salbutamol sulfate

Intermediates - Salbutamol Sulfate used in the treatment of asthma and COPD. Salbutamol is a short-acting. It is available as a generic medication. Salbutamol, also known as albuterol and marketed as Ventolin.Reference standards of Salbutamol Sulfate API,and its pharmacopeial, non pharmacopeial impurities, and stable isotopes are listed below.

stdClass Object
(
    [pname] => Salbutamol Sulfate
    [catalogue_number] => PA 19 44000
    [category_ids] => ,79,80,81,78,70,82,
    [chemical_name] => 
    [weight] => 288.35
    [form] => C13H21NO3 ·1/2H2SO4
    [cas] => 51022-70-9
    [pslug] => 51022-70-9-salbutamol-sulfate-api-standards-pa1944000
    [latest_product] => 0
    [linkproducts] => 1
    [offers_id] => 
    [offers_name] => 
    [offers_status] => 
    [offers_start_date] => 
    [offers_end_date] => 
    [pageview] => 
    [offers_slug] => 
    [offers_product_id] => 
    [offers_product_code] => 
    [offers_master_id] => 
    [offer_percentage] => 
    [offers_product_main_cat] => 
)
PA 19 44000
PA 19 44000

Salbutamol Sulfate


  • Catalogue No.:PA 19 44000

  • CAS :

    51022-70-9

  • Molecular Formula : C13H21NO3 ·1/2H2SO4

  • Molecular Weight : 288.35

stdClass Object
(
    [pname] => Salbutamol Sulfate - Impurity A
    [catalogue_number] => PA 19 44010
    [category_ids] => ,70,75,78,79,80,82,
    [chemical_name] => 
    [weight] => 253.34
    [form] => C14H23NO3
    [cas] => 870076-72-5
    [pslug] => 870076-72-5-salbutamol-sulfate-impurity-a-pa1944010
    [latest_product] => 0
    [linkproducts] => 1
    [offers_id] => 
    [offers_name] => 
    [offers_status] => 
    [offers_start_date] => 
    [offers_end_date] => 
    [pageview] => 
    [offers_slug] => 
    [offers_product_id] => 
    [offers_product_code] => 
    [offers_master_id] => 
    [offer_percentage] => 
    [offers_product_main_cat] => 
)
PA 19 44010
PA 19 44010

Salbutamol Sulfate - Impurity A


  • Catalogue No.:PA 19 44010

  • CAS :

    870076-72-5

  • Molecular Formula : C14H23NO3

  • Molecular Weight : 253.34

stdClass Object
(
    [pname] => Salbutamol Sulfate - Impurity B
    [catalogue_number] => PA 19 44020
    [category_ids] => ,82,80,79,78,70,
    [chemical_name] => 
    [weight] => 209.29
    [form] => C12H19NO2
    [cas] => 96948-64-0
    [pslug] => 96948-64-0-salbutamol-sulfate-impurity-b-pa1944020
    [latest_product] => 0
    [linkproducts] => 0
    [offers_id] => 
    [offers_name] => 
    [offers_status] => 
    [offers_start_date] => 
    [offers_end_date] => 
    [pageview] => 
    [offers_slug] => 
    [offers_product_id] => 
    [offers_product_code] => 
    [offers_master_id] => 
    [offer_percentage] => 
    [offers_product_main_cat] => 
)
PA 19 44020
PA 19 44020

Salbutamol Sulfate - Impurity B


  • Catalogue No.:PA 19 44020

  • CAS :

    96948-64-0

  • Molecular Formula : C12H19NO2

  • Molecular Weight : 209.29

stdClass Object
(
    [pname] => Salbutamol Sulfate - Impurity C
    [catalogue_number] => PA 19 44030
    [category_ids] => ,82,80,79,78,70,
    [chemical_name] => 
    [weight] => 223.31
    [form] => C13H21NO2
    [cas] => 18910-68-4
    [pslug] => 18910-68-4-salbutamol-sulfate-impurity-c-pa1944030
    [latest_product] => 0
    [linkproducts] => 1
    [offers_id] => 
    [offers_name] => 
    [offers_status] => 
    [offers_start_date] => 
    [offers_end_date] => 
    [pageview] => 
    [offers_slug] => 
    [offers_product_id] => 
    [offers_product_code] => 
    [offers_master_id] => 
    [offer_percentage] => 
    [offers_product_main_cat] => 
)
PA 19 44030
PA 19 44030

Salbutamol Sulfate - Impurity C


  • Catalogue No.:PA 19 44030

  • CAS :

    18910-68-4

  • Molecular Formula : C13H21NO2

  • Molecular Weight : 223.31

stdClass Object
(
    [pname] => Salbutamol Sulfate - Impurity D
    [catalogue_number] => PA 19 44040
    [category_ids] => ,80,79,70,75,78,82,
    [chemical_name] => 
    [weight] => 237.3
    [form] => C13H19NO3
    [cas] => 156339-88-7
    [pslug] => 156339-88-7-salbutamol-sulfate-impurity-d-pa1944040
    [latest_product] => 0
    [linkproducts] => 1
    [offers_id] => 
    [offers_name] => 
    [offers_status] => 
    [offers_start_date] => 
    [offers_end_date] => 
    [pageview] => 
    [offers_slug] => 
    [offers_product_id] => 
    [offers_product_code] => 
    [offers_master_id] => 
    [offer_percentage] => 
    [offers_product_main_cat] => 
)
PA 19 44040
PA 19 44040

Salbutamol Sulfate - Impurity D


  • Catalogue No.:PA 19 44040

  • CAS :

    156339-88-7

  • Molecular Formula : C13H19NO3

  • Molecular Weight : 237.3

stdClass Object
(
    [pname] => Salbutamol Sulfate - Impurity E
    [catalogue_number] => PA 19 44050
    [category_ids] => ,70,75,78,79,80,82,
    [chemical_name] => 
    [weight] => 329.43
    [form] => C20H27NO3
    [cas] => 24085-03-8
    [pslug] => 24085-03-8-salbutamol-sulfate-impurity-e-pa1944050
    [latest_product] => 0
    [linkproducts] => 0
    [offers_id] => 
    [offers_name] => 
    [offers_status] => 
    [offers_start_date] => 
    [offers_end_date] => 
    [pageview] => 
    [offers_slug] => 
    [offers_product_id] => 
    [offers_product_code] => 
    [offers_master_id] => 
    [offer_percentage] => 
    [offers_product_main_cat] => 
)
PA 19 44050
PA 19 44050

Salbutamol Sulfate - Impurity E


  • Catalogue No.:PA 19 44050

  • CAS :

    24085-03-8

  • Molecular Formula : C20H27NO3

  • Molecular Weight : 329.43

stdClass Object
(
    [pname] => Salbutamol Sulfate - Impurity F
    [catalogue_number] => PA 19 44060
    [category_ids] => ,82,80,79,78,75,70,
    [chemical_name] => 
    [weight] => 460.62
    [form] => C26H40N2O5
    [cas] => 147663-30-7
    [pslug] => 147663-30-7-salbutamol-sulfate-impurity-f-pa1944060
    [latest_product] => 0
    [linkproducts] => 1
    [offers_id] => 
    [offers_name] => 
    [offers_status] => 
    [offers_start_date] => 
    [offers_end_date] => 
    [pageview] => 
    [offers_slug] => 
    [offers_product_id] => 
    [offers_product_code] => 
    [offers_master_id] => 
    [offer_percentage] => 
    [offers_product_main_cat] => 
)
PA 19 44060
PA 19 44060

Salbutamol Sulfate - Impurity F


  • Catalogue No.:PA 19 44060

  • CAS :

    147663-30-7

  • Molecular Formula : C26H40N2O5

  • Molecular Weight : 460.62

stdClass Object
(
    [pname] => Salbutamol Sulfate - Impurity G (Hydrochloride Salt)
    [catalogue_number] => PA 19 44070
    [category_ids] => ,70,75,78,79,80,82,
    [chemical_name] => 
    [weight] => 363.88
    [form] => C20H26ClNO3
    [cas] => 24085-08-3
    [pslug] => 24085-08-3-salbutamol-sulfate-impurity-g-hydrochloride-salt-pa1944070
    [latest_product] => 0
    [linkproducts] => 1
    [offers_id] => 
    [offers_name] => 
    [offers_status] => 
    [offers_start_date] => 
    [offers_end_date] => 
    [pageview] => 
    [offers_slug] => 
    [offers_product_id] => 
    [offers_product_code] => 
    [offers_master_id] => 
    [offer_percentage] => 
    [offers_product_main_cat] => 
)
PA 19 44070
PA 19 44070

Salbutamol Sulfate - Impurity G (Hydrochloride Salt)


  • Catalogue No.:PA 19 44070

  • CAS :

    24085-08-3

  • Molecular Formula : C20H26ClNO3

  • Molecular Weight : 363.88

stdClass Object
(
    [pname] => Salbutamol Sulfate - Impurity H
    [catalogue_number] => PA 19 44080
    [category_ids] => ,70,75,78,79,80,82,
    [chemical_name] => 
    [weight] => 207.32
    [form] => C13H21NO
    [cas] => 132183-64-3
    [pslug] => 132183-64-3-salbutamol-sulfate-impurity-h-pa1944080
    [latest_product] => 0
    [linkproducts] => 0
    [offers_id] => 
    [offers_name] => 
    [offers_status] => 
    [offers_start_date] => 
    [offers_end_date] => 
    [pageview] => 
    [offers_slug] => 
    [offers_product_id] => 
    [offers_product_code] => 
    [offers_master_id] => 
    [offer_percentage] => 
    [offers_product_main_cat] => 
)
PA 19 44080
PA 19 44080

Salbutamol Sulfate - Impurity H


  • Catalogue No.:PA 19 44080

  • CAS :

    132183-64-3

  • Molecular Formula : C13H21NO

  • Molecular Weight : 207.32

stdClass Object
(
    [pname] => Salbutamol Sulfate - Impurity I
    [catalogue_number] => PA 19 44090
    [category_ids] => ,70,78,82,
    [chemical_name] => 
    [weight] => 329.44
    [form] => C20H27NO3
    [cas] => 56796-66-8
    [pslug] => 56796-66-8-salbutamol-sulfate-impurity-i-pa1944090
    [latest_product] => 0
    [linkproducts] => 0
    [offers_id] => 
    [offers_name] => 
    [offers_status] => 
    [offers_start_date] => 
    [offers_end_date] => 
    [pageview] => 
    [offers_slug] => 
    [offers_product_id] => 
    [offers_product_code] => 
    [offers_master_id] => 
    [offer_percentage] => 
    [offers_product_main_cat] => 
)
PA 19 44090
PA 19 44090

Salbutamol Sulfate - Impurity I


  • Catalogue No.:PA 19 44090

  • CAS :

    56796-66-8

  • Molecular Formula : C20H27NO3

  • Molecular Weight : 329.44

stdClass Object
(
    [pname] => Salbutamol Sulfate - Impurity J
    [catalogue_number] => PA 19 44100
    [category_ids] => ,82,78,70,
    [chemical_name] => 
    [weight] => 237.3
    [form] => C13H19NO3
    [cas] => 156547-62-5
    [pslug] => 156547-62-5-salbutamol-sulfate-impurity-j-pa1944100
    [latest_product] => 0
    [linkproducts] => 1
    [offers_id] => 
    [offers_name] => 
    [offers_status] => 
    [offers_start_date] => 
    [offers_end_date] => 
    [pageview] => 
    [offers_slug] => 
    [offers_product_id] => 
    [offers_product_code] => 
    [offers_master_id] => 
    [offer_percentage] => 
    [offers_product_main_cat] => 
)
PA 19 44100
PA 19 44100

Salbutamol Sulfate - Impurity J


  • Catalogue No.:PA 19 44100

  • CAS :

    156547-62-5

  • Molecular Formula : C13H19NO3

  • Molecular Weight : 237.3

stdClass Object
(
    [pname] => Salbutamol Sulfate - Impurity J (Hydrochloride)
    [catalogue_number] => PA 19 44101
    [category_ids] => ,70,75,78,79,80,82,
    [chemical_name] => 
    [weight] => 273.76
    [form] => C13H20ClNO3
    [cas] => 41489-89-8
    [pslug] => 41489-89-8-salbutamol-sulfate-impurity-j-hydrochloride-pa1944101
    [latest_product] => 0
    [linkproducts] => 1
    [offers_id] => 
    [offers_name] => 
    [offers_status] => 
    [offers_start_date] => 
    [offers_end_date] => 
    [pageview] => 
    [offers_slug] => 
    [offers_product_id] => 
    [offers_product_code] => 
    [offers_master_id] => 
    [offer_percentage] => 
    [offers_product_main_cat] => 
)
PA 19 44101
PA 19 44101

Salbutamol Sulfate - Impurity J (Hydrochloride)


  • Catalogue No.:PA 19 44101

  • CAS :

    41489-89-8

  • Molecular Formula : C13H20ClNO3

  • Molecular Weight : 273.76

stdClass Object
(
    [pname] => Salbutamol Sulfate - Impurity K
    [catalogue_number] => PA 19 44110
    [category_ids] => ,82,80,79,78,76,75,70,
    [chemical_name] => 
    [weight] => 271.74
    [form] => C13H18ClNO3
    [cas] => 898542-80-8
    [pslug] => 898542-80-8-salbutamol-sulfate-impurity-k-pa1944110
    [latest_product] => 0
    [linkproducts] => 1
    [offers_id] => 
    [offers_name] => 
    [offers_status] => 
    [offers_start_date] => 
    [offers_end_date] => 
    [pageview] => 
    [offers_slug] => 
    [offers_product_id] => 
    [offers_product_code] => 
    [offers_master_id] => 
    [offer_percentage] => 
    [offers_product_main_cat] => 
)
PA 19 44110
PA 19 44110

Salbutamol Sulfate - Impurity K


  • Catalogue No.:PA 19 44110

  • CAS :

    898542-80-8

  • Molecular Formula : C13H18ClNO3

  • Molecular Weight : 271.74

stdClass Object
(
    [pname] => Salbutamol Sulfate - Impurity L
    [catalogue_number] => PA 19 44120
    [category_ids] => ,79,76,75,70,78,80,82,
    [chemical_name] => 
    [weight] => 273.76
    [form] => C13H20ClNO3
    [cas] => 898542-81-9
    [pslug] => 898542-81-9-salbutamol-sulfate-impurity-l-pa1944120
    [latest_product] => 0
    [linkproducts] => 1
    [offers_id] => 
    [offers_name] => 
    [offers_status] => 
    [offers_start_date] => 
    [offers_end_date] => 
    [pageview] => 
    [offers_slug] => 
    [offers_product_id] => 
    [offers_product_code] => 
    [offers_master_id] => 
    [offer_percentage] => 
    [offers_product_main_cat] => 
)
PA 19 44120
PA 19 44120

Salbutamol Sulfate - Impurity L


  • Catalogue No.:PA 19 44120

  • CAS :

    898542-81-9

  • Molecular Formula : C13H20ClNO3

  • Molecular Weight : 273.76

stdClass Object
(
    [pname] => Salbutamol Sulfate - Impurity M
    [catalogue_number] => PA 19 44130
    [category_ids] => ,70,78,80,81,82,
    [chemical_name] => 
    [weight] => 253.34
    [form] => C14H23NO3
    [cas] => 18910-70-8
    [pslug] => 18910-70-8-salbutamol-sulfate-impurity-m-pa1944130
    [latest_product] => 0
    [linkproducts] => 1
    [offers_id] => 
    [offers_name] => 
    [offers_status] => 
    [offers_start_date] => 
    [offers_end_date] => 
    [pageview] => 
    [offers_slug] => 
    [offers_product_id] => 
    [offers_product_code] => 
    [offers_master_id] => 
    [offer_percentage] => 
    [offers_product_main_cat] => 
)
PA 19 44130
PA 19 44130

Salbutamol Sulfate - Impurity M


  • Catalogue No.:PA 19 44130

  • CAS :

    18910-70-8

  • Molecular Formula : C14H23NO3

  • Molecular Weight : 253.34

stdClass Object
(
    [pname] => Salbutamol Sulfate - Impurity N
    [catalogue_number] => PA 19 44140
    [category_ids] => ,70,75,78,79,80,82,98,
    [chemical_name] => 
    [weight] => 460.62
    [form] => C26H40N2O5
    [cas] => 149222-15-1
    [pslug] => 149222-15-1-salbutamol-sulfate-impurity-n-pa1944140
    [latest_product] => 0
    [linkproducts] => 1
    [offers_id] => 
    [offers_name] => 
    [offers_status] => 
    [offers_start_date] => 
    [offers_end_date] => 
    [pageview] => 
    [offers_slug] => 
    [offers_product_id] => 
    [offers_product_code] => 
    [offers_master_id] => 
    [offer_percentage] => 
    [offers_product_main_cat] => 
)
PA 19 44140
PA 19 44140

Salbutamol Sulfate - Impurity N


  • Catalogue No.:PA 19 44140

  • CAS :

    149222-15-1

  • Molecular Formula : C26H40N2O5

  • Molecular Weight : 460.62

stdClass Object
(
    [pname] => Salbutamol Sulfate - Impurity P
    [catalogue_number] => PA 19 44160
    [category_ids] => ,70,75,78,79,80,82,98,
    [chemical_name] => 
    [weight] => 405.49
    [form] => C22H31NO6
    [cas] => NA
    [pslug] => salbutamol-sulfate-impurity-p-pa1944160
    [latest_product] => 0
    [linkproducts] => 0
    [offers_id] => 
    [offers_name] => 
    [offers_status] => 
    [offers_start_date] => 
    [offers_end_date] => 
    [pageview] => 
    [offers_slug] => 
    [offers_product_id] => 
    [offers_product_code] => 
    [offers_master_id] => 
    [offer_percentage] => 
    [offers_product_main_cat] => 
)
PA 19 44160
PA 19 44160

Salbutamol Sulfate - Impurity P


  • Catalogue No.:PA 19 44160

  • CAS :

    NA

  • Molecular Formula : C22H31NO6

  • Molecular Weight : 405.49

stdClass Object
(
    [pname] => Salbutamol Sulfate - Impurity C (Sulfate Salt)
    [catalogue_number] => PA 19 44510
    [category_ids] => ,70,75,78,79,80,82,88,
    [chemical_name] => 
    [weight] => 321.39
    [form] => C13H23NO6S
    [cas] => 1956308-05-6
    [pslug] => 1956308-05-6-salbutamol-sulfate-impurity-c-sulfate-salt-pa1944510
    [latest_product] => 0
    [linkproducts] => 1
    [offers_id] => 
    [offers_name] => 
    [offers_status] => 
    [offers_start_date] => 
    [offers_end_date] => 
    [pageview] => 
    [offers_slug] => 
    [offers_product_id] => 
    [offers_product_code] => 
    [offers_master_id] => 
    [offer_percentage] => 
    [offers_product_main_cat] => 
)
PA 19 44510
PA 19 44510

Salbutamol Sulfate - Impurity C (Sulfate Salt)


  • Catalogue No.:PA 19 44510

  • CAS :

    1956308-05-6

  • Molecular Formula : C13H23NO6S

  • Molecular Weight : 321.39

stdClass Object
(
    [pname] => Salbutamol Sulfate - Impurity O
    [catalogue_number] => PA 19 44180
    [category_ids] => ,82,78,70,75,
    [chemical_name] => 
    [weight] => 267.37
    [form] => C15H25NO3
    [cas] => 754926-25-5
    [pslug] => 754926-25-5-salbutamol-sulfate-impurity-o-pa1944180
    [latest_product] => 0
    [linkproducts] => 0
    [offers_id] => 
    [offers_name] => 
    [offers_status] => 
    [offers_start_date] => 
    [offers_end_date] => 
    [pageview] => 
    [offers_slug] => 
    [offers_product_id] => 
    [offers_product_code] => 
    [offers_master_id] => 
    [offer_percentage] => 
    [offers_product_main_cat] => 
)
PA 19 44180
PA 19 44180

Salbutamol Sulfate - Impurity O


  • Catalogue No.:PA 19 44180

  • CAS :

    754926-25-5

  • Molecular Formula : C15H25NO3

  • Molecular Weight : 267.37

stdClass Object
(
    [pname] => Salbutamol Sulfate - Impurity G (Freebase)
    [catalogue_number] => PA 19 44071
    [category_ids] => ,70,75,78,79,80,82,
    [chemical_name] => 
    [weight] => 327.42
    [form] => C20H25NO3
    [cas] => 64092-10-0
    [pslug] => 64092-10-0-salbutamol-sulfate-impurity-g-freebase-pa1944071
    [latest_product] => 0
    [linkproducts] => 1
    [offers_id] => 
    [offers_name] => 
    [offers_status] => 
    [offers_start_date] => 
    [offers_end_date] => 
    [pageview] => 
    [offers_slug] => 
    [offers_product_id] => 
    [offers_product_code] => 
    [offers_master_id] => 
    [offer_percentage] => 
    [offers_product_main_cat] => 
)
PA 19 44071
PA 19 44071

Salbutamol Sulfate - Impurity G (Freebase)


  • Catalogue No.:PA 19 44071

  • CAS :

    64092-10-0

  • Molecular Formula : C20H25NO3

  • Molecular Weight : 327.42

stdClass Object
(
    [pname] => Salbutamol Sulfate - Impurity M (Hydrochloride Salt)
    [catalogue_number] => PA 19 44131
    [category_ids] => ,70,78,82,
    [chemical_name] => 
    [weight] => 289.8
    [form] => C14H24ClNO3
    [cas] => 27566-30-9
    [pslug] => 27566-30-9-salbutamol-sulfate-impurity-m-hydrochloride-salt-pa1944131
    [latest_product] => 0
    [linkproducts] => 1
    [offers_id] => 
    [offers_name] => 
    [offers_status] => 
    [offers_start_date] => 
    [offers_end_date] => 
    [pageview] => 
    [offers_slug] => 
    [offers_product_id] => 
    [offers_product_code] => 
    [offers_master_id] => 
    [offer_percentage] => 
    [offers_product_main_cat] => 
)
PA 19 44131
PA 19 44131

Salbutamol Sulfate - Impurity M (Hydrochloride Salt)


  • Catalogue No.:PA 19 44131

  • CAS :

    27566-30-9

  • Molecular Formula : C14H24ClNO3

  • Molecular Weight : 289.8

stdClass Object
(
    [pname] => 2-(Benzyl(tert-butyl)amino)-1-(4-hydroxyphenyl)ethanone
    [catalogue_number] => PA 19 0441005
    [category_ids] => ,79,80,81,78,70,82,
    [chemical_name] => 
    [weight] => 297.4
    [form] => C19H23NO2
    [cas] => 62508-15-0
    [pslug] => 62508-15-0-2-benzyl-tert-butyl-amino-1-4-hydroxyphenyl-ethanone-pa190441005
    [latest_product] => 0
    [linkproducts] => 0
    [offers_id] => 
    [offers_name] => 
    [offers_status] => 
    [offers_start_date] => 
    [offers_end_date] => 
    [pageview] => 
    [offers_slug] => 
    [offers_product_id] => 
    [offers_product_code] => 
    [offers_master_id] => 
    [offer_percentage] => 
    [offers_product_main_cat] => 
)
PA 19 0441005
PA 19 0441005

2-(Benzyl(tert-butyl)amino)-1-(4-hydroxyphenyl)ethanone


  • Catalogue No.:PA 19 0441005

  • CAS :

    62508-15-0

  • Molecular Formula : C19H23NO2

  • Molecular Weight : 297.4

stdClass Object
(
    [pname] => 5-(N-Benzyl-N-(tert-butyl)glycyl)-2-hydroxybenzyl Acetate
    [catalogue_number] => PA 19 0441006
    [category_ids] => ,79,80,81,78,70,82,
    [chemical_name] => 
    [weight] => 369.46
    [form] => C22H27NO4
    [cas] => NA
    [pslug] => 5-n-benzyl-n-tert-butyl-glycyl-2-hydroxybenzyl-acetate-pa190441006
    [latest_product] => 0
    [linkproducts] => 0
    [offers_id] => 
    [offers_name] => 
    [offers_status] => 
    [offers_start_date] => 
    [offers_end_date] => 
    [pageview] => 
    [offers_slug] => 
    [offers_product_id] => 
    [offers_product_code] => 
    [offers_master_id] => 
    [offer_percentage] => 
    [offers_product_main_cat] => 
)
PA 19 0441006
PA 19 0441006

5-(N-Benzyl-N-(tert-butyl)glycyl)-2-hydroxybenzyl Acetate


  • Catalogue No.:PA 19 0441006

  • CAS :

    NA

  • Molecular Formula : C22H27NO4

  • Molecular Weight : 369.46

stdClass Object
(
    [pname] => 4-(N-Benzyl-N-(tert-butyl)glycyl)-2-(hydroxymethyl)phenyl Acetate
    [catalogue_number] => PA 19 0441007
    [category_ids] => ,79,80,81,78,70,82,
    [chemical_name] => 
    [weight] => 369.46
    [form] => C22H27NO4
    [cas] => NA
    [pslug] => 4-n-benzyl-n-tert-butyl-glycyl-2-hydroxymethyl-phenyl-acetate-pa190441007
    [latest_product] => 0
    [linkproducts] => 0
    [offers_id] => 
    [offers_name] => 
    [offers_status] => 
    [offers_start_date] => 
    [offers_end_date] => 
    [pageview] => 
    [offers_slug] => 
    [offers_product_id] => 
    [offers_product_code] => 
    [offers_master_id] => 
    [offer_percentage] => 
    [offers_product_main_cat] => 
)
PA 19 0441007
PA 19 0441007

4-(N-Benzyl-N-(tert-butyl)glycyl)-2-(hydroxymethyl)phenyl Acetate


  • Catalogue No.:PA 19 0441007

  • CAS :

    NA

  • Molecular Formula : C22H27NO4

  • Molecular Weight : 369.46

stdClass Object
(
    [pname] => 2-(Benzyl(tert-butyl)amino)-1-(3-((benzyl(tert-butyl)amino)methyl)-4-hydroxyphenyl)ethan-1-one
    [catalogue_number] => PA 19 0441008
    [category_ids] => ,79,80,81,78,70,82,
    [chemical_name] => 
    [weight] => 472.67
    [form] => C31H40N2O2
    [cas] => NA
    [pslug] => 2-benzyl-tert-butyl-amino-1-3-benzyl-tert-butyl-amino-methyl-4-hydroxyphenyl-ethan-1-one-pa190441008
    [latest_product] => 0
    [linkproducts] => 0
    [offers_id] => 
    [offers_name] => 
    [offers_status] => 
    [offers_start_date] => 
    [offers_end_date] => 
    [pageview] => 
    [offers_slug] => 
    [offers_product_id] => 
    [offers_product_code] => 
    [offers_master_id] => 
    [offer_percentage] => 
    [offers_product_main_cat] => 
)
PA 19 0441008
PA 19 0441008

2-(Benzyl(tert-butyl)amino)-1-(3-((benzyl(tert-butyl)amino)methyl)-4-hydroxyphenyl)ethan-1-one


  • Catalogue No.:PA 19 0441008

  • CAS :

    NA

  • Molecular Formula : C31H40N2O2

  • Molecular Weight : 472.67

stdClass Object
(
    [pname] => 4-Bromo-2-(5-bromo-2-hydroxybenzyl)-6-(hydroxymethyl)phenol
    [catalogue_number] => PAI 19 044007
    [category_ids] => ,70,
    [chemical_name] => 
    [weight] => 388.06
    [form] => C14H12Br2O3
    [cas] => 438246-20-9
    [pslug] => 438246-20-9-4-bromo-2-5-bromo-2-hydroxybenzyl-6-hydroxymethyl-phenol-pai19044007
    [latest_product] => 0
    [linkproducts] => 0
    [offers_id] => 
    [offers_name] => 
    [offers_status] => 
    [offers_start_date] => 
    [offers_end_date] => 
    [pageview] => 
    [offers_slug] => 
    [offers_product_id] => 
    [offers_product_code] => 
    [offers_master_id] => 
    [offer_percentage] => 
    [offers_product_main_cat] => 
)
PAI 19 044007
PAI 19 044007

4-Bromo-2-(5-bromo-2-hydroxybenzyl)-6-(hydroxymethyl)phenol


  • Catalogue No.:PAI 19 044007

  • CAS :

    438246-20-9

  • Molecular Formula : C14H12Br2O3

  • Molecular Weight : 388.06

stdClass Object
(
    [pname] => 2-Acetoxy-3-(2-acetoxy-5-bromobenzyl)-5-bromobenzyl Acetate
    [catalogue_number] => PAI 19 044008
    [category_ids] => ,70,
    [chemical_name] => 
    [weight] => 514.17
    [form] => C20H18Br2O6
    [cas] => 438246-21-0
    [pslug] => 438246-21-0-2-acetoxy-3-2-acetoxy-5-bromobenzyl-5-bromobenzyl-acetate-pai19044008
    [latest_product] => 0
    [linkproducts] => 0
    [offers_id] => 
    [offers_name] => 
    [offers_status] => 
    [offers_start_date] => 
    [offers_end_date] => 
    [pageview] => 
    [offers_slug] => 
    [offers_product_id] => 
    [offers_product_code] => 
    [offers_master_id] => 
    [offer_percentage] => 
    [offers_product_main_cat] => 
)
PAI 19 044008
PAI 19 044008

2-Acetoxy-3-(2-acetoxy-5-bromobenzyl)-5-bromobenzyl Acetate


  • Catalogue No.:PAI 19 044008

  • CAS :

    438246-21-0

  • Molecular Formula : C20H18Br2O6

  • Molecular Weight : 514.17

stdClass Object
(
    [pname] => 2-Acetoxy-3-(2-acetoxy-5-vinylbenzyl)-5-vinylbenzyl Acetate
    [catalogue_number] => PAI 19 044009
    [category_ids] => ,70,
    [chemical_name] => 
    [weight] => 408.45
    [form] => C24H24O6
    [cas] => 438246-22-1
    [pslug] => 438246-22-1-2-acetoxy-3-2-acetoxy-5-vinylbenzyl-5-vinylbenzyl-acetate-pai19044009
    [latest_product] => 0
    [linkproducts] => 0
    [offers_id] => 
    [offers_name] => 
    [offers_status] => 
    [offers_start_date] => 
    [offers_end_date] => 
    [pageview] => 
    [offers_slug] => 
    [offers_product_id] => 
    [offers_product_code] => 
    [offers_master_id] => 
    [offer_percentage] => 
    [offers_product_main_cat] => 
)
PAI 19 044009
PAI 19 044009

2-Acetoxy-3-(2-acetoxy-5-vinylbenzyl)-5-vinylbenzyl Acetate


  • Catalogue No.:PAI 19 044009

  • CAS :

    438246-22-1

  • Molecular Formula : C24H24O6

  • Molecular Weight : 408.45

stdClass Object
(
    [pname] => 2-Acetoxy-3-(2-acetoxy-5-(2-bromo-1-hydroxyethyl)benzyl)-5-(2-bromo-1-hydroxyethyl)benzyl Acetate
    [catalogue_number] => PAI 19 044010
    [category_ids] => ,70,
    [chemical_name] => 
    [weight] => 602.27
    [form] => C24H26Br2O8
    [cas] => 438246-23-2
    [pslug] => 438246-23-2-2-acetoxy-3-2-acetoxy-5-2-bromo-1-hydroxyethyl-benzyl-5-2-bromo-1-hydroxyethyl-benzyl-acetate-pai19044010
    [latest_product] => 0
    [linkproducts] => 0
    [offers_id] => 
    [offers_name] => 
    [offers_status] => 
    [offers_start_date] => 
    [offers_end_date] => 
    [pageview] => 
    [offers_slug] => 
    [offers_product_id] => 
    [offers_product_code] => 
    [offers_master_id] => 
    [offer_percentage] => 
    [offers_product_main_cat] => 
)
PAI 19 044010
PAI 19 044010

2-Acetoxy-3-(2-acetoxy-5-(2-bromo-1-hydroxyethyl)benzyl)-5-(2-bromo-1-hydroxyethyl)benzyl Acetate


  • Catalogue No.:PAI 19 044010

  • CAS :

    438246-23-2

  • Molecular Formula : C24H26Br2O8

  • Molecular Weight : 602.27

stdClass Object
(
    [pname] => 2-Acetoxy-3-(2-acetoxy-5-(oxiran-2-yl)benzyl)-5-(oxiran-2-yl)benzyl Acetate
    [catalogue_number] => PAI 19 044011
    [category_ids] => ,70,
    [chemical_name] => 
    [weight] => 440.45
    [form] => C24H24O8
    [cas] => 438246-24-3
    [pslug] => 438246-24-3-2-acetoxy-3-2-acetoxy-5-oxiran-2-yl-benzyl-5-oxiran-2-yl-benzyl-acetate-pai19044011
    [latest_product] => 0
    [linkproducts] => 0
    [offers_id] => 
    [offers_name] => 
    [offers_status] => 
    [offers_start_date] => 
    [offers_end_date] => 
    [pageview] => 
    [offers_slug] => 
    [offers_product_id] => 
    [offers_product_code] => 
    [offers_master_id] => 
    [offer_percentage] => 
    [offers_product_main_cat] => 
)
PAI 19 044011
PAI 19 044011

2-Acetoxy-3-(2-acetoxy-5-(oxiran-2-yl)benzyl)-5-(oxiran-2-yl)benzyl Acetate


  • Catalogue No.:PAI 19 044011

  • CAS :

    438246-24-3

  • Molecular Formula : C24H24O8

  • Molecular Weight : 440.45

stdClass Object
(
    [pname] => 2-Acetoxy-3-(2-acetoxy-5-(2-(tert-butylamino)-1-hydroxyethyl)benzyl)-5-(2-(tert-butylamino)-1-hydroxyethyl)benzyl Acetate
    [catalogue_number] => PAI 19 044012
    [category_ids] => ,70,
    [chemical_name] => 
    [weight] => 586.73
    [form] => C32H46N2O8
    [cas] => 438246-25-4
    [pslug] => 438246-25-4-2-acetoxy-3-2-acetoxy-5-2-tert-butylamino-1-hydroxyethyl-benzyl-5-2-tert-butylamino-1-hydroxyethyl-benzyl-acetate-pai19044012
    [latest_product] => 0
    [linkproducts] => 0
    [offers_id] => 
    [offers_name] => 
    [offers_status] => 
    [offers_start_date] => 
    [offers_end_date] => 
    [pageview] => 
    [offers_slug] => 
    [offers_product_id] => 
    [offers_product_code] => 
    [offers_master_id] => 
    [offer_percentage] => 
    [offers_product_main_cat] => 
)
PAI 19 044012
PAI 19 044012

2-Acetoxy-3-(2-acetoxy-5-(2-(tert-butylamino)-1-hydroxyethyl)benzyl)-5-(2-(tert-butylamino)-1-hydroxyethyl)benzyl Acetate


  • Catalogue No.:PAI 19 044012

  • CAS :

    438246-25-4

  • Molecular Formula : C32H46N2O8

  • Molecular Weight : 586.73

stdClass Object
(
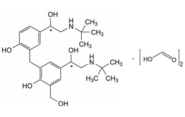
    [pname] => Salbutamol Sulfate - Impurity F (Diacetate Salt)
    [catalogue_number] => PA 19 0440061
    [category_ids] => ,70,75,78,79,80,82,
    [chemical_name] => 
    [weight] => 580.72
    [form] => C30H48N2O9
    [cas] => NA
    [pslug] => salbutamol-sulfate-impurity-f-diacetate-salt-pa190440061
    [latest_product] => 0
    [linkproducts] => 1
    [offers_id] => 
    [offers_name] => 
    [offers_status] => 
    [offers_start_date] => 
    [offers_end_date] => 
    [pageview] => 
    [offers_slug] => 
    [offers_product_id] => 
    [offers_product_code] => 
    [offers_master_id] => 
    [offer_percentage] => 
    [offers_product_main_cat] => 
)
PA 19 0440061
PA 19 0440061

Salbutamol Sulfate - Impurity F (Diacetate Salt)


  • Catalogue No.:PA 19 0440061

  • CAS :

    NA

  • Molecular Formula : C30H48N2O9

  • Molecular Weight : 580.72

stdClass Object
(
    [pname] => 2,2'-Methylenebis(4-bromophenol)
    [catalogue_number] => PAI 19 044013
    [category_ids] => ,70,
    [chemical_name] => 
    [weight] => 358.03
    [form] => C13H10Br2O2
    [cas] => 78563-03-8
    [pslug] => 78563-03-8-2-2-methylenebis-4-bromophenol-pai19044013
    [latest_product] => 0
    [linkproducts] => 0
    [offers_id] => 
    [offers_name] => 
    [offers_status] => 
    [offers_start_date] => 
    [offers_end_date] => 
    [pageview] => 
    [offers_slug] => 
    [offers_product_id] => 
    [offers_product_code] => 
    [offers_master_id] => 
    [offer_percentage] => 
    [offers_product_main_cat] => 
)
PAI 19 044013
PAI 19 044013

2,2'-Methylenebis(4-bromophenol)


  • Catalogue No.:PAI 19 044013

  • CAS :

    78563-03-8

  • Molecular Formula : C13H10Br2O2

  • Molecular Weight : 358.03

stdClass Object
(
    [pname] => 2-(Benzyloxy)-1-(2-(benzyloxy)-5-bromobenzyl)-3-((benzyloxy)methyl)-5-bromobenzene
    [catalogue_number] => PAI 19 044014
    [category_ids] => ,70,
    [chemical_name] => 
    [weight] => 658.43
    [form] => C35H30Br2O3
    [cas] => 2582894-36-6
    [pslug] => 2582894-36-6-2-benzyloxy-1-2-benzyloxy-5-bromobenzyl-3-benzyloxy-methyl-5-bromobenzene-pai19044014
    [latest_product] => 0
    [linkproducts] => 0
    [offers_id] => 
    [offers_name] => 
    [offers_status] => 
    [offers_start_date] => 
    [offers_end_date] => 
    [pageview] => 
    [offers_slug] => 
    [offers_product_id] => 
    [offers_product_code] => 
    [offers_master_id] => 
    [offer_percentage] => 
    [offers_product_main_cat] => 
)
PAI 19 044014
PAI 19 044014

2-(Benzyloxy)-1-(2-(benzyloxy)-5-bromobenzyl)-3-((benzyloxy)methyl)-5-bromobenzene


  • Catalogue No.:PAI 19 044014

  • CAS :

    2582894-36-6

  • Molecular Formula : C35H30Br2O3

  • Molecular Weight : 658.43

stdClass Object
(
    [pname] => 2-(Benzyloxy)-1-(2-(benzyloxy)-5-vinylbenzyl)-3-((benzyloxy)methyl)-5-vinylbenzene
    [catalogue_number] => PAI 19 044015
    [category_ids] => ,70,
    [chemical_name] => 
    [weight] => 552.71
    [form] => C39H36O3
    [cas] => 2582894-37-7
    [pslug] => 2582894-37-7-2-benzyloxy-1-2-benzyloxy-5-vinylbenzyl-3-benzyloxy-methyl-5-vinylbenzene-pai19044015
    [latest_product] => 0
    [linkproducts] => 0
    [offers_id] => 
    [offers_name] => 
    [offers_status] => 
    [offers_start_date] => 
    [offers_end_date] => 
    [pageview] => 
    [offers_slug] => 
    [offers_product_id] => 
    [offers_product_code] => 
    [offers_master_id] => 
    [offer_percentage] => 
    [offers_product_main_cat] => 
)
PAI 19 044015
PAI 19 044015

2-(Benzyloxy)-1-(2-(benzyloxy)-5-vinylbenzyl)-3-((benzyloxy)methyl)-5-vinylbenzene


  • Catalogue No.:PAI 19 044015

  • CAS :

    2582894-37-7

  • Molecular Formula : C39H36O3

  • Molecular Weight : 552.71

stdClass Object
(
    [pname] => 1-(4-(Benzyloxy)-3-(2-(benzyloxy)-3-((benzyloxy)methyl)-5-(2-bromo-1-hydroxyethyl)benzyl)phenyl)-2-bromoethan-1-ol
    [catalogue_number] => PAI 19 044016
    [category_ids] => ,70,
    [chemical_name] => 
    [weight] => 746.54
    [form] => C39H38Br2O5
    [cas] => 2582894-38-8
    [pslug] => 2582894-38-8-1-4-benzyloxy-3-2-benzyloxy-3-benzyloxy-methyl-5-2-bromo-1-hydroxyethyl-benzyl-phenyl-2-bromoethan-1-ol-pai19044016
    [latest_product] => 0
    [linkproducts] => 0
    [offers_id] => 
    [offers_name] => 
    [offers_status] => 
    [offers_start_date] => 
    [offers_end_date] => 
    [pageview] => 
    [offers_slug] => 
    [offers_product_id] => 
    [offers_product_code] => 
    [offers_master_id] => 
    [offer_percentage] => 
    [offers_product_main_cat] => 
)
PAI 19 044016
PAI 19 044016

1-(4-(Benzyloxy)-3-(2-(benzyloxy)-3-((benzyloxy)methyl)-5-(2-bromo-1-hydroxyethyl)benzyl)phenyl)-2-bromoethan-1-ol


  • Catalogue No.:PAI 19 044016

  • CAS :

    2582894-38-8

  • Molecular Formula : C39H38Br2O5

  • Molecular Weight : 746.54

stdClass Object
(
    [pname] => 1-(4-(Benzyloxy)-3-(2-(benzyloxy)-3-((benzyloxy)methyl)-5-(2-(tert-butylamino)-1-hydroxyethyl)benzyl)phenyl)-2-(tert-butylamino)ethan-1-ol
    [catalogue_number] => PAI 19 044017
    [category_ids] => ,70,
    [chemical_name] => 
    [weight] => 730.99
    [form] => C47H58N2O5
    [cas] => 2582894-39-9
    [pslug] => 2582894-39-9-1-4-benzyloxy-3-2-benzyloxy-3-benzyloxy-methyl-5-2-tert-butylamino-1-hydroxyethyl-benzyl-phenyl-2-tert-butylamino-ethan-1-ol-pai19044017
    [latest_product] => 0
    [linkproducts] => 0
    [offers_id] => 
    [offers_name] => 
    [offers_status] => 
    [offers_start_date] => 
    [offers_end_date] => 
    [pageview] => 
    [offers_slug] => 
    [offers_product_id] => 
    [offers_product_code] => 
    [offers_master_id] => 
    [offer_percentage] => 
    [offers_product_main_cat] => 
)
PAI 19 044017
PAI 19 044017

1-(4-(Benzyloxy)-3-(2-(benzyloxy)-3-((benzyloxy)methyl)-5-(2-(tert-butylamino)-1-hydroxyethyl)benzyl)phenyl)-2-(tert-butylamino)ethan-1-ol


  • Catalogue No.:PAI 19 044017

  • CAS :

    2582894-39-9

  • Molecular Formula : C47H58N2O5

  • Molecular Weight : 730.99

stdClass Object
(
    [pname] => Salbutamol Sulfate - Impurity K (Hydrochloride Salt)
    [catalogue_number] => PA 19 0440111
    [category_ids] => ,70,75,76,78,79,80,82,
    [chemical_name] => 
    [weight] => 308.2
    [form] => C13H19Cl2NO3
    [cas] => NA
    [pslug] => salbutamol-sulfate-impurity-k-hydrochloride-salt-pa190440111
    [latest_product] => 0
    [linkproducts] => 1
    [offers_id] => 
    [offers_name] => 
    [offers_status] => 
    [offers_start_date] => 
    [offers_end_date] => 
    [pageview] => 
    [offers_slug] => 
    [offers_product_id] => 
    [offers_product_code] => 
    [offers_master_id] => 
    [offer_percentage] => 
    [offers_product_main_cat] => 
)
PA 19 0440111
PA 19 0440111

Salbutamol Sulfate - Impurity K (Hydrochloride Salt)


  • Catalogue No.:PA 19 0440111

  • CAS :

    NA

  • Molecular Formula : C13H19Cl2NO3

  • Molecular Weight : 308.2

stdClass Object
(
    [pname] => Salbutamol Sulfate - Impurity L (Hydrochloride Salt)
    [catalogue_number] => PA 19 0440121
    [category_ids] => ,70,75,76,78,79,80,82,
    [chemical_name] => 
    [weight] => 310.22
    [form] => C13H21Cl2NO3
    [cas] => NA
    [pslug] => salbutamol-sulfate-impurity-l-hydrochloride-salt-pa190440121
    [latest_product] => 0
    [linkproducts] => 1
    [offers_id] => 
    [offers_name] => 
    [offers_status] => 
    [offers_start_date] => 
    [offers_end_date] => 
    [pageview] => 
    [offers_slug] => 
    [offers_product_id] => 
    [offers_product_code] => 
    [offers_master_id] => 
    [offer_percentage] => 
    [offers_product_main_cat] => 
)
PA 19 0440121
PA 19 0440121

Salbutamol Sulfate - Impurity L (Hydrochloride Salt)


  • Catalogue No.:PA 19 0440121

  • CAS :

    NA

  • Molecular Formula : C13H21Cl2NO3

  • Molecular Weight : 310.22

stdClass Object
(
    [pname] => Salbutamol Sulfate - Impurity D (Formate Salt)
    [catalogue_number] => PA 19 0440041
    [category_ids] => ,70,75,76,78,79,80,82,
    [chemical_name] => 
    [weight] => 283.32
    [form] => C14H21NO5
    [cas] => NA
    [pslug] => salbutamol-sulfate-impurity-d-formate-salt-pa190440041
    [latest_product] => 0
    [linkproducts] => 1
    [offers_id] => 
    [offers_name] => 
    [offers_status] => 
    [offers_start_date] => 
    [offers_end_date] => 
    [pageview] => 
    [offers_slug] => 
    [offers_product_id] => 
    [offers_product_code] => 
    [offers_master_id] => 
    [offer_percentage] => 
    [offers_product_main_cat] => 
)
PA 19 0440041
PA 19 0440041

Salbutamol Sulfate - Impurity D (Formate Salt)


  • Catalogue No.:PA 19 0440041

  • CAS :

    NA

  • Molecular Formula : C14H21NO5

  • Molecular Weight : 283.32

stdClass Object
(
    [pname] => Salbutamol Sulfate - Impurity A (Acetate Salt)
    [catalogue_number] => PA 19 0440011
    [category_ids] => ,70,75,78,79,80,82,
    [chemical_name] => 
    [weight] => 313.39
    [form] => C16H27NO5
    [cas] => 3050754-61-2
    [pslug] => 3050754-61-2-salbutamol-sulfate-impurity-a-acetate-salt-pa190440011
    [latest_product] => 0
    [linkproducts] => 1
    [offers_id] => 
    [offers_name] => 
    [offers_status] => 
    [offers_start_date] => 
    [offers_end_date] => 
    [pageview] => 
    [offers_slug] => 
    [offers_product_id] => 
    [offers_product_code] => 
    [offers_master_id] => 
    [offer_percentage] => 
    [offers_product_main_cat] => 
)
PA 19 0440011
PA 19 0440011

Salbutamol Sulfate - Impurity A (Acetate Salt)


  • Catalogue No.:PA 19 0440011

  • CAS :

    3050754-61-2

  • Molecular Formula : C16H27NO5

  • Molecular Weight : 313.39

stdClass Object
(
    [pname] => Salbutamol Sulfate - Impurity D (Sulfate Salt)
    [catalogue_number] => PA 19 0440042
    [category_ids] => ,70,75,78,79,80,82,
    [chemical_name] => 
    [weight] => 572.67
    [form] => C26H40N2O10S
    [cas] => 2624100-96-3
    [pslug] => 2624100-96-3-salbutamol-sulfate-impurity-d-sulfate-salt-pa190440042
    [latest_product] => 0
    [linkproducts] => 1
    [offers_id] => 
    [offers_name] => 
    [offers_status] => 
    [offers_start_date] => 
    [offers_end_date] => 
    [pageview] => 
    [offers_slug] => 
    [offers_product_id] => 
    [offers_product_code] => 
    [offers_master_id] => 
    [offer_percentage] => 
    [offers_product_main_cat] => 
)
PA 19 0440042
PA 19 0440042

Salbutamol Sulfate - Impurity D (Sulfate Salt)


  • Catalogue No.:PA 19 0440042

  • CAS :

    2624100-96-3

  • Molecular Formula : C26H40N2O10S

  • Molecular Weight : 572.67

stdClass Object
(
    [pname] => 2-(Benzyl(tert-butyl)amino)-1-(4-(benzyloxy)-3-(hydroxymethyl)phenyl)ethan-1-ol
    [catalogue_number] => PA 19 0441009
    [category_ids] => ,70,78,82,
    [chemical_name] => 
    [weight] => 419.57
    [form] => C27H33NO3
    [cas] => 35459-09-7
    [pslug] => 35459-09-7-2-benzyl-tert-butyl-amino-1-4-benzyloxy-3-hydroxymethyl-phenyl-ethan-1-ol-pa190441009
    [latest_product] => 0
    [linkproducts] => 0
    [offers_id] => 
    [offers_name] => 
    [offers_status] => 
    [offers_start_date] => 
    [offers_end_date] => 
    [pageview] => 
    [offers_slug] => 
    [offers_product_id] => 
    [offers_product_code] => 
    [offers_master_id] => 
    [offer_percentage] => 
    [offers_product_main_cat] => 
)
PA 19 0441009
PA 19 0441009

2-(Benzyl(tert-butyl)amino)-1-(4-(benzyloxy)-3-(hydroxymethyl)phenyl)ethan-1-ol


  • Catalogue No.:PA 19 0441009

  • CAS :

    35459-09-7

  • Molecular Formula : C27H33NO3

  • Molecular Weight : 419.57

stdClass Object
(
    [pname] => Salbutamol Sulfate - Impurity N (Diformate Salt)
    [catalogue_number] => PA 19 0440141
    [category_ids] => ,70,75,78,79,80,82,98,
    [chemical_name] => 
    [weight] => 552.67
    [form] => C28H44N2O9
    [cas] => NA
    [pslug] => salbutamol-sulfate-impurity-n-diformate-salt-pa190440141
    [latest_product] => 0
    [linkproducts] => 1
    [offers_id] => 
    [offers_name] => 
    [offers_status] => 
    [offers_start_date] => 
    [offers_end_date] => 
    [pageview] => 
    [offers_slug] => 
    [offers_product_id] => 
    [offers_product_code] => 
    [offers_master_id] => 
    [offer_percentage] => 
    [offers_product_main_cat] => 
)
PA 19 0440141
PA 19 0440141

Salbutamol Sulfate - Impurity N (Diformate Salt)


  • Catalogue No.:PA 19 0440141

  • CAS :

    NA

  • Molecular Formula : C28H44N2O9

  • Molecular Weight : 552.67

pharmaffiliates