoline-5-carboxylic Acid


  • Catalogue No.:PA 12 0621047

  • CAS :

    2171780-01-9

  • Molecular Formula : C14H12N2O5

  • Molecular Weight : 288.26

stdClass Object
(
    [pname] => N-(2-(2,6-Dioxopiperidin-3-yl)-1-oxoisoindolin-5-yl)-4-(piperazin-1-ylmethyl)benzamide hydrochloride
    [catalogue_number] => PA 12 0621048
    [category_ids] => ,79,71,78,70,82,
    [chemical_name] => 
    [weight] => (461.52) .x(36.46)
    [form] => (C25H27N5O4) .x(HCl)
    [cas] => NA
    [pslug] => n-2-2-6-dioxopiperidin-3-yl-1-oxoisoindolin-5-yl-4-piperazin-1-ylmethyl-benzamide-hydrochloride-pa120621048
    [latest_product] => 0
    [linkproducts] => 0
    [offers_id] => 
    [offers_name] => 
    [offers_status] => 
    [offers_start_date] => 
    [offers_end_date] => 
    [pageview] => 
    [offers_slug] => 
    [offers_product_id] => 
    [offers_product_code] => 
    [offers_master_id] => 
    [offer_percentage] => 
    [offers_product_main_cat] => 
)
PA 12 0621048
PA 12 0621048

N-(2-(2,6-Dioxopiperidin-3-yl)-1-oxoisoindolin-5-yl)-4-(piperazin-1-ylmethyl)benzamide hydrochloride


  • Catalogue No.:PA 12 0621048

  • CAS :

    NA

  • Molecular Formula : (C25H27N5O4) .x(HCl)

  • Molecular Weight : (461.52) .x(36.46)

stdClass Object
(
    [pname] => tert-Butyl (S)-(2,6-dioxopiperidin-3-yl)carbamate
    [catalogue_number] => PA 12 0621049
    [category_ids] => ,79,71,78,70,82,
    [chemical_name] => 
    [weight] => 228.25
    [form] => C10H16N2O4
    [cas] => 151367-92-9
    [pslug] => 151367-92-9-tert-butyl-s-2-6-dioxopiperidin-3-yl-carbamate-pa120621049
    [latest_product] => 0
    [linkproducts] => 0
    [offers_id] => 
    [offers_name] => 
    [offers_status] => 
    [offers_start_date] => 
    [offers_end_date] => 
    [pageview] => 
    [offers_slug] => 
    [offers_product_id] => 
    [offers_product_code] => 
    [offers_master_id] => 
    [offer_percentage] => 
    [offers_product_main_cat] => 
)
PA 12 0621049
PA 12 0621049

tert-Butyl (S)-(2,6-dioxopiperidin-3-yl)carbamate


  • Catalogue No.:PA 12 0621049

  • CAS :

    151367-92-9

  • Molecular Formula : C10H16N2O4

  • Molecular Weight : 228.25