atorvastatin acid

Impurities - A lipid lowering agent, Atorvastatin is used in the treatment of cardiovascular diseases.It is a competitive inhibitor of HMG-CoA reductase.It is a pyrrole and heptanoic acid derivative which acts as a ANTICHOLESTEREMIC AGENT that is used to reduce serum levels of LDL-CHOLESTEROL. Reference standards of Atorvastatin Acid API, and its pharmacopeial, non pharmacopeial impurities, and stable isotopes are listed below.

stdClass Object
(
    [pname] => Atorvastatin Acid
    [catalogue_number] => PA 01 83000
    [category_ids] => ,80,69,75,81,78,70,82,
    [chemical_name] => 
    [weight] => 558.64
    [form] => C33H35FN2O5
    [cas] => 134523-00-5
    [pslug] => 134523-00-5-atorvastatin-acid-api-pa0183000
    [latest_product] => 0
    [linkproducts] => 1
    [offers_id] => 
    [offers_name] => 
    [offers_status] => 
    [offers_start_date] => 
    [offers_end_date] => 
    [pageview] => 
    [offers_slug] => 
    [offers_product_id] => 
    [offers_product_code] => 
    [offers_master_id] => 
    [offer_percentage] => 
    [offers_product_main_cat] => 
)
PA 01 83000
PA 01 83000

Atorvastatin Acid


  • Catalogue No.:PA 01 83000

  • CAS :

    134523-00-5

  • Molecular Formula : C33H35FN2O5

  • Molecular Weight : 558.64

stdClass Object
(
    [pname] => Atorvastatin Acid - Impurity A (Calcium Salt)
    [catalogue_number] => PA 01 83010
    [category_ids] => ,70,75,76,78,80,82,
    [chemical_name] => 
    [weight] => 1119.38
    [form] => C66H70CaN4O10
    [cas] => 433289-83-9
    [pslug] => 433289-83-9-atorvastatin-acid-impurity-a-calcium-salt-pa0183010
    [latest_product] => 0
    [linkproducts] => 1
    [offers_id] => 
    [offers_name] => 
    [offers_status] => 
    [offers_start_date] => 
    [offers_end_date] => 
    [pageview] => 
    [offers_slug] => 
    [offers_product_id] => 
    [offers_product_code] => 
    [offers_master_id] => 
    [offer_percentage] => 
    [offers_product_main_cat] => 
)
PA 01 83010
PA 01 83010

Atorvastatin Acid - Impurity A (Calcium Salt)


  • Catalogue No.:PA 01 83010

  • CAS :

    433289-83-9

  • Molecular Formula : C66H70CaN4O10

  • Molecular Weight : 1119.38

stdClass Object
(
    [pname] => Atorvastatin Acid - Impurity C (Calcium Salt)
    [catalogue_number] => PA 01 83030
    [category_ids] => ,69,70,75,78,80,82,
    [chemical_name] => 
    [weight] => 1191.3
    [form] => C66H66CaF4N4O10
    [cas] => 693793-53-2
    [pslug] => 693793-53-2-atorvastatin-acid-impurity-c-calcium-salt-pa0183030
    [latest_product] => 0
    [linkproducts] => 1
    [offers_id] => 
    [offers_name] => 
    [offers_status] => 
    [offers_start_date] => 
    [offers_end_date] => 
    [pageview] => 
    [offers_slug] => 
    [offers_product_id] => 
    [offers_product_code] => 
    [offers_master_id] => 
    [offer_percentage] => 
    [offers_product_main_cat] => 
)
PA 01 83030
PA 01 83030

Atorvastatin Acid - Impurity C (Calcium Salt)


  • Catalogue No.:PA 01 83030

  • CAS :

    693793-53-2

  • Molecular Formula : C66H66CaF4N4O10

  • Molecular Weight : 1191.3

stdClass Object
(
    [pname] => Atorvastatin Acid - Impurity D
    [catalogue_number] => PA 01 83040
    [category_ids] => ,82,80,79,78,75,70,
    [chemical_name] => 
    [weight] => 431.46
    [form] => C26H22FNO4
    [cas] => 148146-51-4
    [pslug] => 148146-51-4-atorvastatin-acid-impurity-d-pa0183040
    [latest_product] => 0
    [linkproducts] => 0
    [offers_id] => 
    [offers_name] => 
    [offers_status] => 
    [offers_start_date] => 
    [offers_end_date] => 
    [pageview] => 
    [offers_slug] => 
    [offers_product_id] => 
    [offers_product_code] => 
    [offers_master_id] => 
    [offer_percentage] => 
    [offers_product_main_cat] => 
)
PA 01 83040
PA 01 83040

Atorvastatin Acid - Impurity D


  • Catalogue No.:PA 01 83040

  • CAS :

    148146-51-4

  • Molecular Formula : C26H22FNO4

  • Molecular Weight : 431.46

stdClass Object
(
    [pname] => Atorvastatin Acid - Impurity E (Calcium Salt)
    [catalogue_number] => PA 01 83051
    [category_ids] => ,69,70,75,76,78,80,81,82,
    [chemical_name] => 
    [weight] => 1155.34
    [form] => C66H68CaF2N4O10
    [cas] => 1105067-88-6
    [pslug] => 1105067-88-6-atorvastatin-acid-impurity-e-calcium-salt-pa0183051
    [latest_product] => 0
    [linkproducts] => 1
    [offers_id] => 
    [offers_name] => 
    [offers_status] => 
    [offers_start_date] => 
    [offers_end_date] => 
    [pageview] => 
    [offers_slug] => 
    [offers_product_id] => 
    [offers_product_code] => 
    [offers_master_id] => 
    [offer_percentage] => 
    [offers_product_main_cat] => 
)
PA 01 83051
PA 01 83051

Atorvastatin Acid - Impurity E (Calcium Salt)


  • Catalogue No.:PA 01 83051

  • CAS :

    1105067-88-6

  • Molecular Formula : C66H68CaF2N4O10

  • Molecular Weight : 1155.34

stdClass Object
(
    [pname] => Atorvastatin Acid - Impurity E (Freebase)
    [catalogue_number] => PA 01 83052
    [category_ids] => ,69,70,75,76,78,80,81,82,
    [chemical_name] => 
    [weight] => 558.64
    [form] => C33H35FN2O5
    [cas] => 501121-34-2
    [pslug] => 501121-34-2-atorvastatin-acid-impurity-e-freebase-pa0183052
    [latest_product] => 0
    [linkproducts] => 1
    [offers_id] => 
    [offers_name] => 
    [offers_status] => 
    [offers_start_date] => 
    [offers_end_date] => 
    [pageview] => 
    [offers_slug] => 
    [offers_product_id] => 
    [offers_product_code] => 
    [offers_master_id] => 
    [offer_percentage] => 
    [offers_product_main_cat] => 
)
PA 01 83052
PA 01 83052

Atorvastatin Acid - Impurity E (Freebase)


  • Catalogue No.:PA 01 83052

  • CAS :

    501121-34-2

  • Molecular Formula : C33H35FN2O5

  • Molecular Weight : 558.64

stdClass Object
(
    [pname] => Atorvastatin Acid - Impurity F (Calcium Salt)
    [catalogue_number] => PA 01 83060
    [category_ids] => ,69,70,75,76,78,82,
    [chemical_name] => 
    [weight] => 736.86
    [form] => C40H48FN3O8•0.5Ca
    [cas] => 1105067-87-5
    [pslug] => 1105067-87-5-atorvastatin-acid-impurity-f-calcium-salt-pa0183060
    [latest_product] => 0
    [linkproducts] => 1
    [offers_id] => 
    [offers_name] => 
    [offers_status] => 
    [offers_start_date] => 
    [offers_end_date] => 
    [pageview] => 
    [offers_slug] => 
    [offers_product_id] => 
    [offers_product_code] => 
    [offers_master_id] => 
    [offer_percentage] => 
    [offers_product_main_cat] => 
)
PA 01 83060
PA 01 83060

Atorvastatin Acid - Impurity F (Calcium Salt)


  • Catalogue No.:PA 01 83060

  • CAS :

    1105067-87-5

  • Molecular Formula : C40H48FN3O80.5Ca

  • Molecular Weight : 736.86

stdClass Object
(
    [pname] => Atorvastatin Acid - Impurity F (Freebase)
    [catalogue_number] => PA 01 83061
    [category_ids] => ,69,70,75,76,78,82,
    [chemical_name] => 
    [weight] => 717.82
    [form] => C40H48FN3O8
    [cas] => 887196-24-9
    [pslug] => 887196-24-9-atorvastatin-acid-impurity-f-freebase-pa0183061
    [latest_product] => 0
    [linkproducts] => 1
    [offers_id] => 
    [offers_name] => 
    [offers_status] => 
    [offers_start_date] => 
    [offers_end_date] => 
    [pageview] => 
    [offers_slug] => 
    [offers_product_id] => 
    [offers_product_code] => 
    [offers_master_id] => 
    [offer_percentage] => 
    [offers_product_main_cat] => 
)
PA 01 83061
PA 01 83061

Atorvastatin Acid - Impurity F (Freebase)


  • Catalogue No.:PA 01 83061

  • CAS :

    887196-24-9

  • Molecular Formula : C40H48FN3O8

  • Molecular Weight : 717.82

stdClass Object
(
    [pname] => Atorvastatin Acid - Impurity F (Sodium Salt)
    [catalogue_number] => PA 01 83062
    [category_ids] => ,69,70,75,76,78,82,
    [chemical_name] => 
    [weight] => 739.8
    [form] => C40H47FN3NaO8
    [cas] => 1371615-56-3
    [pslug] => 1371615-56-3-atorvastatin-acid-impurity-f-sodium-salt-pa0183062
    [latest_product] => 0
    [linkproducts] => 1
    [offers_id] => 
    [offers_name] => 
    [offers_status] => 
    [offers_start_date] => 
    [offers_end_date] => 
    [pageview] => 
    [offers_slug] => 
    [offers_product_id] => 
    [offers_product_code] => 
    [offers_master_id] => 
    [offer_percentage] => 
    [offers_product_main_cat] => 
)
PA 01 83062
PA 01 83062

Atorvastatin Acid - Impurity F (Sodium Salt)


  • Catalogue No.:PA 01 83062

  • CAS :

    1371615-56-3

  • Molecular Formula : C40H47FN3NaO8

  • Molecular Weight : 739.8

stdClass Object
(
    [pname] => Atorvastatin Acid - Impurity H
    [catalogue_number] => PA 01 83080
    [category_ids] => ,70,75,76,78,81,82,
    [chemical_name] => 
    [weight] => 540.62
    [form] => C33H33FN2O4
    [cas] => 125995-03-1
    [pslug] => 125995-03-1-atorvastatin-acid-impurity-h-pa0183080
    [latest_product] => 0
    [linkproducts] => 0
    [offers_id] => 
    [offers_name] => 
    [offers_status] => 
    [offers_start_date] => 
    [offers_end_date] => 
    [pageview] => 
    [offers_slug] => 
    [offers_product_id] => 
    [offers_product_code] => 
    [offers_master_id] => 
    [offer_percentage] => 
    [offers_product_main_cat] => 
)
PA 01 83080
PA 01 83080

Atorvastatin Acid - Impurity H


  • Catalogue No.:PA 01 83080

  • CAS :

    125995-03-1

  • Molecular Formula : C33H33FN2O4

  • Molecular Weight : 540.62

stdClass Object
(
    [pname] => Atorvastatin Acid - Impurity O (Sodium Salt)
    [catalogue_number] => PA 01 83150
    [category_ids] => ,69,70,75,78,80,82,
    [chemical_name] => 
    [weight] => 578.61
    [form] => C33H32FN2NaO5
    [cas] => NA
    [pslug] => atorvastatin-acid-impurity-o-sodium-salt-pa0183150
    [latest_product] => 0
    [linkproducts] => 1
    [offers_id] => 
    [offers_name] => 
    [offers_status] => 
    [offers_start_date] => 
    [offers_end_date] => 
    [pageview] => 
    [offers_slug] => 
    [offers_product_id] => 
    [offers_product_code] => 
    [offers_master_id] => 
    [offer_percentage] => 
    [offers_product_main_cat] => 
)
PA 01 83150
PA 01 83150

Atorvastatin Acid - Impurity O (Sodium Salt)


  • Catalogue No.:PA 01 83150

  • CAS :

    NA

  • Molecular Formula : C33H32FN2NaO5

  • Molecular Weight : 578.61

stdClass Object
(
    [pname] => Atorvastatin Epoxy Tetrahydrofuran Analog
    [catalogue_number] => PA 01 83520
    [category_ids] => ,82,80,78,75,70,69,
    [chemical_name] => 
    [weight] => 449.47
    [form] => C26H24FNO5
    [cas] => 873950-19-7
    [pslug] => 873950-19-7-atorvastatin-epoxy-tetrahydrofuran-analog-pa0183520
    [latest_product] => 0
    [linkproducts] => 0
    [offers_id] => 
    [offers_name] => 
    [offers_status] => 
    [offers_start_date] => 
    [offers_end_date] => 
    [pageview] => 
    [offers_slug] => 
    [offers_product_id] => 
    [offers_product_code] => 
    [offers_master_id] => 
    [offer_percentage] => 
    [offers_product_main_cat] => 
)
PA 01 83520
PA 01 83520

Atorvastatin Epoxy Tetrahydrofuran Analog


  • Catalogue No.:PA 01 83520

  • CAS :

    873950-19-7

  • Molecular Formula : C26H24FNO5

  • Molecular Weight : 449.47

stdClass Object
(
    [pname] => (3R,5R)-7-(9-Fluoro-2-isopropyl-3-(phenylcarbamoyl)-1H-dibenzo[e,g]indol-1-yl)-3,5-dihydroxyheptanoic Acid
    [catalogue_number] => PA 01 83525
    [category_ids] => ,80,69,75,78,70,82,
    [chemical_name] => 
    [weight] => 556.62
    [form] => C33H33FN2O5
    [cas] => 1086388-65-9
    [pslug] => 1086388-65-9-3r-5r-7-9-fluoro-2-isopropyl-3-phenylcarbamoyl-1h-dibenzo-e-g-indol-1-yl-3-5-dihydroxyheptanoic-acid-pa0183525
    [latest_product] => 0
    [linkproducts] => 0
    [offers_id] => 
    [offers_name] => 
    [offers_status] => 
    [offers_start_date] => 
    [offers_end_date] => 
    [pageview] => 
    [offers_slug] => 
    [offers_product_id] => 
    [offers_product_code] => 
    [offers_master_id] => 
    [offer_percentage] => 
    [offers_product_main_cat] => 
)
PA 01 83525
PA 01 83525

(3R,5R)-7-(9-Fluoro-2-isopropyl-3-(phenylcarbamoyl)-1H-dibenzo[e,g]indol-1-yl)-3,5-dihydroxyheptanoic Acid


  • Catalogue No.:PA 01 83525

  • CAS :

    1086388-65-9

  • Molecular Formula : C33H33FN2O5

  • Molecular Weight : 556.62

stdClass Object
(
    [pname] => Atorvastatin 3-Deoxy-Hept-2-Enoic Acid Ethyl Ester
    [catalogue_number] => PA 01 83530
    [category_ids] => ,75,80,70,78,82,69,
    [chemical_name] => 
    [weight] => 568.68
    [form] => C35H37FN2O4
    [cas] => 1624328-52-4
    [pslug] => 1624328-52-4-atorvastatin-3-deoxy-hept-2-enoic-acid-ethyl-ester-pa0183530
    [latest_product] => 0
    [linkproducts] => 0
    [offers_id] => 
    [offers_name] => 
    [offers_status] => 
    [offers_start_date] => 
    [offers_end_date] => 
    [pageview] => 
    [offers_slug] => 
    [offers_product_id] => 
    [offers_product_code] => 
    [offers_master_id] => 
    [offer_percentage] => 
    [offers_product_main_cat] => 
)
PA 01 83530
PA 01 83530

Atorvastatin 3-Deoxy-Hept-2-Enoic Acid Ethyl Ester


  • Catalogue No.:PA 01 83530

  • CAS :

    1624328-52-4

  • Molecular Formula : C35H37FN2O4

  • Molecular Weight : 568.68

stdClass Object
(
    [pname] => 2-Hydroxy Atorvastatin Calcium Salt
    [catalogue_number] => PA 01 83535
    [category_ids] => ,80,69,76,75,78,70,82,
    [chemical_name] => 
    [weight] => 1187.35
    [form] => C66H68CaF2N4O12
    [cas] => 265989-46-6
    [pslug] => 265989-46-6-2-hydroxy-atorvastatin-calcium-salt-pa0183535
    [latest_product] => 0
    [linkproducts] => 1
    [offers_id] => 
    [offers_name] => 
    [offers_status] => 
    [offers_start_date] => 
    [offers_end_date] => 
    [pageview] => 
    [offers_slug] => 
    [offers_product_id] => 
    [offers_product_code] => 
    [offers_master_id] => 
    [offer_percentage] => 
    [offers_product_main_cat] => 
)
PA 01 83535
PA 01 83535

2-Hydroxy Atorvastatin Calcium Salt


  • Catalogue No.:PA 01 83535

  • CAS :

    265989-46-6

  • Molecular Formula : C66H68CaF2N4O12

  • Molecular Weight : 1187.35

stdClass Object
(
    [pname] => Atorvastatin Acid - Impurity J (Sodium Salt)
    [catalogue_number] => PA 01 83540
    [category_ids] => ,89,82,80,78,76,75,70,
    [chemical_name] => 
    [weight] => 563.63
    [form] => C33H33FN2NaO4
    [cas] => NA
    [pslug] => atorvastatin-acid-impurity-j-sodium-salt-pa0183540
    [latest_product] => 0
    [linkproducts] => 1
    [offers_id] => 
    [offers_name] => 
    [offers_status] => 
    [offers_start_date] => 
    [offers_end_date] => 
    [pageview] => 
    [offers_slug] => 
    [offers_product_id] => 
    [offers_product_code] => 
    [offers_master_id] => 
    [offer_percentage] => 
    [offers_product_main_cat] => 
)
PA 01 83540
PA 01 83540

Atorvastatin Acid - Impurity J (Sodium Salt)


  • Catalogue No.:PA 01 83540

  • CAS :

    NA

  • Molecular Formula : C33H33FN2NaO4

  • Molecular Weight : 563.63

stdClass Object
(
    [pname] => Atorvastatin Acid - Impurity Q (Freebase)
    [catalogue_number] => PA 01 83545
    [category_ids] => ,70,75,76,78,80,82,
    [chemical_name] => 
    [weight] => 574.64
    [form] => C33H35FN2O6
    [cas] => 906552-18-9
    [pslug] => 906552-18-9-atorvastatin-acid-impurity-q-freebase-pa0183545
    [latest_product] => 1
    [linkproducts] => 1
    [offers_id] => 
    [offers_name] => 
    [offers_status] => 
    [offers_start_date] => 
    [offers_end_date] => 
    [pageview] => 
    [offers_slug] => 
    [offers_product_id] => 
    [offers_product_code] => 
    [offers_master_id] => 
    [offer_percentage] => 
    [offers_product_main_cat] => 
)
PA 01 83545
PA 01 83545

Atorvastatin Acid - Impurity Q (Freebase)

pharmaffiliates

  • Catalogue No.:PA 01 83545

  • CAS :

    906552-18-9

  • Molecular Formula : C33H35FN2O6

  • Molecular Weight : 574.64

stdClass Object
(
    [pname] => 3-Dehydroxy 2,3-Dehydro Atorvastatin Lactone
    [catalogue_number] => PA 01 83550
    [category_ids] => ,81,76,75,78,70,82,
    [chemical_name] => 
    [weight] => 522.61
    [form] => C33H31FN2O3
    [cas] => 442851-50-5
    [pslug] => 442851-50-5-3-dehydroxy-2-3-dehydro-atorvastatin-lactone-pa0183550
    [latest_product] => 0
    [linkproducts] => 0
    [offers_id] => 
    [offers_name] => 
    [offers_status] => 
    [offers_start_date] => 
    [offers_end_date] => 
    [pageview] => 
    [offers_slug] => 
    [offers_product_id] => 
    [offers_product_code] => 
    [offers_master_id] => 
    [offer_percentage] => 
    [offers_product_main_cat] => 
)
PA 01 83550
PA 01 83550

3-Dehydroxy 2,3-Dehydro Atorvastatin Lactone


  • Catalogue No.:PA 01 83550

  • CAS :

    442851-50-5

  • Molecular Formula : C33H31FN2O3

  • Molecular Weight : 522.61

stdClass Object
(
    [pname] => 2-Hydroxy Atorvastatin Dihydrate Monosodium Salt
    [catalogue_number] => PA 01 83555
    [category_ids] => ,80,69,76,75,78,70,82,
    [chemical_name] => 
    [weight] => 632.65
    [form] => C33H38FN2NaO8
    [cas] => 1421760-64-6
    [pslug] => 1421760-64-6-2-hydroxy-atorvastatin-dihydrate-monosodium-salt-pa0183555
    [latest_product] => 0
    [linkproducts] => 1
    [offers_id] => 
    [offers_name] => 
    [offers_status] => 
    [offers_start_date] => 
    [offers_end_date] => 
    [pageview] => 
    [offers_slug] => 
    [offers_product_id] => 
    [offers_product_code] => 
    [offers_master_id] => 
    [offer_percentage] => 
    [offers_product_main_cat] => 
)
PA 01 83555
PA 01 83555

2-Hydroxy Atorvastatin Dihydrate Monosodium Salt


  • Catalogue No.:PA 01 83555

  • CAS :

    1421760-64-6

  • Molecular Formula : C33H38FN2NaO8

  • Molecular Weight : 632.65

stdClass Object
(
    [pname] => Atorvastatin Sodium
    [catalogue_number] => PA 01 83570
    [category_ids] => ,69,70,75,78,80,81,82,
    [chemical_name] => 
    [weight] => 580.62
    [form] => C33H34FN2NaO5
    [cas] => 134523-01-6
    [pslug] => 134523-01-6-atorvastatin-sodium-api-pa0183570
    [latest_product] => 0
    [linkproducts] => 1
    [offers_id] => 
    [offers_name] => 
    [offers_status] => 
    [offers_start_date] => 
    [offers_end_date] => 
    [pageview] => 
    [offers_slug] => 
    [offers_product_id] => 
    [offers_product_code] => 
    [offers_master_id] => 
    [offer_percentage] => 
    [offers_product_main_cat] => 
)
PA 01 83570
PA 01 83570

Atorvastatin Sodium


  • Catalogue No.:PA 01 83570

  • CAS :

    134523-01-6

  • Molecular Formula : C33H34FN2NaO5

  • Molecular Weight : 580.62

stdClass Object
(
    [pname] => Dihydroxy Diketo Atorvastatin Impurity
    [catalogue_number] => PA 01 83585
    [category_ids] => ,80,69,75,78,70,82,
    [chemical_name] => 
    [weight] => 449.47
    [form] => C26H24FNO5
    [cas] => 1046118-44-8
    [pslug] => 1046118-44-8-dihydroxy-diketo-atorvastatin-impurity-pa0183585
    [latest_product] => 0
    [linkproducts] => 0
    [offers_id] => 
    [offers_name] => 
    [offers_status] => 
    [offers_start_date] => 
    [offers_end_date] => 
    [pageview] => 
    [offers_slug] => 
    [offers_product_id] => 
    [offers_product_code] => 
    [offers_master_id] => 
    [offer_percentage] => 
    [offers_product_main_cat] => 
)
PA 01 83585
PA 01 83585

Dihydroxy Diketo Atorvastatin Impurity


  • Catalogue No.:PA 01 83585

  • CAS :

    1046118-44-8

  • Molecular Formula : C26H24FNO5

  • Molecular Weight : 449.47

stdClass Object
(
    [pname] => Atorvastatin Calcium Trihydrate
    [catalogue_number] => PA 01 83590
    [category_ids] => ,80,76,75,78,70,82,89,
    [chemical_name] => 
    [weight] => 1209.39
    [form] => C66H74CaF2N4O13
    [cas] => 344423-98-9
    [pslug] => 344423-98-9-atorvastatin-calcium-trihydrate-pa0183590
    [latest_product] => 0
    [linkproducts] => 1
    [offers_id] => 
    [offers_name] => 
    [offers_status] => 
    [offers_start_date] => 
    [offers_end_date] => 
    [pageview] => 
    [offers_slug] => 
    [offers_product_id] => 
    [offers_product_code] => 
    [offers_master_id] => 
    [offer_percentage] => 
    [offers_product_main_cat] => 
)
PA 01 83590
PA 01 83590

Atorvastatin Calcium Trihydrate


  • Catalogue No.:PA 01 83590

  • CAS :

    344423-98-9

  • Molecular Formula : C66H74CaF2N4O13

  • Molecular Weight : 1209.39

stdClass Object
(
    [pname] => (4S,cis)-1,1-Dimethylethyl-6-aminoethyl-2,2-dimethyl-1,3-dioxane-4-acetate
    [catalogue_number] => PA 01 83730
    [category_ids] => ,79,69,76,75,78,70,82,
    [chemical_name] => 
    [weight] => 273.37
    [form] => C14H27NO4
    [cas] => 947586-93-8
    [pslug] => 947586-93-8-4s-cis-1-1-dimethylethyl-6-aminoethyl-2-2-dimethyl-1-3-dioxane-4-acetate-pa0183730
    [latest_product] => 0
    [linkproducts] => 0
    [offers_id] => 
    [offers_name] => 
    [offers_status] => 
    [offers_start_date] => 
    [offers_end_date] => 
    [pageview] => 
    [offers_slug] => 
    [offers_product_id] => 
    [offers_product_code] => 
    [offers_master_id] => 
    [offer_percentage] => 
    [offers_product_main_cat] => 
)
PA 01 83730
PA 01 83730

(4S,cis)-1,1-Dimethylethyl-6-aminoethyl-2,2-dimethyl-1,3-dioxane-4-acetate


  • Catalogue No.:PA 01 83730

  • CAS :

    947586-93-8

  • Molecular Formula : C14H27NO4

  • Molecular Weight : 273.37

stdClass Object
(
    [pname] => Atorvastatin Cyclic Fluorophenyl Sodium Salt Impurity
    [catalogue_number] => PA 01 83740
    [category_ids] => ,80,70,75,78,82,
    [chemical_name] => 
    [weight] => 612.62
    [form] => C33H34FN2NaO7
    [cas] => 1315629-79-8
    [pslug] => 1315629-79-8-atorvastatin-cyclic-fluorophenyl-sodium-salt-impurity-pa0183740
    [latest_product] => 0
    [linkproducts] => 1
    [offers_id] => 
    [offers_name] => 
    [offers_status] => 
    [offers_start_date] => 
    [offers_end_date] => 
    [pageview] => 
    [offers_slug] => 
    [offers_product_id] => 
    [offers_product_code] => 
    [offers_master_id] => 
    [offer_percentage] => 
    [offers_product_main_cat] => 
)
PA 01 83740
PA 01 83740

Atorvastatin Cyclic Fluorophenyl Sodium Salt Impurity


  • Catalogue No.:PA 01 83740

  • CAS :

    1315629-79-8

  • Molecular Formula : C33H34FN2NaO7

  • Molecular Weight : 612.62

stdClass Object
(
    [pname] => (4R,cis)-1,1-Dimethylethyl-6-aminoethyl-2,2-dimethyl-1,3-dioxane-4-acetate
    [catalogue_number] => PA 01 83750
    [category_ids] => ,80,75,78,70,82,
    [chemical_name] => 
    [weight] => 273.37
    [form] => C14H27NO4
    [cas] => 125995-13-3
    [pslug] => 125995-13-3-4r-cis-1-1-dimethylethyl-6-aminoethyl-2-2-dimethyl-1-3-dioxane-4-acetate-pa0183750
    [latest_product] => 0
    [linkproducts] => 0
    [offers_id] => 
    [offers_name] => 
    [offers_status] => 
    [offers_start_date] => 
    [offers_end_date] => 
    [pageview] => 
    [offers_slug] => 
    [offers_product_id] => 
    [offers_product_code] => 
    [offers_master_id] => 
    [offer_percentage] => 
    [offers_product_main_cat] => 
)
PA 01 83750
PA 01 83750

(4R,cis)-1,1-Dimethylethyl-6-aminoethyl-2,2-dimethyl-1,3-dioxane-4-acetate


  • Catalogue No.:PA 01 83750

  • CAS :

    125995-13-3

  • Molecular Formula : C14H27NO4

  • Molecular Weight : 273.37

stdClass Object
(
    [pname] => 2-(2-(2-(4-fluoro-phenyl)-2-oxo-1-phenyl-ethyl)-4-methyl-3-oxo-pentanoylamino)-3-phenyl-propionic Acid Ethyl Ester
    [catalogue_number] => PA 01 83760
    [category_ids] => ,80,75,78,70,82,
    [chemical_name] => 
    [weight] => 517.59
    [form] => C31H32FNO5
    [cas] => NA
    [pslug] => 2-2-2-4-fluoro-phenyl-2-oxo-1-phenyl-ethyl-4-methyl-3-oxo-pentanoylamino-3-phenyl-propionic-acid-ethyl-ester-pa0183760
    [latest_product] => 0
    [linkproducts] => 0
    [offers_id] => 
    [offers_name] => 
    [offers_status] => 
    [offers_start_date] => 
    [offers_end_date] => 
    [pageview] => 
    [offers_slug] => 
    [offers_product_id] => 
    [offers_product_code] => 
    [offers_master_id] => 
    [offer_percentage] => 
    [offers_product_main_cat] => 
)
PA 01 83760
PA 01 83760

2-(2-(2-(4-fluoro-phenyl)-2-oxo-1-phenyl-ethyl)-4-methyl-3-oxo-pentanoylamino)-3-phenyl-propionic Acid Ethyl Ester


  • Catalogue No.:PA 01 83760

  • CAS :

    NA

  • Molecular Formula : C31H32FNO5

  • Molecular Weight : 517.59

stdClass Object
(
    [pname] => Atorvastatin Pyrrolidone Lactone
    [catalogue_number] => PA 01 83770
    [category_ids] => ,82,80,78,75,70,
    [chemical_name] => 
    [weight] => 556.62
    [form] => C33H33FN2O5
    [cas] => 906552-19-0
    [pslug] => 906552-19-0-atorvastatin-pyrrolidone-lactone-pa0183770
    [latest_product] => 0
    [linkproducts] => 0
    [offers_id] => 
    [offers_name] => 
    [offers_status] => 
    [offers_start_date] => 
    [offers_end_date] => 
    [pageview] => 
    [offers_slug] => 
    [offers_product_id] => 
    [offers_product_code] => 
    [offers_master_id] => 
    [offer_percentage] => 
    [offers_product_main_cat] => 
)
PA 01 83770
PA 01 83770

Atorvastatin Pyrrolidone Lactone


  • Catalogue No.:PA 01 83770

  • CAS :

    906552-19-0

  • Molecular Formula : C33H33FN2O5

  • Molecular Weight : 556.62

stdClass Object
(
    [pname] => rel-(3R,5S)-Atorvastatin Sodium Salt
    [catalogue_number] => PA 01 83780
    [category_ids] => ,80,82,78,75,70,
    [chemical_name] => 
    [weight] => 580.62
    [form] => C33H34FN2NaO5
    [cas] => 131275-93-9
    [pslug] => 131275-93-9-rel-3r-5s-atorvastatin-sodium-salt-pa0183780
    [latest_product] => 0
    [linkproducts] => 0
    [offers_id] => 
    [offers_name] => 
    [offers_status] => 
    [offers_start_date] => 
    [offers_end_date] => 
    [pageview] => 
    [offers_slug] => 
    [offers_product_id] => 
    [offers_product_code] => 
    [offers_master_id] => 
    [offer_percentage] => 
    [offers_product_main_cat] => 
)
PA 01 83780
PA 01 83780

rel-(3R,5S)-Atorvastatin Sodium Salt


  • Catalogue No.:PA 01 83780

  • CAS :

    131275-93-9

  • Molecular Formula : C33H34FN2NaO5

  • Molecular Weight : 580.62

stdClass Object
(
    [pname] => P-Hydroxy Atorvastatin
    [catalogue_number] => PA 01 83790
    [category_ids] => ,80,75,78,70,82,
    [chemical_name] => 
    [weight] => 574.64
    [form] => C33H35FN2O6
    [cas] => 214217-88-6
    [pslug] => 214217-88-6-p-hydroxy-atorvastatin-pa0183790
    [latest_product] => 0
    [linkproducts] => 1
    [offers_id] => 
    [offers_name] => 
    [offers_status] => 
    [offers_start_date] => 
    [offers_end_date] => 
    [pageview] => 
    [offers_slug] => 
    [offers_product_id] => 
    [offers_product_code] => 
    [offers_master_id] => 
    [offer_percentage] => 
    [offers_product_main_cat] => 
)
PA 01 83790
PA 01 83790

P-Hydroxy Atorvastatin


  • Catalogue No.:PA 01 83790

  • CAS :

    214217-88-6

  • Molecular Formula : C33H35FN2O6

  • Molecular Weight : 574.64

stdClass Object
(
    [pname] => O-Hydroxy Atorvastatin
    [catalogue_number] => PA 01 83800
    [category_ids] => ,75,80,70,78,82,
    [chemical_name] => 
    [weight] => 574.64
    [form] => C33H35FN2O6
    [cas] => 214217-86-4
    [pslug] => 214217-86-4-o-hydroxy-atorvastatin-pa0183800
    [latest_product] => 0
    [linkproducts] => 1
    [offers_id] => 
    [offers_name] => 
    [offers_status] => 
    [offers_start_date] => 
    [offers_end_date] => 
    [pageview] => 
    [offers_slug] => 
    [offers_product_id] => 
    [offers_product_code] => 
    [offers_master_id] => 
    [offer_percentage] => 
    [offers_product_main_cat] => 
)
PA 01 83800
PA 01 83800

O-Hydroxy Atorvastatin


  • Catalogue No.:PA 01 83800

  • CAS :

    214217-86-4

  • Molecular Formula : C33H35FN2O6

  • Molecular Weight : 574.64

stdClass Object
(
    [pname] => Atorvastatin Lactone Diepoxide
    [catalogue_number] => PA 01 83810
    [category_ids] => ,80,75,78,70,82,
    [chemical_name] => 
    [weight] => 572.62
    [form] => C33H33FN2O6
    [cas] => 1046118-40-4
    [pslug] => 1046118-40-4-atorvastatin-lactone-diepoxide-pa0183810
    [latest_product] => 0
    [linkproducts] => 0
    [offers_id] => 
    [offers_name] => 
    [offers_status] => 
    [offers_start_date] => 
    [offers_end_date] => 
    [pageview] => 
    [offers_slug] => 
    [offers_product_id] => 
    [offers_product_code] => 
    [offers_master_id] => 
    [offer_percentage] => 
    [offers_product_main_cat] => 
)
PA 01 83810
PA 01 83810

Atorvastatin Lactone Diepoxide


  • Catalogue No.:PA 01 83810

  • CAS :

    1046118-40-4

  • Molecular Formula : C33H33FN2O6

  • Molecular Weight : 572.62

stdClass Object
(
    [pname] => Atorvastatin Cyclic Fluorophenyl Impurity
    [catalogue_number] => PA 01 83820
    [category_ids] => ,80,70,75,78,82,
    [chemical_name] => 
    [weight] => 590.64
    [form] => C33H35FN2O7
    [cas] => 873950-18-6
    [pslug] => 873950-18-6-atorvastatin-cyclic-fluorophenyl-impurity-pa0183820
    [latest_product] => 0
    [linkproducts] => 1
    [offers_id] => 
    [offers_name] => 
    [offers_status] => 
    [offers_start_date] => 
    [offers_end_date] => 
    [pageview] => 
    [offers_slug] => 
    [offers_product_id] => 
    [offers_product_code] => 
    [offers_master_id] => 
    [offer_percentage] => 
    [offers_product_main_cat] => 
)
PA 01 83820
PA 01 83820

Atorvastatin Cyclic Fluorophenyl Impurity


  • Catalogue No.:PA 01 83820

  • CAS :

    873950-18-6

  • Molecular Formula : C33H35FN2O7

  • Molecular Weight : 590.64

stdClass Object
(
    [pname] => 3-Des Hydroxy Atorvastatin
    [catalogue_number] => PA 01 83830
    [category_ids] => ,80,75,78,70,82,
    [chemical_name] => 
    [weight] => 542.64
    [form] => C33H35FN2O4
    [cas] => 887196-26-1
    [pslug] => 887196-26-1-3-des-hydroxy-atorvastatin-pa0183830
    [latest_product] => 0
    [linkproducts] => 0
    [offers_id] => 
    [offers_name] => 
    [offers_status] => 
    [offers_start_date] => 
    [offers_end_date] => 
    [pageview] => 
    [offers_slug] => 
    [offers_product_id] => 
    [offers_product_code] => 
    [offers_master_id] => 
    [offer_percentage] => 
    [offers_product_main_cat] => 
)
PA 01 83830
PA 01 83830

3-Des Hydroxy Atorvastatin


  • Catalogue No.:PA 01 83830

  • CAS :

    887196-26-1

  • Molecular Formula : C33H35FN2O4

  • Molecular Weight : 542.64

stdClass Object
(
    [pname] => 2-Hydroxy Atorvastatin Disodium Salt
    [catalogue_number] => PA 01 83880
    [category_ids] => ,80,69,98,76,75,78,70,82,
    [chemical_name] => 
    [weight] => 620.63
    [form] => C33H35FN2Na2O6
    [cas] => 1581251-44-6
    [pslug] => 1581251-44-6-2-hydroxy-atorvastatin-disodium-salt-pa0183880
    [latest_product] => 0
    [linkproducts] => 1
    [offers_id] => 
    [offers_name] => 
    [offers_status] => 
    [offers_start_date] => 
    [offers_end_date] => 
    [pageview] => 
    [offers_slug] => 
    [offers_product_id] => 
    [offers_product_code] => 
    [offers_master_id] => 
    [offer_percentage] => 
    [offers_product_main_cat] => 
)
PA 01 83880
PA 01 83880

2-Hydroxy Atorvastatin Disodium Salt


  • Catalogue No.:PA 01 83880

  • CAS :

    1581251-44-6

  • Molecular Formula : C33H35FN2Na2O6

  • Molecular Weight : 620.63

stdClass Object
(
    [pname] => 3-(4-Fluorobenzoyl)-2-(2-methylpropyl)-N,3-diphenyl-2-oxiranecarboxamide
    [catalogue_number] => PA 01 83900
    [category_ids] => ,79,80,75,78,70,82,
    [chemical_name] => 
    [weight] => 417.47
    [form] => C26H24FNO3
    [cas] => 1246818-88-1
    [pslug] => 1246818-88-1-3-4-fluorobenzoyl-2-2-methylpropyl-n-3-diphenyl-2-oxiranecarboxamide-pa0183900
    [latest_product] => 0
    [linkproducts] => 0
    [offers_id] => 
    [offers_name] => 
    [offers_status] => 
    [offers_start_date] => 
    [offers_end_date] => 
    [pageview] => 
    [offers_slug] => 
    [offers_product_id] => 
    [offers_product_code] => 
    [offers_master_id] => 
    [offer_percentage] => 
    [offers_product_main_cat] => 
)
PA 01 83900
PA 01 83900

3-(4-Fluorobenzoyl)-2-(2-methylpropyl)-N,3-diphenyl-2-oxiranecarboxamide


  • Catalogue No.:PA 01 83900

  • CAS :

    1246818-88-1

  • Molecular Formula : C26H24FNO3

  • Molecular Weight : 417.47

stdClass Object
(
    [pname] => Atorvastatin Lactam Phenanthrene Calcium Salt Impurity
    [catalogue_number] => PA 01 83910
    [category_ids] => ,80,69,75,78,70,82,
    [chemical_name] => 
    [weight] => 591.66
    [form] => C33H320.5CaFN2O6
    [cas] => 148127-12-2
    [pslug] => 148127-12-2-atorvastatin-lactam-phenanthrene-calcium-salt-impurity-pa0183910
    [latest_product] => 0
    [linkproducts] => 0
    [offers_id] => 
    [offers_name] => 
    [offers_status] => 
    [offers_start_date] => 
    [offers_end_date] => 
    [pageview] => 
    [offers_slug] => 
    [offers_product_id] => 
    [offers_product_code] => 
    [offers_master_id] => 
    [offer_percentage] => 
    [offers_product_main_cat] => 
)
PA 01 83910
PA 01 83910

Atorvastatin Lactam Phenanthrene Calcium Salt Impurity


  • Catalogue No.:PA 01 83910

  • CAS :

    148127-12-2

  • Molecular Formula : C33H320.5CaFN2O6

  • Molecular Weight : 591.66

stdClass Object
(
    [pname] => N,3-Diphenyl-2-(2-methyl-1-oxopropyl)4-oxo-N-benzenebutanamide
    [catalogue_number] => PA 01 83920
    [category_ids] => ,79,80,75,78,70,82,
    [chemical_name] => 
    [weight] => 399.48
    [form] => C26H25NO3
    [cas] => 444577-70-2
    [pslug] => 444577-70-2-n-3-diphenyl-2-2-methyl-1-oxopropyl-4-oxo-n-benzenebutanamide-pa0183920
    [latest_product] => 0
    [linkproducts] => 0
    [offers_id] => 
    [offers_name] => 
    [offers_status] => 
    [offers_start_date] => 
    [offers_end_date] => 
    [pageview] => 
    [offers_slug] => 
    [offers_product_id] => 
    [offers_product_code] => 
    [offers_master_id] => 
    [offer_percentage] => 
    [offers_product_main_cat] => 
)
PA 01 83920
PA 01 83920

N,3-Diphenyl-2-(2-methyl-1-oxopropyl)4-oxo-N-benzenebutanamide


  • Catalogue No.:PA 01 83920

  • CAS :

    444577-70-2

  • Molecular Formula : C26H25NO3

  • Molecular Weight : 399.48

stdClass Object
(
    [pname] => Atorvastatin Difluoro Impurity
    [catalogue_number] => PA 01 83930
    [category_ids] => ,79,80,75,78,70,82,89,
    [chemical_name] => 
    [weight] => 435.46
    [form] => C26H23F2NO3
    [cas] => 693793-82-7
    [pslug] => 693793-82-7-atorvastatin-difluoro-impurity-pa0183930
    [latest_product] => 0
    [linkproducts] => 0
    [offers_id] => 
    [offers_name] => 
    [offers_status] => 
    [offers_start_date] => 
    [offers_end_date] => 
    [pageview] => 
    [offers_slug] => 
    [offers_product_id] => 
    [offers_product_code] => 
    [offers_master_id] => 
    [offer_percentage] => 
    [offers_product_main_cat] => 
)
PA 01 83930
PA 01 83930

Atorvastatin Difluoro Impurity


  • Catalogue No.:PA 01 83930

  • CAS :

    693793-82-7

  • Molecular Formula : C26H23F2NO3

  • Molecular Weight : 435.46

stdClass Object
(
    [pname] => 3-Fluoro-α-(2-methyl-1-oxopropyl)-γ-oxo-N,β-diphenyl-benzenebutanamide
    [catalogue_number] => PA 01 83960
    [category_ids] => ,80,78,70,82,75,
    [chemical_name] => 
    [weight] => 417.47
    [form] => C26H24FNO3
    [cas] => 1817798-20-1
    [pslug] => 1817798-20-1-3-fluoro-alpha-2-methyl-1-oxopropyl-gamma-oxo-n-beta-diphenyl-benzenebutanamide-pa0183960
    [latest_product] => 0
    [linkproducts] => 0
    [offers_id] => 
    [offers_name] => 
    [offers_status] => 
    [offers_start_date] => 
    [offers_end_date] => 
    [pageview] => 
    [offers_slug] => 
    [offers_product_id] => 
    [offers_product_code] => 
    [offers_master_id] => 
    [offer_percentage] => 
    [offers_product_main_cat] => 
)
PA 01 83960
PA 01 83960

3-Fluoro-α-(2-methyl-1-oxopropyl)-γ-oxo-N,β-diphenyl-benzenebutanamide


  • Catalogue No.:PA 01 83960

  • CAS :

    1817798-20-1

  • Molecular Formula : C26H24FNO3

  • Molecular Weight : 417.47

stdClass Object
(
    [pname] => tert-Butyl 2-((4R,6S)-6-(2-aminoethyl)-2,2-dimethyl-1,3-dioxan-4-yl)acetate
    [catalogue_number] => PA 01 83970
    [category_ids] => ,92,96,75,70,82,
    [chemical_name] => 
    [weight] => 273.37
    [form] => C14H27NO4
    [cas] => 2088732-01-6
    [pslug] => 2088732-01-6-tert-butyl-2-4r-6s-6-2-aminoethyl-2-2-dimethyl-1-3-dioxan-4-yl-acetate-pa0183970
    [latest_product] => 0
    [linkproducts] => 0
    [offers_id] => 
    [offers_name] => 
    [offers_status] => 
    [offers_start_date] => 
    [offers_end_date] => 
    [pageview] => 
    [offers_slug] => 
    [offers_product_id] => 
    [offers_product_code] => 
    [offers_master_id] => 
    [offer_percentage] => 
    [offers_product_main_cat] => 
)
PA 01 83970
PA 01 83970

tert-Butyl 2-((4R,6S)-6-(2-aminoethyl)-2,2-dimethyl-1,3-dioxan-4-yl)acetate


  • Catalogue No.:PA 01 83970

  • CAS :

    2088732-01-6

  • Molecular Formula : C14H27NO4

  • Molecular Weight : 273.37

stdClass Object
(
    [pname] => 1-((3R,5R)-7-Amino-3,5-dihydroxy-7-oxoheptyl)-5-(4-fluorophenyl)-2-isopropyl-N,4-diphenyl-1H-pyrrole-3-carboxamide
    [catalogue_number] => PA 01 0831001
    [category_ids] => ,76,75,78,82,
    [chemical_name] => 
    [weight] => 557.67
    [form] => C33H36FN3O4
    [cas] => 2125501-02-0
    [pslug] => 2125501-02-0-1-3r-5r-7-amino-3-5-dihydroxy-7-oxoheptyl-5-4-fluorophenyl-2-isopropyl-n-4-diphenyl-1h-pyrrole-3-carboxamide-pa010831001
    [latest_product] => 0
    [linkproducts] => 0
    [offers_id] => 
    [offers_name] => 
    [offers_status] => 
    [offers_start_date] => 
    [offers_end_date] => 
    [pageview] => 
    [offers_slug] => 
    [offers_product_id] => 
    [offers_product_code] => 
    [offers_master_id] => 
    [offer_percentage] => 
    [offers_product_main_cat] => 
)
PA 01 0831001
PA 01 0831001

1-((3R,5R)-7-Amino-3,5-dihydroxy-7-oxoheptyl)-5-(4-fluorophenyl)-2-isopropyl-N,4-diphenyl-1H-pyrrole-3-carboxamide


  • Catalogue No.:PA 01 0831001

  • CAS :

    2125501-02-0

  • Molecular Formula : C33H36FN3O4

  • Molecular Weight : 557.67

stdClass Object
(
    [pname] => Atorvastatin 2,3,4,5-Dianhydro Acid
    [catalogue_number] => PA 01 0831002
    [category_ids] => ,75,76,78,82,
    [chemical_name] => 
    [weight] => 522.62
    [form] => C33H31FN2O3
    [cas] => 2588261-49-6
    [pslug] => 2588261-49-6-atorvastatin-2-3-4-5-dianhydro-acid-pa010831002
    [latest_product] => 0
    [linkproducts] => 0
    [offers_id] => 
    [offers_name] => 
    [offers_status] => 
    [offers_start_date] => 
    [offers_end_date] => 
    [pageview] => 
    [offers_slug] => 
    [offers_product_id] => 
    [offers_product_code] => 
    [offers_master_id] => 
    [offer_percentage] => 
    [offers_product_main_cat] => 
)
PA 01 0831002
PA 01 0831002

Atorvastatin 2,3,4,5-Dianhydro Acid


  • Catalogue No.:PA 01 0831002

  • CAS :

    2588261-49-6

  • Molecular Formula : C33H31FN2O3

  • Molecular Weight : 522.62

stdClass Object
(
    [pname] => Atorvastatin Isopropyl Ester
    [catalogue_number] => PA 01 0831003
    [category_ids] => ,78,75,76,82,
    [chemical_name] => 
    [weight] => 600.73
    [form] => C36H41FN2O5
    [cas] => 1035205-25-4
    [pslug] => 1035205-25-4-atorvastatin-isopropyl-ester-pa010831003
    [latest_product] => 0
    [linkproducts] => 0
    [offers_id] => 
    [offers_name] => 
    [offers_status] => 
    [offers_start_date] => 
    [offers_end_date] => 
    [pageview] => 
    [offers_slug] => 
    [offers_product_id] => 
    [offers_product_code] => 
    [offers_master_id] => 
    [offer_percentage] => 
    [offers_product_main_cat] => 
)
PA 01 0831003
PA 01 0831003

Atorvastatin Isopropyl Ester


  • Catalogue No.:PA 01 0831003

  • CAS :

    1035205-25-4

  • Molecular Formula : C36H41FN2O5

  • Molecular Weight : 600.73

stdClass Object
(
    [pname] => Atorvastatin Pyrrolidone Phenanthrene Sodium
    [catalogue_number] => PA 01 0831005
    [category_ids] => ,70,75,76,78,82,
    [chemical_name] => 
    [weight] => 594.62
    [form] => C33H32FN2NaO6
    [cas] => 1428125-03-4
    [pslug] => 1428125-03-4-atorvastatin-pyrrolidone-phenanthrene-sodium-pa010831005
    [latest_product] => 0
    [linkproducts] => 0
    [offers_id] => 
    [offers_name] => 
    [offers_status] => 
    [offers_start_date] => 
    [offers_end_date] => 
    [pageview] => 
    [offers_slug] => 
    [offers_product_id] => 
    [offers_product_code] => 
    [offers_master_id] => 
    [offer_percentage] => 
    [offers_product_main_cat] => 
)
PA 01 0831005
PA 01 0831005

Atorvastatin Pyrrolidone Phenanthrene Sodium


  • Catalogue No.:PA 01 0831005

  • CAS :

    1428125-03-4

  • Molecular Formula : C33H32FN2NaO6

  • Molecular Weight : 594.62

stdClass Object
(
    [pname] => (3S,5R)-Atorvastatin Calcium Salt
    [catalogue_number] => PA 01 0831004
    [category_ids] => ,70,75,76,78,82,
    [chemical_name] => 
    [weight] => 1155.34
    [form] => C66H68CaF2N4O10
    [cas] => 887196-25-0
    [pslug] => 887196-25-0-3s-5r-atorvastatin-calcium-salt-pa010831004
    [latest_product] => 0
    [linkproducts] => 0
    [offers_id] => 
    [offers_name] => 
    [offers_status] => 
    [offers_start_date] => 
    [offers_end_date] => 
    [pageview] => 
    [offers_slug] => 
    [offers_product_id] => 
    [offers_product_code] => 
    [offers_master_id] => 
    [offer_percentage] => 
    [offers_product_main_cat] => 
)
PA 01 0831004
PA 01 0831004

(3S,5R)-Atorvastatin Calcium Salt


  • Catalogue No.:PA 01 0831004

  • CAS :

    887196-25-0

  • Molecular Formula : C66H68CaF2N4O10

  • Molecular Weight : 1155.34

stdClass Object
(
    [pname] => Atorvastatin Acid - Impurity B
    [catalogue_number] => PA 01 0830020
    [category_ids] => ,82,78,76,75,70,
    [chemical_name] => 
    [weight] => 558.65
    [form] => C33H35FN2O5
    [cas] => 842103-12-2
    [pslug] => 842103-12-2-atorvastatin-acid-impurity-b-pa010830020
    [latest_product] => 0
    [linkproducts] => 1
    [offers_id] => 
    [offers_name] => 
    [offers_status] => 
    [offers_start_date] => 
    [offers_end_date] => 
    [pageview] => 
    [offers_slug] => 
    [offers_product_id] => 
    [offers_product_code] => 
    [offers_master_id] => 
    [offer_percentage] => 
    [offers_product_main_cat] => 
)
PA 01 0830020
PA 01 0830020

Atorvastatin Acid - Impurity B


  • Catalogue No.:PA 01 0830020

  • CAS :

    842103-12-2

  • Molecular Formula : C33H35FN2O5

  • Molecular Weight : 558.65

stdClass Object
(
    [pname] => Atorvastatin Acid - Impurity O (Calcium Salt)
    [catalogue_number] => PA 01 0830151
    [category_ids] => ,75,76,78,82,
    [chemical_name] => 
    [weight] => 1151.31
    [form] => C66H64CaF2N4O10
    [cas] => NA
    [pslug] => atorvastatin-acid-impurity-o-calcium-salt-pa010830151
    [latest_product] => 0
    [linkproducts] => 1
    [offers_id] => 
    [offers_name] => 
    [offers_status] => 
    [offers_start_date] => 
    [offers_end_date] => 
    [pageview] => 
    [offers_slug] => 
    [offers_product_id] => 
    [offers_product_code] => 
    [offers_master_id] => 
    [offer_percentage] => 
    [offers_product_main_cat] => 
)
PA 01 0830151
PA 01 0830151

Atorvastatin Acid - Impurity O (Calcium Salt)


  • Catalogue No.:PA 01 0830151

  • CAS :

    NA

  • Molecular Formula : C66H64CaF2N4O10

  • Molecular Weight : 1151.31

stdClass Object
(
    [pname] => 4-Hydroxy atorvastatin lactone-d5
    [catalogue_number] => PA STI 088732
    [category_ids] => ,98,123,81,75,76,78,70,82,
    [chemical_name] => 
    [weight] => 561.66
    [form] =>  C33H28D5FN2O5
    [cas] => 265989-49-9
    [pslug] => 265989-49-9-4-hydroxy-atorvastatin-lactone-d5-pasti088732
    [latest_product] => 0
    [linkproducts] => 0
    [offers_id] => 
    [offers_name] => 
    [offers_status] => 
    [offers_start_date] => 
    [offers_end_date] => 
    [pageview] => 
    [offers_slug] => 
    [offers_product_id] => 
    [offers_product_code] => 
    [offers_master_id] => 
    [offer_percentage] => 
    [offers_product_main_cat] => 
)
PA STI 088732
PA STI 088732

4-Hydroxy atorvastatin lactone-d5


  • Catalogue No.:PA STI 088732

  • CAS :

    265989-49-9

  • Molecular Formula : C33H28D5FN2O5

  • Molecular Weight : 561.66

stdClass Object
(
    [pname] => (3S,5R)-Atorvastatin methyl ester
    [catalogue_number] => PA 01 0831006
    [category_ids] => ,75,76,78,70,82,
    [chemical_name] => 
    [weight] => 572.68
    [form] => C34H37FN2O5
    [cas] => 1429437-85-3
    [pslug] => 1429437-85-3-3s-5r-atorvastatin-methyl-ester-pa010831006
    [latest_product] => 0
    [linkproducts] => 0
    [offers_id] => 
    [offers_name] => 
    [offers_status] => 
    [offers_start_date] => 
    [offers_end_date] => 
    [pageview] => 
    [offers_slug] => 
    [offers_product_id] => 
    [offers_product_code] => 
    [offers_master_id] => 
    [offer_percentage] => 
    [offers_product_main_cat] => 
)
PA 01 0831006
PA 01 0831006

(3S,5R)-Atorvastatin methyl ester


  • Catalogue No.:PA 01 0831006

  • CAS :

    1429437-85-3

  • Molecular Formula : C34H37FN2O5

  • Molecular Weight : 572.68

stdClass Object
(
    [pname] => Atorvastatin 3-Oxo methyl ester
    [catalogue_number] => PA 01 0831007
    [category_ids] => ,70,75,76,78,82,
    [chemical_name] => 
    [weight] => 570.66
    [form] => C34H35FN2O5
    [cas] => 110862-47-0
    [pslug] => 110862-47-0-atorvastatin-3-oxo-methyl-ester-pa010831007
    [latest_product] => 0
    [linkproducts] => 0
    [offers_id] => 
    [offers_name] => 
    [offers_status] => 
    [offers_start_date] => 
    [offers_end_date] => 
    [pageview] => 
    [offers_slug] => 
    [offers_product_id] => 
    [offers_product_code] => 
    [offers_master_id] => 
    [offer_percentage] => 
    [offers_product_main_cat] => 
)
PA 01 0831007
PA 01 0831007

Atorvastatin 3-Oxo methyl ester


  • Catalogue No.:PA 01 0831007

  • CAS :

    110862-47-0

  • Molecular Formula : C34H35FN2O5

  • Molecular Weight : 570.66

stdClass Object
(
    [pname] => Atorvastatin 3-Oxopropyl Impurity
    [catalogue_number] => PA 01 0831008
    [category_ids] => ,75,76,78,70,82,
    [chemical_name] => 
    [weight] => 454.55
    [form] => C29H27FN2O2
    [cas] => 110862-46-9
    [pslug] => 110862-46-9-atorvastatin-3-oxopropyl-impurity-pa010831008
    [latest_product] => 0
    [linkproducts] => 0
    [offers_id] => 
    [offers_name] => 
    [offers_status] => 
    [offers_start_date] => 
    [offers_end_date] => 
    [pageview] => 
    [offers_slug] => 
    [offers_product_id] => 
    [offers_product_code] => 
    [offers_master_id] => 
    [offer_percentage] => 
    [offers_product_main_cat] => 
)
PA 01 0831008
PA 01 0831008

Atorvastatin 3-Oxopropyl Impurity


  • Catalogue No.:PA 01 0831008

  • CAS :

    110862-46-9

  • Molecular Formula : C29H27FN2O2

  • Molecular Weight : 454.55

stdClass Object
(
    [pname] => Atorvastatin acetonide methyl ester
    [catalogue_number] => PA 01 0831009
    [category_ids] => ,75,76,78,70,82,
    [chemical_name] => 
    [weight] => 612.74
    [form] => C37H41FN2O5
    [cas] => 1353049-81-6
    [pslug] => 1353049-81-6-atorvastatin-acetonide-methyl-ester-pa010831009
    [latest_product] => 0
    [linkproducts] => 0
    [offers_id] => 
    [offers_name] => 
    [offers_status] => 
    [offers_start_date] => 
    [offers_end_date] => 
    [pageview] => 
    [offers_slug] => 
    [offers_product_id] => 
    [offers_product_code] => 
    [offers_master_id] => 
    [offer_percentage] => 
    [offers_product_main_cat] => 
)
PA 01 0831009
PA 01 0831009

Atorvastatin acetonide methyl ester


  • Catalogue No.:PA 01 0831009

  • CAS :

    1353049-81-6

  • Molecular Formula : C37H41FN2O5

  • Molecular Weight : 612.74

stdClass Object
(
    [pname] => Atorvastatin Acyl-β-D-glucuronide
    [catalogue_number] => PA 01 0831010
    [category_ids] => ,70,75,76,78,82,95,
    [chemical_name] => 
    [weight] => 734.77
    [form] => C39H43FN2O11
    [cas] => 463962-58-5
    [pslug] => 463962-58-5-atorvastatin-acyl-beta-d-glucuronide-pa010831010
    [latest_product] => 0
    [linkproducts] => 0
    [offers_id] => 
    [offers_name] => 
    [offers_status] => 
    [offers_start_date] => 
    [offers_end_date] => 
    [pageview] => 
    [offers_slug] => 
    [offers_product_id] => 
    [offers_product_code] => 
    [offers_master_id] => 
    [offer_percentage] => 
    [offers_product_main_cat] => 
)
PA 01 0831010
PA 01 0831010

Atorvastatin Acyl-β-D-glucuronide


  • Catalogue No.:PA 01 0831010

  • CAS :

    463962-58-5

  • Molecular Formula : C39H43FN2O11

  • Molecular Weight : 734.77

stdClass Object
(
    [pname] => (R)-Tert-butyl 6-cyano-5-hydroxy-3-oxohexanoate
    [catalogue_number] => PAI 01 083001
    [category_ids] => ,82,78,76,75,70,
    [chemical_name] => 
    [weight] => 227.26
    [form] => C11H17NO4
    [cas] => 125988-01-4
    [pslug] => 125988-01-4-r-tert-butyl-6-cyano-5-hydroxy-3-oxohexanoate-pai01083001
    [latest_product] => 0
    [linkproducts] => 0
    [offers_id] => 
    [offers_name] => 
    [offers_status] => 
    [offers_start_date] => 
    [offers_end_date] => 
    [pageview] => 
    [offers_slug] => 
    [offers_product_id] => 
    [offers_product_code] => 
    [offers_master_id] => 
    [offer_percentage] => 
    [offers_product_main_cat] => 
)
PAI 01 083001
PAI 01 083001

(R)-Tert-butyl 6-cyano-5-hydroxy-3-oxohexanoate


  • Catalogue No.:PAI 01 083001

  • CAS :

    125988-01-4

  • Molecular Formula : C11H17NO4

  • Molecular Weight : 227.26

stdClass Object
(
    [pname] => Tert-butyl 2-((4S,6R)-6-(cyanomethyl)-2,2-dimethyl-1,3-dioxan-4-yl)acetate
    [catalogue_number] => PAI 01 083003
    [category_ids] => ,82,78,76,75,70,
    [chemical_name] => 
    [weight] => 269.34
    [form] => C14H23NO4
    [cas] => 186508-95-2
    [pslug] => 186508-95-2-tert-butyl-2-4s-6r-6-cyanomethyl-2-2-dimethyl-1-3-dioxan-4-yl-acetate-pai01083003
    [latest_product] => 0
    [linkproducts] => 0
    [offers_id] => 
    [offers_name] => 
    [offers_status] => 
    [offers_start_date] => 
    [offers_end_date] => 
    [pageview] => 
    [offers_slug] => 
    [offers_product_id] => 
    [offers_product_code] => 
    [offers_master_id] => 
    [offer_percentage] => 
    [offers_product_main_cat] => 
)
PAI 01 083003
PAI 01 083003

Tert-butyl 2-((4S,6R)-6-(cyanomethyl)-2,2-dimethyl-1,3-dioxan-4-yl)acetate


  • Catalogue No.:PAI 01 083003

  • CAS :

    186508-95-2

  • Molecular Formula : C14H23NO4

  • Molecular Weight : 269.34

stdClass Object
(
    [pname] => Tert-butyl 2-((4S,6R)-6-(2-(2-(4-fluorophenyl)-5-isopropyl-3-phenyl-4-(phenylcarbamoyl)-1H-pyrrol-1-yl)ethyl)-2,2-dimethyl-1,3-dioxan-4-yl)acetate
    [catalogue_number] => PAI 01 083005
    [category_ids] => ,75,76,78,70,82,
    [chemical_name] => 
    [weight] => 654.82
    [form] => C40H47FN2O5
    [cas] => NA
    [pslug] => tert-butyl-2-4s-6r-6-2-2-4-fluorophenyl-5-isopropyl-3-phenyl-4-phenylcarbamoyl-1h-pyrrol-1-yl-ethyl-2-2-dimethyl-1-3-dioxan-4-yl-acetate-pai01083005
    [latest_product] => 0
    [linkproducts] => 0
    [offers_id] => 
    [offers_name] => 
    [offers_status] => 
    [offers_start_date] => 
    [offers_end_date] => 
    [pageview] => 
    [offers_slug] => 
    [offers_product_id] => 
    [offers_product_code] => 
    [offers_master_id] => 
    [offer_percentage] => 
    [offers_product_main_cat] => 
)
PAI 01 083005
PAI 01 083005

Tert-butyl 2-((4S,6R)-6-(2-(2-(4-fluorophenyl)-5-isopropyl-3-phenyl-4-(phenylcarbamoyl)-1H-pyrrol-1-yl)ethyl)-2,2-dimethyl-1,3-dioxan-4-yl)acetate


  • Catalogue No.:PAI 01 083005

  • CAS :

    NA

  • Molecular Formula : C40H47FN2O5

  • Molecular Weight : 654.82

stdClass Object
(
    [pname] => (3S,5R)-Tert-butyl 7-(2-(4-fluorophenyl)-5-isopropyl-3-phenyl-4-(phenylcarbamoyl)-1H-pyrrol-1-yl)-3,5-dihydroxyheptanoate
    [catalogue_number] => PAI 01 083006
    [category_ids] => ,82,78,76,75,70,
    [chemical_name] => 
    [weight] => 614.76
    [form] => C37H43FN2O5
    [cas] => 2588261-38-3
    [pslug] => 2588261-38-3-3s-5r-tert-butyl-7-2-4-fluorophenyl-5-isopropyl-3-phenyl-4-phenylcarbamoyl-1h-pyrrol-1-yl-3-5-dihydroxyheptanoate-pai01083006
    [latest_product] => 0
    [linkproducts] => 0
    [offers_id] => 
    [offers_name] => 
    [offers_status] => 
    [offers_start_date] => 
    [offers_end_date] => 
    [pageview] => 
    [offers_slug] => 
    [offers_product_id] => 
    [offers_product_code] => 
    [offers_master_id] => 
    [offer_percentage] => 
    [offers_product_main_cat] => 
)
PAI 01 083006
PAI 01 083006

(3S,5R)-Tert-butyl 7-(2-(4-fluorophenyl)-5-isopropyl-3-phenyl-4-(phenylcarbamoyl)-1H-pyrrol-1-yl)-3,5-dihydroxyheptanoate


  • Catalogue No.:PAI 01 083006

  • CAS :

    2588261-38-3

  • Molecular Formula : C37H43FN2O5

  • Molecular Weight : 614.76

stdClass Object
(
    [pname] => Sodium (3S,5R)-7-(2-(4-fluorophenyl)-5-isopropyl-3-phenyl-4-(phenylcarbamoyl)-1H-pyrrol-1-yl)-3,5-dihydroxyheptanoate
    [catalogue_number] => PAI 01 083007
    [category_ids] => ,70,75,76,78,82,
    [chemical_name] => 
    [weight] => 580.63
    [form] => C33H34FN2NaO5
    [cas] => 1060754-19-9
    [pslug] => 1060754-19-9-sodium-3s-5r-7-2-4-fluorophenyl-5-isopropyl-3-phenyl-4-phenylcarbamoyl-1h-pyrrol-1-yl-3-5-dihydroxyheptanoate-pai01083007
    [latest_product] => 0
    [linkproducts] => 0
    [offers_id] => 
    [offers_name] => 
    [offers_status] => 
    [offers_start_date] => 
    [offers_end_date] => 
    [pageview] => 
    [offers_slug] => 
    [offers_product_id] => 
    [offers_product_code] => 
    [offers_master_id] => 
    [offer_percentage] => 
    [offers_product_main_cat] => 
)
PAI 01 083007
PAI 01 083007

Sodium (3S,5R)-7-(2-(4-fluorophenyl)-5-isopropyl-3-phenyl-4-(phenylcarbamoyl)-1H-pyrrol-1-yl)-3,5-dihydroxyheptanoate


  • Catalogue No.:PAI 01 083007

  • CAS :

    1060754-19-9

  • Molecular Formula : C33H34FN2NaO5

  • Molecular Weight : 580.63

stdClass Object
(
    [pname] => 5-(4-Fluorophenyl)-2-isopropyl-1-(2-((2R,4R)-4-methoxy-6-oxotetrahydro-2H-pyran-2-yl)ethyl)-N,4-diphenyl-1H-pyrrole-3-carboxamide
    [catalogue_number] => PAI 01 083008
    [category_ids] => ,75,76,78,70,82,
    [chemical_name] => 
    [weight] => 554.66
    [form] => C34H35FN2O4
    [cas] => NA
    [pslug] => 5-4-fluorophenyl-2-isopropyl-1-2-2r-4r-4-methoxy-6-oxotetrahydro-2h-pyran-2-yl-ethyl-n-4-diphenyl-1h-pyrrole-3-carboxamide-pai01083008
    [latest_product] => 0
    [linkproducts] => 0
    [offers_id] => 
    [offers_name] => 
    [offers_status] => 
    [offers_start_date] => 
    [offers_end_date] => 
    [pageview] => 
    [offers_slug] => 
    [offers_product_id] => 
    [offers_product_code] => 
    [offers_master_id] => 
    [offer_percentage] => 
    [offers_product_main_cat] => 
)
PAI 01 083008
PAI 01 083008

5-(4-Fluorophenyl)-2-isopropyl-1-(2-((2R,4R)-4-methoxy-6-oxotetrahydro-2H-pyran-2-yl)ethyl)-N,4-diphenyl-1H-pyrrole-3-carboxamide


  • Catalogue No.:PAI 01 083008

  • CAS :

    NA

  • Molecular Formula : C34H35FN2O4

  • Molecular Weight : 554.66

stdClass Object
(
    [pname] => 2-Fluoro Atorvastatin tert-Butyl Ester
    [catalogue_number] => PA 01 0831011
    [category_ids] => ,75,76,78,70,82,
    [chemical_name] => 
    [weight] => 654.82
    [form] => C40H47FN2O5
    [cas] => 1099474-28-8
    [pslug] => 1099474-28-8-2-fluoro-atorvastatin-tert-butyl-ester-pa010831011
    [latest_product] => 0
    [linkproducts] => 0
    [offers_id] => 
    [offers_name] => 
    [offers_status] => 
    [offers_start_date] => 
    [offers_end_date] => 
    [pageview] => 
    [offers_slug] => 
    [offers_product_id] => 
    [offers_product_code] => 
    [offers_master_id] => 
    [offer_percentage] => 
    [offers_product_main_cat] => 
)
PA 01 0831011
PA 01 0831011

2-Fluoro Atorvastatin tert-Butyl Ester


  • Catalogue No.:PA 01 0831011

  • CAS :

    1099474-28-8

  • Molecular Formula : C40H47FN2O5

  • Molecular Weight : 654.82

stdClass Object
(
    [pname] => Atorvastatin Acid - Impurity C (Freebase)
    [catalogue_number] => PA 01 0830030
    [category_ids] => ,70,75,76,78,82,
    [chemical_name] => 
    [weight] => 576.64
    [form] => C33H34F2N2O5
    [cas] => 693794-20-6
    [pslug] => 693794-20-6-atorvastatin-acid-impurity-c-freebase-pa010830030
    [latest_product] => 0
    [linkproducts] => 1
    [offers_id] => 
    [offers_name] => 
    [offers_status] => 
    [offers_start_date] => 
    [offers_end_date] => 
    [pageview] => 
    [offers_slug] => 
    [offers_product_id] => 
    [offers_product_code] => 
    [offers_master_id] => 
    [offer_percentage] => 
    [offers_product_main_cat] => 
)
PA 01 0830030
PA 01 0830030

Atorvastatin Acid - Impurity C (Freebase)


  • Catalogue No.:PA 01 0830030

  • CAS :

    693794-20-6

  • Molecular Formula : C33H34F2N2O5

  • Molecular Weight : 576.64

stdClass Object
(
    [pname] => 4-Hydroxy-Atorvastatin calcium salt
    [catalogue_number] => PA 01 0831013
    [category_ids] => ,75,76,78,70,82,
    [chemical_name] => 
    [weight] => 1187.36
    [form] => C66H68CaF2N4O12
    [cas] => 265989-44-4
    [pslug] => 265989-44-4-4-hydroxy-atorvastatin-calcium-salt-pa010831013
    [latest_product] => 0
    [linkproducts] => 1
    [offers_id] => 
    [offers_name] => 
    [offers_status] => 
    [offers_start_date] => 
    [offers_end_date] => 
    [pageview] => 
    [offers_slug] => 
    [offers_product_id] => 
    [offers_product_code] => 
    [offers_master_id] => 
    [offer_percentage] => 
    [offers_product_main_cat] => 
)
PA 01 0831013
PA 01 0831013

4-Hydroxy-Atorvastatin calcium salt


  • Catalogue No.:PA 01 0831013

  • CAS :

    265989-44-4

  • Molecular Formula : C66H68CaF2N4O12

  • Molecular Weight : 1187.36

stdClass Object
(
    [pname] => Methyl 2-(2-(4-fluorophenyl)-2-oxo-1-phenylethyl)-4-methyl-3-oxopentanoate
    [catalogue_number] => PA 01 0831014
    [category_ids] => ,75,76,78,70,82,
    [chemical_name] => 
    [weight] => 356.39
    [form] => C21H21FO4
    [cas] => 912998-82-4
    [pslug] => 912998-82-4-methyl-2-2-4-fluorophenyl-2-oxo-1-phenylethyl-4-methyl-3-oxopentanoate-pa010831014
    [latest_product] => 0
    [linkproducts] => 0
    [offers_id] => 
    [offers_name] => 
    [offers_status] => 
    [offers_start_date] => 
    [offers_end_date] => 
    [pageview] => 
    [offers_slug] => 
    [offers_product_id] => 
    [offers_product_code] => 
    [offers_master_id] => 
    [offer_percentage] => 
    [offers_product_main_cat] => 
)
PA 01 0831014
PA 01 0831014

Methyl 2-(2-(4-fluorophenyl)-2-oxo-1-phenylethyl)-4-methyl-3-oxopentanoate


  • Catalogue No.:PA 01 0831014

  • CAS :

    912998-82-4

  • Molecular Formula : C21H21FO4

  • Molecular Weight : 356.39

stdClass Object
(
    [pname] => 5-(4-Fluorophenyl)-2-isopropyl-N,4-diphenyl-1H-pyrrole-3-carboxamide
    [catalogue_number] => PA 01 0831015
    [category_ids] => ,75,76,78,70,82,
    [chemical_name] => 
    [weight] => 398.48
    [form] => C26H23FN2O
    [cas] => 666714-64-3
    [pslug] => 666714-64-3-5-4-fluorophenyl-2-isopropyl-n-4-diphenyl-1h-pyrrole-3-carboxamide-pa010831015
    [latest_product] => 0
    [linkproducts] => 0
    [offers_id] => 
    [offers_name] => 
    [offers_status] => 
    [offers_start_date] => 
    [offers_end_date] => 
    [pageview] => 
    [offers_slug] => 
    [offers_product_id] => 
    [offers_product_code] => 
    [offers_master_id] => 
    [offer_percentage] => 
    [offers_product_main_cat] => 
)
PA 01 0831015
PA 01 0831015

5-(4-Fluorophenyl)-2-isopropyl-N,4-diphenyl-1H-pyrrole-3-carboxamide


  • Catalogue No.:PA 01 0831015

  • CAS :

    666714-64-3

  • Molecular Formula : C26H23FN2O

  • Molecular Weight : 398.48

stdClass Object
(
    [pname] => Atorvastatin Acid - Impurity D
    [catalogue_number] => PA 01 0830040
    [category_ids] => ,70,75,76,78,82,
    [chemical_name] => 
    [weight] => 880.94
    [form] => C52H46F2N2O9
    [cas] => NA
    [pslug] => atorvastatin-acid-impurity-d-pa010830040
    [latest_product] => 0
    [linkproducts] => 0
    [offers_id] => 
    [offers_name] => 
    [offers_status] => 
    [offers_start_date] => 
    [offers_end_date] => 
    [pageview] => 
    [offers_slug] => 
    [offers_product_id] => 
    [offers_product_code] => 
    [offers_master_id] => 
    [offer_percentage] => 
    [offers_product_main_cat] => 
)
PA 01 0830040
PA 01 0830040

Atorvastatin Acid - Impurity D


  • Catalogue No.:PA 01 0830040

  • CAS :

    NA

  • Molecular Formula : C52H46F2N2O9

  • Molecular Weight : 880.94

stdClass Object
(
    [pname] => (4R,cis)-6-(2-Aminoethyl)-2,2-dimethyl-1,3-dioxane-4-acetic Acid
    [catalogue_number] => PA 01 0831012
    [category_ids] => ,75,76,78,70,82,
    [chemical_name] => 
    [weight] => 217.27
    [form] => C10H19NO4
    [cas] => 125995-17-7
    [pslug] => 125995-17-7-4r-cis-6-2-aminoethyl-2-2-dimethyl-1-3-dioxane-4-acetic-acid-pa010831012
    [latest_product] => 0
    [linkproducts] => 0
    [offers_id] => 
    [offers_name] => 
    [offers_status] => 
    [offers_start_date] => 
    [offers_end_date] => 
    [pageview] => 
    [offers_slug] => 
    [offers_product_id] => 
    [offers_product_code] => 
    [offers_master_id] => 
    [offer_percentage] => 
    [offers_product_main_cat] => 
)
PA 01 0831012
PA 01 0831012

(4R,cis)-6-(2-Aminoethyl)-2,2-dimethyl-1,3-dioxane-4-acetic Acid


  • Catalogue No.:PA 01 0831012

  • CAS :

    125995-17-7

  • Molecular Formula : C10H19NO4

  • Molecular Weight : 217.27

stdClass Object
(
    [pname] => Atorvastatin Acid - Impurity O (Freebase)
    [catalogue_number] => PA 01 0830152
    [category_ids] => ,70,75,76,78,82,
    [chemical_name] => 
    [weight] => 556.63
    [form] => C33H33FN2O5
    [cas] => 887196-30-7
    [pslug] => 887196-30-7-atorvastatin-acid-impurity-o-freebase-pa010830152
    [latest_product] => 0
    [linkproducts] => 1
    [offers_id] => 
    [offers_name] => 
    [offers_status] => 
    [offers_start_date] => 
    [offers_end_date] => 
    [pageview] => 
    [offers_slug] => 
    [offers_product_id] => 
    [offers_product_code] => 
    [offers_master_id] => 
    [offer_percentage] => 
    [offers_product_main_cat] => 
)
PA 01 0830152
PA 01 0830152

Atorvastatin Acid - Impurity O (Freebase)


  • Catalogue No.:PA 01 0830152

  • CAS :

    887196-30-7

  • Molecular Formula : C33H33FN2O5

  • Molecular Weight : 556.63

stdClass Object
(
    [pname] => Atorvastatin Acid - Impurity A (Sodium Salt)
    [catalogue_number] => PA 01 0830011
    [category_ids] => ,70,75,76,78,82,
    [chemical_name] => 
    [weight] => 563.65
    [form] => C33H36N2NaO5
    [cas] => 1516864-05-3
    [pslug] => 1516864-05-3-atorvastatin-acid-impurity-a-sodium-salt-pa010830011
    [latest_product] => 0
    [linkproducts] => 1
    [offers_id] => 
    [offers_name] => 
    [offers_status] => 
    [offers_start_date] => 
    [offers_end_date] => 
    [pageview] => 
    [offers_slug] => 
    [offers_product_id] => 
    [offers_product_code] => 
    [offers_master_id] => 
    [offer_percentage] => 
    [offers_product_main_cat] => 
)
PA 01 0830011
PA 01 0830011

Atorvastatin Acid - Impurity A (Sodium Salt)


  • Catalogue No.:PA 01 0830011

  • CAS :

    1516864-05-3

  • Molecular Formula : C33H36N2NaO5

  • Molecular Weight : 563.65

stdClass Object
(
    [pname] => tert-Butyl (S)-5-hydroxy-6-isocyano-3-oxohexanoate
    [catalogue_number] => PAI 01 083009
    [category_ids] => ,75,76,78,70,82,
    [chemical_name] => 
    [weight] => 227.26
    [form] => C11H17NO4
    [cas] => NA
    [pslug] => tert-butyl-s-5-hydroxy-6-isocyano-3-oxohexanoate-pai01083009
    [latest_product] => 0
    [linkproducts] => 0
    [offers_id] => 
    [offers_name] => 
    [offers_status] => 
    [offers_start_date] => 
    [offers_end_date] => 
    [pageview] => 
    [offers_slug] => 
    [offers_product_id] => 
    [offers_product_code] => 
    [offers_master_id] => 
    [offer_percentage] => 
    [offers_product_main_cat] => 
)
PAI 01 083009
PAI 01 083009

tert-Butyl (S)-5-hydroxy-6-isocyano-3-oxohexanoate


  • Catalogue No.:PAI 01 083009

  • CAS :

    NA

  • Molecular Formula : C11H17NO4

  • Molecular Weight : 227.26

stdClass Object
(
    [pname] => tert-Butyl (S)-2-(2-(2-hydroxy-3-isocyanopropyl)-1,3-dioxolan-2-yl)acetate
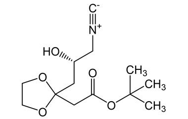
    [catalogue_number] => PAI 01 083010
    [category_ids] => ,75,76,78,70,82,
    [chemical_name] => 
    [weight] => 271.31
    [form] => C13H21NO5
    [cas] => NA
    [pslug] => tert-butyl-s-2-2-2-hydroxy-3-isocyanopropyl-1-3-dioxolan-2-yl-acetate-pai01083010
    [latest_product] => 0
    [linkproducts] => 0
    [offers_id] => 
    [offers_name] => 
    [offers_status] => 
    [offers_start_date] => 
    [offers_end_date] => 
    [pageview] => 
    [offers_slug] => 
    [offers_product_id] => 
    [offers_product_code] => 
    [offers_master_id] => 
    [offer_percentage] => 
    [offers_product_main_cat] => 
)
PAI 01 083010
PAI 01 083010

tert-Butyl (S)-2-(2-(2-hydroxy-3-isocyanopropyl)-1,3-dioxolan-2-yl)acetate


  • Catalogue No.:PAI 01 083010

  • CAS :

    NA

  • Molecular Formula : C13H21NO5

  • Molecular Weight : 271.31

stdClass Object
(
    [pname] => tert-Butyl (S)-2-(2-(3-amino-2-hydroxypropyl)-1,3-dioxolan-2-yl)acetate
    [catalogue_number] => PAI 01 083011
    [category_ids] => ,75,76,78,70,82,
    [chemical_name] => 
    [weight] => 261.32
    [form] => C12H23NO5
    [cas] => NA
    [pslug] => tert-butyl-s-2-2-3-amino-2-hydroxypropyl-1-3-dioxolan-2-yl-acetate-pai01083011
    [latest_product] => 0
    [linkproducts] => 0
    [offers_id] => 
    [offers_name] => 
    [offers_status] => 
    [offers_start_date] => 
    [offers_end_date] => 
    [pageview] => 
    [offers_slug] => 
    [offers_product_id] => 
    [offers_product_code] => 
    [offers_master_id] => 
    [offer_percentage] => 
    [offers_product_main_cat] => 
)
PAI 01 083011
PAI 01 083011

tert-Butyl (S)-2-(2-(3-amino-2-hydroxypropyl)-1,3-dioxolan-2-yl)acetate


  • Catalogue No.:PAI 01 083011

  • CAS :

    NA

  • Molecular Formula : C12H23NO5

  • Molecular Weight : 261.32

stdClass Object
(
    [pname] => tert-Butyl (R)-2-(2-(4-(2-(4-fluorophenyl)-5-isopropyl-3-phenyl-4-(phenylcarbamoyl)-1H-pyrrol-1-yl)-2-hydroxybutyl)-1,3-dioxolan-2-yl)acetate
    [catalogue_number] => PAI 01 083012
    [category_ids] => ,75,76,78,70,82,
    [chemical_name] => 
    [weight] => 656.8
    [form] => C39H45FN2O6
    [cas] => NA
    [pslug] => tert-butyl-r-2-2-4-2-4-fluorophenyl-5-isopropyl-3-phenyl-4-phenylcarbamoyl-1h-pyrrol-1-yl-2-hydroxybutyl-1-3-dioxolan-2-yl-acetate-pai01083012
    [latest_product] => 0
    [linkproducts] => 0
    [offers_id] => 
    [offers_name] => 
    [offers_status] => 
    [offers_start_date] => 
    [offers_end_date] => 
    [pageview] => 
    [offers_slug] => 
    [offers_product_id] => 
    [offers_product_code] => 
    [offers_master_id] => 
    [offer_percentage] => 
    [offers_product_main_cat] => 
)
PAI 01 083012
PAI 01 083012

tert-Butyl (R)-2-(2-(4-(2-(4-fluorophenyl)-5-isopropyl-3-phenyl-4-(phenylcarbamoyl)-1H-pyrrol-1-yl)-2-hydroxybutyl)-1,3-dioxolan-2-yl)acetate


  • Catalogue No.:PAI 01 083012

  • CAS :

    NA

  • Molecular Formula : C39H45FN2O6

  • Molecular Weight : 656.8

stdClass Object
(
    [pname] => 5-(4-Fluorophenyl)-1-(2-((4R)-4-hydroxy-6-oxotetrahydro-2H-pyran-2-yl)ethyl)-2-isopropyl-N,4-diphenyl-1H-pyrrole-3-carboxamide
    [catalogue_number] => PAI 01 083013
    [category_ids] => ,75,76,78,70,82,
    [chemical_name] => 
    [weight] => 540.64
    [form] => C33H33FN2O4
    [cas] => 1072081-29-8
    [pslug] => 1072081-29-8-5-4-fluorophenyl-1-2-4r-4-hydroxy-6-oxotetrahydro-2h-pyran-2-yl-ethyl-2-isopropyl-n-4-diphenyl-1h-pyrrole-3-carboxamide-pai01083013
    [latest_product] => 0
    [linkproducts] => 0
    [offers_id] => 
    [offers_name] => 
    [offers_status] => 
    [offers_start_date] => 
    [offers_end_date] => 
    [pageview] => 
    [offers_slug] => 
    [offers_product_id] => 
    [offers_product_code] => 
    [offers_master_id] => 
    [offer_percentage] => 
    [offers_product_main_cat] => 
)
PAI 01 083013
PAI 01 083013

5-(4-Fluorophenyl)-1-(2-((4R)-4-hydroxy-6-oxotetrahydro-2H-pyran-2-yl)ethyl)-2-isopropyl-N,4-diphenyl-1H-pyrrole-3-carboxamide


  • Catalogue No.:PAI 01 083013

  • CAS :

    1072081-29-8

  • Molecular Formula : C33H33FN2O4

  • Molecular Weight : 540.64

stdClass Object
(
    [pname] => Atorvastatin Acid - Impurity G (Dicyclohexylamine Salt)
    [catalogue_number] => PA 01 0830071
    [category_ids] => ,70,75,76,78,82,
    [chemical_name] => 
    [weight] => 754
    [form] => C46H60FN3O5
    [cas] => NA
    [pslug] => atorvastatin-acid-impurity-g-dicyclohexylamine-salt-pa010830071
    [latest_product] => 0
    [linkproducts] => 1
    [offers_id] => 
    [offers_name] => 
    [offers_status] => 
    [offers_start_date] => 
    [offers_end_date] => 
    [pageview] => 
    [offers_slug] => 
    [offers_product_id] => 
    [offers_product_code] => 
    [offers_master_id] => 
    [offer_percentage] => 
    [offers_product_main_cat] => 
)
PA 01 0830071
PA 01 0830071

Atorvastatin Acid - Impurity G (Dicyclohexylamine Salt)


  • Catalogue No.:PA 01 0830071

  • CAS :

    NA

  • Molecular Formula : C46H60FN3O5

  • Molecular Weight : 754

stdClass Object
(
    [pname] => rac-3-Oxo Atorvastatin Sodium Salt
    [catalogue_number] => PA 01 0831016
    [category_ids] => ,75,76,78,70,82,
    [chemical_name] => 
    [weight] => 578.62
    [form] => C33H32FN2NaO5
    [cas] => 1391052-00-8
    [pslug] => 1391052-00-8-rac-3-oxo-atorvastatin-sodium-salt-pa010831016
    [latest_product] => 0
    [linkproducts] => 0
    [offers_id] => 
    [offers_name] => 
    [offers_status] => 
    [offers_start_date] => 
    [offers_end_date] => 
    [pageview] => 
    [offers_slug] => 
    [offers_product_id] => 
    [offers_product_code] => 
    [offers_master_id] => 
    [offer_percentage] => 
    [offers_product_main_cat] => 
)
PA 01 0831016
PA 01 0831016

rac-3-Oxo Atorvastatin Sodium Salt


  • Catalogue No.:PA 01 0831016

  • CAS :

    1391052-00-8

  • Molecular Formula : C33H32FN2NaO5

  • Molecular Weight : 578.62

stdClass Object
(
    [pname] => Atorvastatin Cyclic Fluorophenyl Calcium Salt Impurity
    [catalogue_number] => PA 01 0831017
    [category_ids] => ,82,78,76,75,70,
    [chemical_name] => 
    [weight] => 1219.36
    [form] => C66H68CaF2N4O14
    [cas] => 3085658-74-5
    [pslug] => 3085658-74-5-atorvastatin-cyclic-fluorophenyl-calcium-salt-impurity-pa010831017
    [latest_product] => 0
    [linkproducts] => 1
    [offers_id] => 
    [offers_name] => 
    [offers_status] => 
    [offers_start_date] => 
    [offers_end_date] => 
    [pageview] => 
    [offers_slug] => 
    [offers_product_id] => 
    [offers_product_code] => 
    [offers_master_id] => 
    [offer_percentage] => 
    [offers_product_main_cat] => 
)
PA 01 0831017
PA 01 0831017

Atorvastatin Cyclic Fluorophenyl Calcium Salt Impurity


  • Catalogue No.:PA 01 0831017

  • CAS :

    3085658-74-5

  • Molecular Formula : C66H68CaF2N4O14

  • Molecular Weight : 1219.36

stdClass Object
(
    [pname] => Atorvastatin Acid - Impurity Q (Calium Salt)
    [catalogue_number] => PA 01 0830171
    [category_ids] => ,69,75,78,70,82,
    [chemical_name] => 
    [weight] => 1187.36
    [form] => C66H68CaF2N4O12
    [cas] => 1046118-41-5
    [pslug] => 1046118-41-5-atorvastatin-acid-impurity-q-calium-salt-pa010830171
    [latest_product] => 0
    [linkproducts] => 1
    [offers_id] => 
    [offers_name] => 
    [offers_status] => 
    [offers_start_date] => 
    [offers_end_date] => 
    [pageview] => 
    [offers_slug] => 
    [offers_product_id] => 
    [offers_product_code] => 
    [offers_master_id] => 
    [offer_percentage] => 
    [offers_product_main_cat] => 
)
PA 01 0830171
PA 01 0830171

Atorvastatin Acid - Impurity Q (Calium Salt)


  • Catalogue No.:PA 01 0830171

  • CAS :

    1046118-41-5

  • Molecular Formula : C66H68CaF2N4O12

  • Molecular Weight : 1187.36

stdClass Object
(
    [pname] => 4-(4-Fluorophenyl)-4-hydroxy-2-isopropyl-2-methoxy-N,5-diphenyl-3,6-dioxabicyclo[3.1.0]hexane-1-carboxamide
    [catalogue_number] => PA 01 0831020
    [category_ids] => ,80,69,75,81,78,70,82,
    [chemical_name] => 
    [weight] => 463.51
    [form] => C27H26FNO5
    [cas] => NA
    [pslug] => 4-4-fluorophenyl-4-hydroxy-2-isopropyl-2-methoxy-n-5-diphenyl-3-6-dioxabicyclo-3-1-0-hexane-1-carboxamide-pa010831020
    [latest_product] => 0
    [linkproducts] => 0
    [offers_id] => 
    [offers_name] => 
    [offers_status] => 
    [offers_start_date] => 
    [offers_end_date] => 
    [pageview] => 
    [offers_slug] => 
    [offers_product_id] => 
    [offers_product_code] => 
    [offers_master_id] => 
    [offer_percentage] => 
    [offers_product_main_cat] => 
)
PA 01 0831020
PA 01 0831020

4-(4-Fluorophenyl)-4-hydroxy-2-isopropyl-2-methoxy-N,5-diphenyl-3,6-dioxabicyclo[3.1.0]hexane-1-carboxamide


  • Catalogue No.:PA 01 0831020

  • CAS :

    NA

  • Molecular Formula : C27H26FNO5

  • Molecular Weight : 463.51

stdClass Object
(
    [pname] => Atorvastatin Acid - Impurity C (Sodium Salt)
    [catalogue_number] => PA 01 0830031
    [category_ids] => ,70,75,76,78,82,
    [chemical_name] => 
    [weight] => 598.62
    [form] => C33H33F2N2NaO5
    [cas] => 1807481-00-0
    [pslug] => 1807481-00-0-atorvastatin-acid-impurity-c-sodium-salt-pa010830031
    [latest_product] => 0
    [linkproducts] => 1
    [offers_id] => 
    [offers_name] => 
    [offers_status] => 
    [offers_start_date] => 
    [offers_end_date] => 
    [pageview] => 
    [offers_slug] => 
    [offers_product_id] => 
    [offers_product_code] => 
    [offers_master_id] => 
    [offer_percentage] => 
    [offers_product_main_cat] => 
)
PA 01 0830031
PA 01 0830031

Atorvastatin Acid - Impurity C (Sodium Salt)


  • Catalogue No.:PA 01 0830031

  • CAS :

    1807481-00-0

  • Molecular Formula : C33H33F2N2NaO5

  • Molecular Weight : 598.62

stdClass Object
(
    [pname] => Tert-butyl (R)-7-amino-5-hydroxy-3-oxoheptanoate
    [catalogue_number] => PA 01 0831021
    [category_ids] => ,80,69,75,81,78,82,
    [chemical_name] => 
    [weight] => 231.29
    [form] => C11H21NO4
    [cas] => NA
    [pslug] => tert-butyl-r-7-amino-5-hydroxy-3-oxoheptanoate-pa010831021
    [latest_product] => 0
    [linkproducts] => 0
    [offers_id] => 
    [offers_name] => 
    [offers_status] => 
    [offers_start_date] => 
    [offers_end_date] => 
    [pageview] => 
    [offers_slug] => 
    [offers_product_id] => 
    [offers_product_code] => 
    [offers_master_id] => 
    [offer_percentage] => 
    [offers_product_main_cat] => 
)
PA 01 0831021
PA 01 0831021

Tert-butyl (R)-7-amino-5-hydroxy-3-oxoheptanoate


  • Catalogue No.:PA 01 0831021

  • CAS :

    NA

  • Molecular Formula : C11H21NO4

  • Molecular Weight : 231.29

stdClass Object
(
    [pname] => Atorvastatin Diamino Impurity
    [catalogue_number] => PA 01 0831022
    [category_ids] => ,69,75,81,78,70,82,
    [chemical_name] => 
    [weight] => 472.62
    [form] => C24H44N2O7
    [cas] => 2299304-89-3
    [pslug] => 2299304-89-3-atorvastatin-diamino-impurity-pa010831022
    [latest_product] => 0
    [linkproducts] => 0
    [offers_id] => 
    [offers_name] => 
    [offers_status] => 
    [offers_start_date] => 
    [offers_end_date] => 
    [pageview] => 
    [offers_slug] => 
    [offers_product_id] => 
    [offers_product_code] => 
    [offers_master_id] => 
    [offer_percentage] => 
    [offers_product_main_cat] => 
)
PA 01 0831022
PA 01 0831022

Atorvastatin Diamino Impurity


  • Catalogue No.:PA 01 0831022

  • CAS :

    2299304-89-3

  • Molecular Formula : C24H44N2O7

  • Molecular Weight : 472.62

stdClass Object
(
    [pname] => tert-Butyl 2-((4R,6R)-6-(2-(2-((4R,6R)-6-(2-(2-((4R,6R)-6-(2-aminoethyl)-2,2-dimethyl-1,3-dioxan-4-yl)acetamido)ethyl)-2,2-dimethyl-1,3-dioxan-4-yl)acetamido)ethyl)-2,2-dimethyl-1,3-dioxan-4-yl)acetate
    [catalogue_number] => PA 01 0831023
    [category_ids] => ,69,75,81,78,70,82,
    [chemical_name] => 
    [weight] => 671.87
    [form] => C34H61N3O10
    [cas] => NA
    [pslug] => tert-butyl-2-4r-6r-6-2-2-4r-6r-6-2-2-4r-6r-6-2-aminoethyl-2-2-dimethyl-1-3-dioxan-4-yl-acetamido-ethyl-2-2-dimethyl-1-3-dioxan-4-yl-acetamido-ethyl-2-2-dimethyl-1-3-dioxan-4-yl-acetate-pa010831023
    [latest_product] => 0
    [linkproducts] => 0
    [offers_id] => 
    [offers_name] => 
    [offers_status] => 
    [offers_start_date] => 
    [offers_end_date] => 
    [pageview] => 
    [offers_slug] => 
    [offers_product_id] => 
    [offers_product_code] => 
    [offers_master_id] => 
    [offer_percentage] => 
    [offers_product_main_cat] => 
)
PA 01 0831023
PA 01 0831023

tert-Butyl 2-((4R,6R)-6-(2-(2-((4R,6R)-6-(2-(2-((4R,6R)-6-(2-aminoethyl)-2,2-dimethyl-1,3-dioxan-4-yl)acetamido)ethyl)-2,2-dimethyl-1,3-dioxan-4-yl)acetamido)ethyl)-2,2-dimethyl-1,3-dioxan-4-yl)acetate


  • Catalogue No.:PA 01 0831023

  • CAS :

    NA

  • Molecular Formula : C34H61N3O10

  • Molecular Weight : 671.87

stdClass Object
(
    [pname] => tert-Butyl 2-((4R,6R)-6-(2-(2-((4R,6R)-6-(2-(2-((4R,6R)-6-(2-(2-(4-fluorophenyl)-5-isopropyl-3-phenyl-4-(phenylcarbamoyl)-1H-pyrrol-1-yl)ethyl)-2,2-dimethyl-1,3-dioxan-4-yl)acetamido)ethyl)-2,2-dimethyl-1,3-dioxan-4-yl)acetamido)ethyl)-2,2-dimethyl-1,3-dioxan-4-yl)acetate
    [catalogue_number] => PA 01 0831024
    [category_ids] => ,69,75,81,78,70,82,
    [chemical_name] => 
    [weight] => 1053.32
    [form] => C60H81FN4O11
    [cas] => NA
    [pslug] => tert-butyl-2-4r-6r-6-2-2-4r-6r-6-2-2-4r-6r-6-2-2-4-fluorophenyl-5-isopropyl-3-phenyl-4-phenylcarbamoyl-1h-pyrrol-1-yl-ethyl-2-2-dimethyl-1-3-dioxan-4-yl-acetamido-ethyl-2-2-dimethyl-1-3-dioxan-4-yl-acetamido-ethyl-2-2-dimethyl-1-3-dioxan-4-yl-acetate-pa010831024
    [latest_product] => 0
    [linkproducts] => 0
    [offers_id] => 
    [offers_name] => 
    [offers_status] => 
    [offers_start_date] => 
    [offers_end_date] => 
    [pageview] => 
    [offers_slug] => 
    [offers_product_id] => 
    [offers_product_code] => 
    [offers_master_id] => 
    [offer_percentage] => 
    [offers_product_main_cat] => 
)
PA 01 0831024
PA 01 0831024

tert-Butyl 2-((4R,6R)-6-(2-(2-((4R,6R)-6-(2-(2-((4R,6R)-6-(2-(2-(4-fluorophenyl)-5-isopropyl-3-phenyl-4-(phenylcarbamoyl)-1H-pyrrol-1-yl)ethyl)-2,2-dimethyl-1,3-dioxan-4-yl)acetamido)ethyl)-2,2-dimethyl-1,3-dioxan-4-yl)acetamido)ethyl)-2,2-dimethyl-1,3-dioxan-4-yl)acetate


  • Catalogue No.:PA 01 0831024

  • CAS :

    NA

  • Molecular Formula : C60H81FN4O11

  • Molecular Weight : 1053.32

stdClass Object
(
    [pname] => Atorvastatin Acid - Impurity B (Calcium Salt)
    [catalogue_number] => PA 01 0830021
    [category_ids] => ,82,78,76,75,70,
    [chemical_name] => 
    [weight] => 1157.38
    [form] => C66H70CaF2N4O10
    [cas] => 840528-19-0
    [pslug] => 840528-19-0-atorvastatin-acid-impurity-b-calcium-salt-pa010830021
    [latest_product] => 0
    [linkproducts] => 1
    [offers_id] => 
    [offers_name] => 
    [offers_status] => 
    [offers_start_date] => 
    [offers_end_date] => 
    [pageview] => 
    [offers_slug] => 
    [offers_product_id] => 
    [offers_product_code] => 
    [offers_master_id] => 
    [offer_percentage] => 
    [offers_product_main_cat] => 
)
PA 01 0830021
PA 01 0830021

Atorvastatin Acid - Impurity B (Calcium Salt)


  • Catalogue No.:PA 01 0830021

  • CAS :

    840528-19-0

  • Molecular Formula : C66H70CaF2N4O10

  • Molecular Weight : 1157.38

stdClass Object
(
    [pname] => (3R,5R)-7-((R)-5-(4-Fluorophenyl)-3-isopropyl-2-oxo-4-phenyl-3-(phenylcarbamoyl)-2,3-dihydro-1H-pyrrol-1-yl)-3,5-dihydroxyheptanoic Acid
    [catalogue_number] => PA 01 0831025
    [category_ids] => ,70,75,76,78,80,82,
    [chemical_name] => 
    [weight] => 574.65
    [form] => C33H35FN2O6
    [cas] => 691844-60-7
    [pslug] => 691844-60-7-3r-5r-7-r-5-4-fluorophenyl-3-isopropyl-2-oxo-4-phenyl-3-phenylcarbamoyl-2-3-dihydro-1h-pyrrol-1-yl-3-5-dihydroxyheptanoic-acid-pa010831025
    [latest_product] => 0
    [linkproducts] => 1
    [offers_id] => 
    [offers_name] => 
    [offers_status] => 
    [offers_start_date] => 
    [offers_end_date] => 
    [pageview] => 
    [offers_slug] => 
    [offers_product_id] => 
    [offers_product_code] => 
    [offers_master_id] => 
    [offer_percentage] => 
    [offers_product_main_cat] => 
)
PA 01 0831025
PA 01 0831025

(3R,5R)-7-((R)-5-(4-Fluorophenyl)-3-isopropyl-2-oxo-4-phenyl-3-(phenylcarbamoyl)-2,3-dihydro-1H-pyrrol-1-yl)-3,5-dihydroxyheptanoic Acid


  • Catalogue No.:PA 01 0831025

  • CAS :

    691844-60-7

  • Molecular Formula : C33H35FN2O6

  • Molecular Weight : 574.65

stdClass Object
(
    [pname] => (3R,5R)-7-(2-(4-Fluorophenyl)-5-isopropyl-4-(nitroso(phenyl)carbamoyl)-3-phenyl-1H-pyrrol-1-yl)-3,5-dihydroxyheptanoic Acid
    [catalogue_number] => PA 01 0831026
    [category_ids] => ,80,69,75,81,78,70,82,162,
    [chemical_name] => 
    [weight] => 587.65
    [form] => C33H34FN3O6
    [cas] => NA
    [pslug] => 3r-5r-7-2-4-fluorophenyl-5-isopropyl-4-nitroso-phenyl-carbamoyl-3-phenyl-1h-pyrrol-1-yl-3-5-dihydroxyheptanoic-acid-pa010831026
    [latest_product] => 0
    [linkproducts] => 0
    [offers_id] => 
    [offers_name] => 
    [offers_status] => 
    [offers_start_date] => 
    [offers_end_date] => 
    [pageview] => 
    [offers_slug] => 
    [offers_product_id] => 
    [offers_product_code] => 
    [offers_master_id] => 
    [offer_percentage] => 
    [offers_product_main_cat] => 
)
PA 01 0831026
PA 01 0831026

(3R,5R)-7-(2-(4-Fluorophenyl)-5-isopropyl-4-(nitroso(phenyl)carbamoyl)-3-phenyl-1H-pyrrol-1-yl)-3,5-dihydroxyheptanoic Acid


  • Catalogue No.:PA 01 0831026

  • CAS :

    NA

  • Molecular Formula : C33H34FN3O6

  • Molecular Weight : 587.65

stdClass Object
(
    [pname] => Calcium 7-(2-(4-fluorophenyl)-5-isopropyl-3-phenyl-4-(phenylcarbamoyl)-1H-pyrrol-1-yl)-5-hydroxy-3-oxoheptanoate
    [catalogue_number] => PA 01 0831028
    [category_ids] => ,70,75,76,78,82,
    [chemical_name] => 
    [weight] => 1151.33
    [form] => C66H64CaF2N4O10
    [cas] => NA
    [pslug] => calcium-7-2-4-fluorophenyl-5-isopropyl-3-phenyl-4-phenylcarbamoyl-1h-pyrrol-1-yl-5-hydroxy-3-oxoheptanoate-pa010831028
    [latest_product] => 0
    [linkproducts] => 1
    [offers_id] => 
    [offers_name] => 
    [offers_status] => 
    [offers_start_date] => 
    [offers_end_date] => 
    [pageview] => 
    [offers_slug] => 
    [offers_product_id] => 
    [offers_product_code] => 
    [offers_master_id] => 
    [offer_percentage] => 
    [offers_product_main_cat] => 
)
PA 01 0831028
PA 01 0831028

Calcium 7-(2-(4-fluorophenyl)-5-isopropyl-3-phenyl-4-(phenylcarbamoyl)-1H-pyrrol-1-yl)-5-hydroxy-3-oxoheptanoate


  • Catalogue No.:PA 01 0831028

  • CAS :

    NA

  • Molecular Formula : C66H64CaF2N4O10

  • Molecular Weight : 1151.33

stdClass Object
(
    [pname] => N-Nitroso Atorvastatin Calcium
    [catalogue_number] => PA 01 0831029
    [category_ids] => ,80,69,75,81,78,70,82,
    [chemical_name] => 
    [weight] => 626.72
    [form] => C33H33CaFN3O6
    [cas] => NA
    [pslug] => n-nitroso-atorvastatin-calcium-pa010831029
    [latest_product] => 0
    [linkproducts] => 0
    [offers_id] => 
    [offers_name] => 
    [offers_status] => 
    [offers_start_date] => 
    [offers_end_date] => 
    [pageview] => 
    [offers_slug] => 
    [offers_product_id] => 
    [offers_product_code] => 
    [offers_master_id] => 
    [offer_percentage] => 
    [offers_product_main_cat] => 
)
PA 01 0831029
PA 01 0831029

N-Nitroso Atorvastatin Calcium


  • Catalogue No.:PA 01 0831029

  • CAS :

    NA

  • Molecular Formula : C33H33CaFN3O6

  • Molecular Weight : 626.72

stdClass Object
(
    [pname] => Isopropyl 4-(4-fluorophenyl)-4-oxo-3-phenyl-2-(phenylcarbamoyl)but-2-enoate
    [catalogue_number] => PA 01 0831031
    [category_ids] => ,82,80,79,78,75,70,
    [chemical_name] => 
    [weight] => 431.46
    [form] => C26H22FNO4
    [cas] => NA
    [pslug] => isopropyl-4-4-fluorophenyl-4-oxo-3-phenyl-2-phenylcarbamoyl-but-2-enoate-pa010831031
    [latest_product] => 0
    [linkproducts] => 0
    [offers_id] => 
    [offers_name] => 
    [offers_status] => 
    [offers_start_date] => 
    [offers_end_date] => 
    [pageview] => 
    [offers_slug] => 
    [offers_product_id] => 
    [offers_product_code] => 
    [offers_master_id] => 
    [offer_percentage] => 
    [offers_product_main_cat] => 
)
PA 01 0831031
PA 01 0831031

Isopropyl 4-(4-fluorophenyl)-4-oxo-3-phenyl-2-(phenylcarbamoyl)but-2-enoate


  • Catalogue No.:PA 01 0831031

  • CAS :

    NA

  • Molecular Formula : C26H22FNO4

  • Molecular Weight : 431.46

stdClass Object
(
    [pname] => Atorvastatin Amide
    [catalogue_number] => PA 01 0831032
    [category_ids] => ,80,69,75,81,78,70,82,
    [chemical_name] => 
    [weight] => 721.87
    [form] => C40H52FN3O8
    [cas] => 2733752-57-1
    [pslug] => 2733752-57-1-atorvastatin-amide-pa010831032
    [latest_product] => 0
    [linkproducts] => 0
    [offers_id] => 
    [offers_name] => 
    [offers_status] => 
    [offers_start_date] => 
    [offers_end_date] => 
    [pageview] => 
    [offers_slug] => 
    [offers_product_id] => 
    [offers_product_code] => 
    [offers_master_id] => 
    [offer_percentage] => 
    [offers_product_main_cat] => 
)
PA 01 0831032
PA 01 0831032

Atorvastatin Amide


  • Catalogue No.:PA 01 0831032

  • CAS :

    2733752-57-1

  • Molecular Formula : C40H52FN3O8

  • Molecular Weight : 721.87

stdClass Object
(
    [pname] => (3R,5R)-7-((R)-5-(4-Fluorophenyl)-3-isopropyl-2-oxo-4-phenyl-3-(phenylcarbamoyl)-2,3-dihydro-1H-pyrrol-1-yl)-3,5-dihydroxyheptanoic Acid Calcium Salt
    [catalogue_number] => PA 01 0831041
    [category_ids] => ,70,75,76,78,80,82,
    [chemical_name] => 
    [weight] => 1187.36
    [form] => C66H68CaF2N4O12
    [cas] => 148127-11-1
    [pslug] => 148127-11-1-3r-5r-7-r-5-4-fluorophenyl-3-isopropyl-2-oxo-4-phenyl-3-phenylcarbamoyl-2-3-dihydro-1h-pyrrol-1-yl-3-5-dihydroxyheptanoic-acid-calcium-salt-pa010831041
    [latest_product] => 0
    [linkproducts] => 1
    [offers_id] => 
    [offers_name] => 
    [offers_status] => 
    [offers_start_date] => 
    [offers_end_date] => 
    [pageview] => 
    [offers_slug] => 
    [offers_product_id] => 
    [offers_product_code] => 
    [offers_master_id] => 
    [offer_percentage] => 
    [offers_product_main_cat] => 
)
PA 01 0831041
PA 01 0831041

(3R,5R)-7-((R)-5-(4-Fluorophenyl)-3-isopropyl-2-oxo-4-phenyl-3-(phenylcarbamoyl)-2,3-dihydro-1H-pyrrol-1-yl)-3,5-dihydroxyheptanoic Acid Calcium Salt


  • Catalogue No.:PA 01 0831041

  • CAS :

    148127-11-1

  • Molecular Formula : C66H68CaF2N4O12

  • Molecular Weight : 1187.36

stdClass Object
(
    [pname] => Calcium 7-(2-(4-fluorophenyl)-5-isopropyl-3-phenyl-4-(phenylcarbamoyl)-1H-pyrrol-1-yl)-3-hydroxyheptanoate
    [catalogue_number] => PA 01 0831042
    [category_ids] => ,80,69,75,81,78,70,82,
    [chemical_name] => 
    [weight] => 1123.36
    [form] => C66H68CaF2N4O8
    [cas] => NA
    [pslug] => calcium-7-2-4-fluorophenyl-5-isopropyl-3-phenyl-4-phenylcarbamoyl-1h-pyrrol-1-yl-3-hydroxyheptanoate-pa010831042
    [latest_product] => 0
    [linkproducts] => 0
    [offers_id] => 
    [offers_name] => 
    [offers_status] => 
    [offers_start_date] => 
    [offers_end_date] => 
    [pageview] => 
    [offers_slug] => 
    [offers_product_id] => 
    [offers_product_code] => 
    [offers_master_id] => 
    [offer_percentage] => 
    [offers_product_main_cat] => 
)
PA 01 0831042
PA 01 0831042

Calcium 7-(2-(4-fluorophenyl)-5-isopropyl-3-phenyl-4-(phenylcarbamoyl)-1H-pyrrol-1-yl)-3-hydroxyheptanoate


  • Catalogue No.:PA 01 0831042

  • CAS :

    NA

  • Molecular Formula : C66H68CaF2N4O8

  • Molecular Weight : 1123.36