hidiosmin

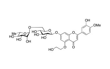
Intermediates - Hidiosmin, is the labelled analogue of Hidiosmin (H325700), a derivative of Diosmin (D485200), which is a semisynthetic drug and a member of the flavonoid family. It is used for the treatment of venous diseases. Reference standards of Hidiosmin API,and its pharmacopeial, non pharmacopeial impurities, and stable isotopes are listed below.

stdClass Object
(
    [pname] => Hidiosmin
    [catalogue_number] => PA 08 40000
    [category_ids] => ,80,94,78,70,82,
    [chemical_name] => 
    [weight] => 652.60
    [form] => C30H36O16
    [cas] => 115960-14-0
    [pslug] => 115960-14-0-hidiosmin-api-pa0840000
    [latest_product] => 0
    [linkproducts] => 0
    [offers_id] => 
    [offers_name] => 
    [offers_status] => 
    [offers_start_date] => 
    [offers_end_date] => 
    [pageview] => 
    [offers_slug] => 
    [offers_product_id] => 
    [offers_product_code] => 
    [offers_master_id] => 
    [offer_percentage] => 
    [offers_product_main_cat] => 
)
PA 08 40000
PA 08 40000

Hidiosmin


  • Catalogue No.:PA 08 40000

  • CAS :

    115960-14-0

  • Molecular Formula : C30H36O16

  • Molecular Weight : 652.60