antheraxanthin

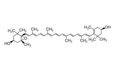
Intermediates - Antheraxanthin is a xanthophyll cycle pigment, an oil-soluble alcohol within the xanthophyll subgroup of carotenoids. Antheraxanthin is both a component in and product of the cellular photoprotection mechanisms in photosynthetic green algae, red algae, euglenoids, and plants.It is a bright yellow accessory pigment found in many organisms that perform photosynthesis. Reference standards of Antheraxanthin API, and its pharmacopeial, non pharmacopeial impurities, and stable isotopes are listed below.

stdClass Object
(
    [pname] => Antheraxanthin
    [catalogue_number] => PA 28 99000
    [category_ids] => ,78,70,82,92,
    [chemical_name] => 
    [weight] => 584.87
    [form] => C40H56O3
    [cas] => 640-03-9
    [pslug] => 640-03-9-antheraxanthin-api-pa2899000
    [latest_product] => 0
    [linkproducts] => 0
    [offers_id] => 
    [offers_name] => 
    [offers_status] => 
    [offers_start_date] => 
    [offers_end_date] => 
    [pageview] => 
    [offers_slug] => 
    [offers_product_id] => 
    [offers_product_code] => 
    [offers_master_id] => 
    [offer_percentage] => 
    [offers_product_main_cat] => 
)
PA 28 99000
PA 28 99000

Antheraxanthin


  • Catalogue No.:PA 28 99000

  • CAS :

    640-03-9

  • Molecular Formula : C40H56O3

  • Molecular Weight : 584.87

pharmaffiliates