tenofovir

Nucleotides - Tenofovir disoproxil is used for HIV-1 infection and chronic hepatitis B treatment. It is available as a generic medication. It is sold under the trade name Viread.Reference standards of Tenofovir API,and its pharmacopeial, non pharmacopeial impurities, and stable isotopes are listed below.

stdClass Object
(
    [pname] => Tenofovir
    [catalogue_number] => PA 20 09000
    [category_ids] => ,85,83,78,70,82,72,
    [chemical_name] => 
    [weight] => 287.21
    [form] => C9H14N5O4P
    [cas] => 147127-20-6
    [pslug] => 147127-20-6-tenofovir-api-pa2009000
    [latest_product] => 0
    [linkproducts] => 1
    [offers_id] => 
    [offers_name] => 
    [offers_status] => 
    [offers_start_date] => 
    [offers_end_date] => 
    [pageview] => 
    [offers_slug] => 
    [offers_product_id] => 
    [offers_product_code] => 
    [offers_master_id] => 
    [offer_percentage] => 
    [offers_product_main_cat] => 
)
PA 20 09000
PA 20 09000

Tenofovir


  • Catalogue No.:PA 20 09000

  • CAS :

    147127-20-6

  • Molecular Formula : C9H14N5O4P

  • Molecular Weight : 287.21

stdClass Object
(
    [pname] => (E)-9-(Prop-1-enyl)-9H-purin-6-amine
    [catalogue_number] => PA 20 09020
    [category_ids] => ,85,83,80,79,71,
    [chemical_name] => 
    [weight] => 175.19
    [form] => C8H9N5
    [cas] => 1446486-33-4
    [pslug] => 1446486-33-4-e-9-prop-1-enyl-9h-purin-6-amine-pa2009020
    [latest_product] => 0
    [linkproducts] => 0
    [offers_id] => 
    [offers_name] => 
    [offers_status] => 
    [offers_start_date] => 
    [offers_end_date] => 
    [pageview] => 
    [offers_slug] => 
    [offers_product_id] => 
    [offers_product_code] => 
    [offers_master_id] => 
    [offer_percentage] => 
    [offers_product_main_cat] => 
)
PA 20 09020
PA 20 09020

(E)-9-(Prop-1-enyl)-9H-purin-6-amine


  • Catalogue No.:PA 20 09020

  • CAS :

    1446486-33-4

  • Molecular Formula : C8H9N5

  • Molecular Weight : 175.19

stdClass Object
(
    [pname] => Desmethyl Tenofovir Disoproxil Fumarate
    [catalogue_number] => PA 20 09510
    [category_ids] => ,85,83,78,70,82,72,
    [chemical_name] => 
    [weight] => 621.49
    [form] => C22H32N5O14P
    [cas] => 2251049-67-7
    [pslug] => 2251049-67-7-desmethyl-tenofovir-disoproxil-fumarate-pa2009510
    [latest_product] => 0
    [linkproducts] => 1
    [offers_id] => 
    [offers_name] => 
    [offers_status] => 
    [offers_start_date] => 
    [offers_end_date] => 
    [pageview] => 
    [offers_slug] => 
    [offers_product_id] => 
    [offers_product_code] => 
    [offers_master_id] => 
    [offer_percentage] => 
    [offers_product_main_cat] => 
)
PA 20 09510
PA 20 09510

Desmethyl Tenofovir Disoproxil Fumarate


  • Catalogue No.:PA 20 09510

  • CAS :

    2251049-67-7

  • Molecular Formula : C22H32N5O14P

  • Molecular Weight : 621.49

stdClass Object
(
    [pname] => Diethylaminocarboxymethyl POC Tenofovir
    [catalogue_number] => PA 20 09520
    [category_ids] => ,85,83,72,78,82,70,
    [chemical_name] => 
    [weight] => 532.48
    [form] => C20H33N6O9P
    [cas] => 2747976-40-3
    [pslug] => 2747976-40-3-diethylaminocarboxymethyl-poc-tenofovir-pa2009520
    [latest_product] => 0
    [linkproducts] => 1
    [offers_id] => 
    [offers_name] => 
    [offers_status] => 
    [offers_start_date] => 
    [offers_end_date] => 
    [pageview] => 
    [offers_slug] => 
    [offers_product_id] => 
    [offers_product_code] => 
    [offers_master_id] => 
    [offer_percentage] => 
    [offers_product_main_cat] => 
)
PA 20 09520
PA 20 09520

Diethylaminocarboxymethyl POC Tenofovir


  • Catalogue No.:PA 20 09520

  • CAS :

    2747976-40-3

  • Molecular Formula : C20H33N6O9P

  • Molecular Weight : 532.48

stdClass Object
(
    [pname] => 6N-Hydroxymethyl Tenofovir Disoproxil
    [catalogue_number] => PA 20 09530
    [category_ids] => ,85,83,82,78,72,70,
    [chemical_name] => 
    [weight] => 549.47
    [form] => C20H32N5O11P
    [cas] => 1244022-53-4
    [pslug] => 1244022-53-4-6n-hydroxymethyl-tenofovir-disoproxil-pa2009530
    [latest_product] => 0
    [linkproducts] => 0
    [offers_id] => 
    [offers_name] => 
    [offers_status] => 
    [offers_start_date] => 
    [offers_end_date] => 
    [pageview] => 
    [offers_slug] => 
    [offers_product_id] => 
    [offers_product_code] => 
    [offers_master_id] => 
    [offer_percentage] => 
    [offers_product_main_cat] => 
)
PA 20 09530
PA 20 09530

6N-Hydroxymethyl Tenofovir Disoproxil


  • Catalogue No.:PA 20 09530

  • CAS :

    1244022-53-4

  • Molecular Formula : C20H32N5O11P

  • Molecular Weight : 549.47

stdClass Object
(
    [pname] => Isopropyl Tenofovir
    [catalogue_number] => PA 20 09540
    [category_ids] => ,85,83,78,70,82,72,
    [chemical_name] => 
    [weight] => 329.29
    [form] => C12H20N5O4P
    [cas] => 1346597-36-1
    [pslug] => 1346597-36-1-isopropyl-tenofovir-pa2009540
    [latest_product] => 0
    [linkproducts] => 0
    [offers_id] => 
    [offers_name] => 
    [offers_status] => 
    [offers_start_date] => 
    [offers_end_date] => 
    [pageview] => 
    [offers_slug] => 
    [offers_product_id] => 
    [offers_product_code] => 
    [offers_master_id] => 
    [offer_percentage] => 
    [offers_product_main_cat] => 
)
PA 20 09540
PA 20 09540

Isopropyl Tenofovir


  • Catalogue No.:PA 20 09540

  • CAS :

    1346597-36-1

  • Molecular Formula : C12H20N5O4P

  • Molecular Weight : 329.29

stdClass Object
(
    [pname] => Mono-POC Methyl Tenofovir (Mixture of Diastereomers)
    [catalogue_number] => PA 20 09550
    [category_ids] => ,85,83,79,72,82,78,70,
    [chemical_name] => 
    [weight] => 417.35
    [form] => C15H24N5O7P
    [cas] => 1246812-16-7
    [pslug] => 1246812-16-7-mono-poc-methyl-tenofovir-mixture-of-diastereomers-pa2009550
    [latest_product] => 0
    [linkproducts] => 0
    [offers_id] => 
    [offers_name] => 
    [offers_status] => 
    [offers_start_date] => 
    [offers_end_date] => 
    [pageview] => 
    [offers_slug] => 
    [offers_product_id] => 
    [offers_product_code] => 
    [offers_master_id] => 
    [offer_percentage] => 
    [offers_product_main_cat] => 
)
PA 20 09550
PA 20 09550

Mono-POC Methyl Tenofovir (Mixture of Diastereomers)


  • Catalogue No.:PA 20 09550

  • CAS :

    1246812-16-7

  • Molecular Formula : C15H24N5O7P

  • Molecular Weight : 417.35

stdClass Object
(
    [pname] => Mono-POC Ethyl Tenofovir (Mixture of Diastereomers)
    [catalogue_number] => PA 20 09560
    [category_ids] => ,79,71,85,83,78,70,82,72,
    [chemical_name] => 
    [weight] => 431.38
    [form] => C16H26N5O7P
    [cas] => 1796539-92-8
    [pslug] => 1796539-92-8-mono-poc-ethyl-tenofovir-mixture-of-diastereomers-pa2009560
    [latest_product] => 0
    [linkproducts] => 0
    [offers_id] => 
    [offers_name] => 
    [offers_status] => 
    [offers_start_date] => 
    [offers_end_date] => 
    [pageview] => 
    [offers_slug] => 
    [offers_product_id] => 
    [offers_product_code] => 
    [offers_master_id] => 
    [offer_percentage] => 
    [offers_product_main_cat] => 
)
PA 20 09560
PA 20 09560

Mono-POC Ethyl Tenofovir (Mixture of Diastereomers)


  • Catalogue No.:PA 20 09560

  • CAS :

    1796539-92-8

  • Molecular Formula : C16H26N5O7P

  • Molecular Weight : 431.38

stdClass Object
(
    [pname] => MOC-POC Tenofovir Fumarate Salt (Mixture of Diastereomers)
    [catalogue_number] => PA 20 09570
    [category_ids] => ,79,71,85,83,78,70,82,72,
    [chemical_name] => 
    [weight] => 607.46
    [form] => C21H30N5O14P
    [cas] => NA
    [pslug] => moc-poc-tenofovir-fumarate-salt-mixture-of-diastereomers-pa2009570
    [latest_product] => 0
    [linkproducts] => 1
    [offers_id] => 
    [offers_name] => 
    [offers_status] => 
    [offers_start_date] => 
    [offers_end_date] => 
    [pageview] => 
    [offers_slug] => 
    [offers_product_id] => 
    [offers_product_code] => 
    [offers_master_id] => 
    [offer_percentage] => 
    [offers_product_main_cat] => 
)
PA 20 09570
PA 20 09570

MOC-POC Tenofovir Fumarate Salt (Mixture of Diastereomers)


  • Catalogue No.:PA 20 09570

  • CAS :

    NA

  • Molecular Formula : C21H30N5O14P

  • Molecular Weight : 607.46

stdClass Object
(
    [pname] => Mono-POC Tenofovir 6-Isopropyl Carbamate (Mixture of Diastereomers)
    [catalogue_number] => PA 20 09590
    [category_ids] => ,70,72,78,79,82,83,85,
    [chemical_name] => 
    [weight] => 489.42
    [form] => C18H28N5O9P
    [cas] => 1244022-56-7
    [pslug] => 1244022-56-7-mono-poc-tenofovir-6-isopropyl-carbamate-mixture-of-diastereomers-pa2009590
    [latest_product] => 0
    [linkproducts] => 0
    [offers_id] => 
    [offers_name] => 
    [offers_status] => 
    [offers_start_date] => 
    [offers_end_date] => 
    [pageview] => 
    [offers_slug] => 
    [offers_product_id] => 
    [offers_product_code] => 
    [offers_master_id] => 
    [offer_percentage] => 
    [offers_product_main_cat] => 
)
PA 20 09590
PA 20 09590

Mono-POC Tenofovir 6-Isopropyl Carbamate (Mixture of Diastereomers)


  • Catalogue No.:PA 20 09590

  • CAS :

    1244022-56-7

  • Molecular Formula : C18H28N5O9P

  • Molecular Weight : 489.42

stdClass Object
(
    [pname] => Tenofovir Monomethyl Ester
    [catalogue_number] => PA 20 09610
    [category_ids] => ,85,83,78,70,82,72,
    [chemical_name] => 
    [weight] => 301.24
    [form] => C10H16N5O4P
    [cas] => 1796539-83-7
    [pslug] => 1796539-83-7-tenofovir-monomethyl-ester-pa2009610
    [latest_product] => 0
    [linkproducts] => 0
    [offers_id] => 
    [offers_name] => 
    [offers_status] => 
    [offers_start_date] => 
    [offers_end_date] => 
    [pageview] => 
    [offers_slug] => 
    [offers_product_id] => 
    [offers_product_code] => 
    [offers_master_id] => 
    [offer_percentage] => 
    [offers_product_main_cat] => 
)
PA 20 09610
PA 20 09610

Tenofovir Monomethyl Ester


  • Catalogue No.:PA 20 09610

  • CAS :

    1796539-83-7

  • Molecular Formula : C10H16N5O4P

  • Molecular Weight : 301.24

stdClass Object
(
    [pname] => Tenofovir Disoproxil Fumarate
    [catalogue_number] => PA 20 09620
    [category_ids] => ,85,83,78,70,82,72,
    [chemical_name] => 
    [weight] => 635.51
    [form] => C23H34N5O14P
    [cas] => 202138-50-9
    [pslug] => 202138-50-9-tenofovir-disoproxil-fumarate-pa2009620
    [latest_product] => 0
    [linkproducts] => 1
    [offers_id] => 
    [offers_name] => 
    [offers_status] => 
    [offers_start_date] => 
    [offers_end_date] => 
    [pageview] => 
    [offers_slug] => 
    [offers_product_id] => 
    [offers_product_code] => 
    [offers_master_id] => 
    [offer_percentage] => 
    [offers_product_main_cat] => 
)
PA 20 09620
PA 20 09620

Tenofovir Disoproxil Fumarate


  • Catalogue No.:PA 20 09620

  • CAS :

    202138-50-9

  • Molecular Formula : C23H34N5O14P

  • Molecular Weight : 635.51

stdClass Object
(
    [pname] => (S)-Tenofovir Disoproxil Fumarate
    [catalogue_number] => PA 20 09630
    [category_ids] => ,85,83,82,78,75,72,70,
    [chemical_name] => 
    [weight] => 635.51
    [form] => C23H34N5O14P
    [cas] => 1432630-26-6
    [pslug] => 1432630-26-6-s-tenofovir-disoproxil-fumarate-pa2009630
    [latest_product] => 0
    [linkproducts] => 1
    [offers_id] => 
    [offers_name] => 
    [offers_status] => 
    [offers_start_date] => 
    [offers_end_date] => 
    [pageview] => 
    [offers_slug] => 
    [offers_product_id] => 
    [offers_product_code] => 
    [offers_master_id] => 
    [offer_percentage] => 
    [offers_product_main_cat] => 
)
PA 20 09630
PA 20 09630

(S)-Tenofovir Disoproxil Fumarate


  • Catalogue No.:PA 20 09630

  • CAS :

    1432630-26-6

  • Molecular Formula : C23H34N5O14P

  • Molecular Weight : 635.51

stdClass Object
(
    [pname] =>  Tenofovir Phosphate, (mixture of diastereomers)
    [catalogue_number] => PA 20 09640
    [category_ids] => ,77,76,75,85,83,78,70,82,72,
    [chemical_name] => 
    [weight] => 367.19
    [form] => C9H15N5O7P2
    [cas] => 206646-04-0
    [pslug] => 206646-04-0-tenofovir-phosphate-mixture-of-diastereomers-pa2009640
    [latest_product] => 0
    [linkproducts] => 0
    [offers_id] => 
    [offers_name] => 
    [offers_status] => 
    [offers_start_date] => 
    [offers_end_date] => 
    [pageview] => 
    [offers_slug] => 
    [offers_product_id] => 
    [offers_product_code] => 
    [offers_master_id] => 
    [offer_percentage] => 
    [offers_product_main_cat] => 
)
PA 20 09640
PA 20 09640

Tenofovir Phosphate, (mixture of diastereomers)


  • Catalogue No.:PA 20 09640

  • CAS :

    206646-04-0

  • Molecular Formula : C9H15N5O7P2

  • Molecular Weight : 367.19

stdClass Object
(
    [pname] => Tenofovir Disoproxil Dimer
    [catalogue_number] => PA 20 09650
    [category_ids] => ,85,83,72,70,78,82,
    [chemical_name] => 
    [weight] => 1050.9
    [form] => C39H60N10O20P2
    [cas] => 1093279-76-5
    [pslug] => 1093279-76-5-tenofovir-disoproxil-dimer-pa2009650
    [latest_product] => 0
    [linkproducts] => 0
    [offers_id] => 
    [offers_name] => 
    [offers_status] => 
    [offers_start_date] => 
    [offers_end_date] => 
    [pageview] => 
    [offers_slug] => 
    [offers_product_id] => 
    [offers_product_code] => 
    [offers_master_id] => 
    [offer_percentage] => 
    [offers_product_main_cat] => 
)
PA 20 09650
PA 20 09650

Tenofovir Disoproxil Dimer


  • Catalogue No.:PA 20 09650

  • CAS :

    1093279-76-5

  • Molecular Formula : C39H60N10O20P2

  • Molecular Weight : 1050.9

stdClass Object
(
    [pname] => Tenofovir Disoproxil Isopropoxycarbonyl
    [catalogue_number] => PA 20 09660
    [category_ids] => ,77,85,83,78,70,82,72,
    [chemical_name] => 
    [weight] => 605.53
    [form] => C23H36N5O12P
    [cas] => 1244022-54-5
    [pslug] => 1244022-54-5-tenofovir-disoproxil-isopropoxycarbonyl-pa2009660
    [latest_product] => 0
    [linkproducts] => 0
    [offers_id] => 
    [offers_name] => 
    [offers_status] => 
    [offers_start_date] => 
    [offers_end_date] => 
    [pageview] => 
    [offers_slug] => 
    [offers_product_id] => 
    [offers_product_code] => 
    [offers_master_id] => 
    [offer_percentage] => 
    [offers_product_main_cat] => 
)
PA 20 09660
PA 20 09660

Tenofovir Disoproxil Isopropoxycarbonyl


  • Catalogue No.:PA 20 09660

  • CAS :

    1244022-54-5

  • Molecular Formula : C23H36N5O12P

  • Molecular Weight : 605.53

stdClass Object
(
    [pname] => Tenofovir Diphosphate Triethylamine Salt (mixture of diastereomers)
    [catalogue_number] => PA 20 09670
    [category_ids] => ,77,85,83,78,70,82,72,
    [chemical_name] => 
    [weight] => 447.17
    [form] => C9H16N5O10P3•x(C6H15N)
    [cas] => NA
    [pslug] => tenofovir-diphosphate-triethylamine-salt-mixture-of-diastereomers-pa2009670
    [latest_product] => 0
    [linkproducts] => 0
    [offers_id] => 
    [offers_name] => 
    [offers_status] => 
    [offers_start_date] => 
    [offers_end_date] => 
    [pageview] => 
    [offers_slug] => 
    [offers_product_id] => 
    [offers_product_code] => 
    [offers_master_id] => 
    [offer_percentage] => 
    [offers_product_main_cat] => 
)
PA 20 09670
PA 20 09670

Tenofovir Diphosphate Triethylamine Salt (mixture of diastereomers)


  • Catalogue No.:PA 20 09670

  • CAS :

    NA

  • Molecular Formula : C9H16N5O10P3•x(C6H15N)

  • Molecular Weight : 447.17

stdClass Object
(
    [pname] => Tenofovir Dibenzyloxy Isopropyl Carbamate
    [catalogue_number] => PA 20 09680
    [category_ids] => ,85,83,78,70,82,72,
    [chemical_name] => 
    [weight] => 553.55
    [form] => C27H32N5O6P
    [cas] => 1391052-09-7
    [pslug] => 1391052-09-7-tenofovir-dibenzyloxy-isopropyl-carbamate-pa2009680
    [latest_product] => 0
    [linkproducts] => 0
    [offers_id] => 
    [offers_name] => 
    [offers_status] => 
    [offers_start_date] => 
    [offers_end_date] => 
    [pageview] => 
    [offers_slug] => 
    [offers_product_id] => 
    [offers_product_code] => 
    [offers_master_id] => 
    [offer_percentage] => 
    [offers_product_main_cat] => 
)
PA 20 09680
PA 20 09680

Tenofovir Dibenzyloxy Isopropyl Carbamate


  • Catalogue No.:PA 20 09680

  • CAS :

    1391052-09-7

  • Molecular Formula : C27H32N5O6P

  • Molecular Weight : 553.55

stdClass Object
(
    [pname] => Tenofovir Isopropyl Carbamate
    [catalogue_number] => PA 20 09690
    [category_ids] => ,85,83,78,70,82,72,
    [chemical_name] => 
    [weight] => 373.3
    [form] => C13H20N5O6P
    [cas] => 1391053-20-5
    [pslug] => 1391053-20-5-tenofovir-isopropyl-carbamate-pa2009690
    [latest_product] => 0
    [linkproducts] => 0
    [offers_id] => 
    [offers_name] => 
    [offers_status] => 
    [offers_start_date] => 
    [offers_end_date] => 
    [pageview] => 
    [offers_slug] => 
    [offers_product_id] => 
    [offers_product_code] => 
    [offers_master_id] => 
    [offer_percentage] => 
    [offers_product_main_cat] => 
)
PA 20 09690
PA 20 09690

Tenofovir Isopropyl Carbamate


  • Catalogue No.:PA 20 09690

  • CAS :

    1391053-20-5

  • Molecular Formula : C13H20N5O6P

  • Molecular Weight : 373.3

stdClass Object
(
    [pname] => Mono-POC Isopropyl Tenofovir (Mixture of Diastereomers)
    [catalogue_number] => PA 20 09700
    [category_ids] => ,79,85,83,78,70,82,72,
    [chemical_name] => 
    [weight] => 445.41
    [form] => C17H28N5O7P
    [cas] => 1246812-40-7
    [pslug] => 1246812-40-7-mono-poc-isopropyl-tenofovir-mixture-of-diastereomers-pa2009700
    [latest_product] => 0
    [linkproducts] => 1
    [offers_id] => 
    [offers_name] => 
    [offers_status] => 
    [offers_start_date] => 
    [offers_end_date] => 
    [pageview] => 
    [offers_slug] => 
    [offers_product_id] => 
    [offers_product_code] => 
    [offers_master_id] => 
    [offer_percentage] => 
    [offers_product_main_cat] => 
)
PA 20 09700
PA 20 09700

Mono-POC Isopropyl Tenofovir (Mixture of Diastereomers)


  • Catalogue No.:PA 20 09700

  • CAS :

    1246812-40-7

  • Molecular Formula : C17H28N5O7P

  • Molecular Weight : 445.41

stdClass Object
(
    [pname] => Tenofovir Alafenamide
    [catalogue_number] => PA 20 09710
    [category_ids] => ,85,83,82,78,70,72,79,
    [chemical_name] => 
    [weight] => 476.47
    [form] => C21H29N6O5P
    [cas] => 379270-37-8
    [pslug] => 379270-37-8-tenofovir-alafenamide-pa2009710
    [latest_product] => 0
    [linkproducts] => 1
    [offers_id] => 
    [offers_name] => 
    [offers_status] => 
    [offers_start_date] => 
    [offers_end_date] => 
    [pageview] => 
    [offers_slug] => 
    [offers_product_id] => 
    [offers_product_code] => 
    [offers_master_id] => 
    [offer_percentage] => 
    [offers_product_main_cat] => 
)
PA 20 09710
PA 20 09710

Tenofovir Alafenamide


  • Catalogue No.:PA 20 09710

  • CAS :

    379270-37-8

  • Molecular Formula : C21H29N6O5P

  • Molecular Weight : 476.47

stdClass Object
(
    [pname] => Tenofovir (S)-Isomer
    [catalogue_number] => PA 20 09720
    [category_ids] => ,85,83,78,70,82,72,
    [chemical_name] => 
    [weight] => 287.21
    [form] => C9H14N5O4P
    [cas] => 147127-19-3
    [pslug] => 147127-19-3-tenofovir-s-isomer-pa2009720
    [latest_product] => 0
    [linkproducts] => 0
    [offers_id] => 
    [offers_name] => 
    [offers_status] => 
    [offers_start_date] => 
    [offers_end_date] => 
    [pageview] => 
    [offers_slug] => 
    [offers_product_id] => 
    [offers_product_code] => 
    [offers_master_id] => 
    [offer_percentage] => 
    [offers_product_main_cat] => 
)
PA 20 09720
PA 20 09720

Tenofovir (S)-Isomer


  • Catalogue No.:PA 20 09720

  • CAS :

    147127-19-3

  • Molecular Formula : C9H14N5O4P

  • Molecular Weight : 287.21

stdClass Object
(
    [pname] => MOC-POC Tenofovir
    [catalogue_number] => PA 20 09730
    [category_ids] => ,79,85,83,78,70,82,72,
    [chemical_name] => 
    [weight] => 491.39
    [form] => C17H26N5O10P
    [cas] => 1246812-43-0
    [pslug] => 1246812-43-0-moc-poc-tenofovir-pa2009730
    [latest_product] => 0
    [linkproducts] => 1
    [offers_id] => 
    [offers_name] => 
    [offers_status] => 
    [offers_start_date] => 
    [offers_end_date] => 
    [pageview] => 
    [offers_slug] => 
    [offers_product_id] => 
    [offers_product_code] => 
    [offers_master_id] => 
    [offer_percentage] => 
    [offers_product_main_cat] => 
)
PA 20 09730
PA 20 09730

MOC-POC Tenofovir


  • Catalogue No.:PA 20 09730

  • CAS :

    1246812-43-0

  • Molecular Formula : C17H26N5O10P

  • Molecular Weight : 491.39

stdClass Object
(
    [pname] => Desmethyl Tenofovir Disoproxil
    [catalogue_number] => PA 20 09780
    [category_ids] => ,85,83,75,72,70,78,82,
    [chemical_name] => 
    [weight] => 505.42
    [form] => C18H28N5O10P
    [cas] => 365417-53-4
    [pslug] => 365417-53-4-desmethyl-tenofovir-disoproxil-pa2009780
    [latest_product] => 0
    [linkproducts] => 1
    [offers_id] => 
    [offers_name] => 
    [offers_status] => 
    [offers_start_date] => 
    [offers_end_date] => 
    [pageview] => 
    [offers_slug] => 
    [offers_product_id] => 
    [offers_product_code] => 
    [offers_master_id] => 
    [offer_percentage] => 
    [offers_product_main_cat] => 
)
PA 20 09780
PA 20 09780

Desmethyl Tenofovir Disoproxil


  • Catalogue No.:PA 20 09780

  • CAS :

    365417-53-4

  • Molecular Formula : C18H28N5O10P

  • Molecular Weight : 505.42

stdClass Object
(
    [pname] => Tenofovir Disoproxil Ethyl Ester
    [catalogue_number] => PA 20 09790
    [category_ids] => ,75,85,83,78,70,82,72,
    [chemical_name] => 
    [weight] => 505.42
    [form] => C18H28N5O10P
    [cas] => 1422284-16-9
    [pslug] => 1422284-16-9-tenofovir-disoproxil-ethyl-ester-pa2009790
    [latest_product] => 0
    [linkproducts] => 0
    [offers_id] => 
    [offers_name] => 
    [offers_status] => 
    [offers_start_date] => 
    [offers_end_date] => 
    [pageview] => 
    [offers_slug] => 
    [offers_product_id] => 
    [offers_product_code] => 
    [offers_master_id] => 
    [offer_percentage] => 
    [offers_product_main_cat] => 
)
PA 20 09790
PA 20 09790

Tenofovir Disoproxil Ethyl Ester


  • Catalogue No.:PA 20 09790

  • CAS :

    1422284-16-9

  • Molecular Formula : C18H28N5O10P

  • Molecular Weight : 505.42

stdClass Object
(
    [pname] => Tenofovir Trimer Impurity 1
    [catalogue_number] => PA 20 09800
    [category_ids] => ,75,85,83,78,70,82,72,
    [chemical_name] => 
    [weight] => 1478.24
    [form] => C55H82N15O27P3
    [cas] => NA
    [pslug] => tenofovir-trimer-impurity-1-pa2009800
    [latest_product] => 0
    [linkproducts] => 0
    [offers_id] => 
    [offers_name] => 
    [offers_status] => 
    [offers_start_date] => 
    [offers_end_date] => 
    [pageview] => 
    [offers_slug] => 
    [offers_product_id] => 
    [offers_product_code] => 
    [offers_master_id] => 
    [offer_percentage] => 
    [offers_product_main_cat] => 
)
PA 20 09800
PA 20 09800

Tenofovir Trimer Impurity 1


  • Catalogue No.:PA 20 09800

  • CAS :

    NA

  • Molecular Formula : C55H82N15O27P3

  • Molecular Weight : 1478.24

stdClass Object
(
    [pname] => Tenofovir Trimer Impurity 2
    [catalogue_number] => PA 20 09810
    [category_ids] => ,75,85,83,78,70,82,72,
    [chemical_name] => 
    [weight] => 1362.13
    [form] => C50H74N15O24P3
    [cas] => NA
    [pslug] => tenofovir-trimer-impurity-2-pa2009810
    [latest_product] => 0
    [linkproducts] => 0
    [offers_id] => 
    [offers_name] => 
    [offers_status] => 
    [offers_start_date] => 
    [offers_end_date] => 
    [pageview] => 
    [offers_slug] => 
    [offers_product_id] => 
    [offers_product_code] => 
    [offers_master_id] => 
    [offer_percentage] => 
    [offers_product_main_cat] => 
)
PA 20 09810
PA 20 09810

Tenofovir Trimer Impurity 2


  • Catalogue No.:PA 20 09810

  • CAS :

    NA

  • Molecular Formula : C50H74N15O24P3

  • Molecular Weight : 1362.13

stdClass Object
(
    [pname] => Tenofovir Dimer
    [catalogue_number] => PA 20 09890
    [category_ids] => ,85,83,82,78,72,70,
    [chemical_name] => 
    [weight] => 556.41
    [form] => C18H26N10O7P2
    [cas] => 1607007-18-0
    [pslug] => 1607007-18-0-tenofovir-dimer-pa2009890
    [latest_product] => 0
    [linkproducts] => 0
    [offers_id] => 
    [offers_name] => 
    [offers_status] => 
    [offers_start_date] => 
    [offers_end_date] => 
    [pageview] => 
    [offers_slug] => 
    [offers_product_id] => 
    [offers_product_code] => 
    [offers_master_id] => 
    [offer_percentage] => 
    [offers_product_main_cat] => 
)
PA 20 09890
PA 20 09890

Tenofovir Dimer


  • Catalogue No.:PA 20 09890

  • CAS :

    1607007-18-0

  • Molecular Formula : C18H26N10O7P2

  • Molecular Weight : 556.41

stdClass Object
(
    [pname] => Tenofovir-d5
    [catalogue_number] => PA STI 081430
    [category_ids] => ,85,83,78,70,82,72,98,
    [chemical_name] => 
    [weight] => 292.24
    [form] => C9H9D5N5O4P
    [cas] => NA
    [pslug] => tenofovir-d5-pasti081430
    [latest_product] => 0
    [linkproducts] => 0
    [offers_id] => 
    [offers_name] => 
    [offers_status] => 
    [offers_start_date] => 
    [offers_end_date] => 
    [pageview] => 
    [offers_slug] => 
    [offers_product_id] => 
    [offers_product_code] => 
    [offers_master_id] => 
    [offer_percentage] => 
    [offers_product_main_cat] => 
)
PA STI 081430
PA STI 081430

Tenofovir-d5


  • Catalogue No.:PA STI 081430

  • CAS :

    NA

  • Molecular Formula : C9H9D5N5O4P

  • Molecular Weight : 292.24

stdClass Object
(
    [pname] => 9-(2-Propenyl)adenine
    [catalogue_number] => PA 20 09545
    [category_ids] => ,79,80,71,85,83,
    [chemical_name] => 
    [weight] => 175.2
    [form] => C8H9N5
    [cas] => 4121-39-5
    [pslug] => 4121-39-5-9-2-propenyl-adenine-pa2009545
    [latest_product] => 0
    [linkproducts] => 0
    [offers_id] => 
    [offers_name] => 
    [offers_status] => 
    [offers_start_date] => 
    [offers_end_date] => 
    [pageview] => 
    [offers_slug] => 
    [offers_product_id] => 
    [offers_product_code] => 
    [offers_master_id] => 
    [offer_percentage] => 
    [offers_product_main_cat] => 
)
PA 20 09545
PA 20 09545

9-(2-Propenyl)adenine


  • Catalogue No.:PA 20 09545

  • CAS :

    4121-39-5

  • Molecular Formula : C8H9N5

  • Molecular Weight : 175.2

stdClass Object
(
    [pname] => ((((((R)-1-(6-Amino-9H-purin-9-yl)propan-2-yl)oxy)methyl)(((methoxycarbonyl)oxy)methoxy)phosphoryl)oxy)methyl Isopropyl Carbonate
    [catalogue_number] => PA 20 09575
    [category_ids] => ,85,83,78,70,82,72,
    [chemical_name] => 
    [weight] => 491.39
    [form] => C17H26N5O10P
    [cas] => NA
    [pslug] => r-1-6-amino-9h-purin-9-yl-propan-2-yl-oxy-methyl-methoxycarbonyl-oxy-methoxy-phosphoryl-oxy-methyl-isopropyl-carbonate-pa2009575
    [latest_product] => 0
    [linkproducts] => 0
    [offers_id] => 
    [offers_name] => 
    [offers_status] => 
    [offers_start_date] => 
    [offers_end_date] => 
    [pageview] => 
    [offers_slug] => 
    [offers_product_id] => 
    [offers_product_code] => 
    [offers_master_id] => 
    [offer_percentage] => 
    [offers_product_main_cat] => 
)
PA 20 09575
PA 20 09575

((((((R)-1-(6-Amino-9H-purin-9-yl)propan-2-yl)oxy)methyl)(((methoxycarbonyl)oxy)methoxy)phosphoryl)oxy)methyl Isopropyl Carbonate


  • Catalogue No.:PA 20 09575

  • CAS :

    NA

  • Molecular Formula : C17H26N5O10P

  • Molecular Weight : 491.39

stdClass Object
(
    [pname] => (((((1-(6-((((9-(2-((bis(((Isopropoxycarbonyl)oxy)methoxy)phosphoryl)methoxy)propyl)-9H-purin-6-yl)amino)methyl)amino)-9H-purin-9-yl)propan-2-yl)oxy)methyl)(hydroxy)phosphoryl)oxy)methyl Isopropyl Carbonate
    [catalogue_number] => PA 20 09585
    [category_ids] => ,85,83,78,70,82,72,
    [chemical_name] => 
    [weight] => 934.79
    [form] => C34H52N10O17P2
    [cas] => NA
    [pslug] => 1-6-9-2-bis-isopropoxycarbonyl-oxy-methoxy-phosphoryl-methoxy-propyl-9h-purin-6-yl-amino-methyl-amino-9h-purin-9-yl-propan-2-yl-oxy-methyl-hydroxy-phosphoryl-oxy-methyl-isopropyl-carbonate-pa2009585
    [latest_product] => 0
    [linkproducts] => 0
    [offers_id] => 
    [offers_name] => 
    [offers_status] => 
    [offers_start_date] => 
    [offers_end_date] => 
    [pageview] => 
    [offers_slug] => 
    [offers_product_id] => 
    [offers_product_code] => 
    [offers_master_id] => 
    [offer_percentage] => 
    [offers_product_main_cat] => 
)
PA 20 09585
PA 20 09585

(((((1-(6-((((9-(2-((bis(((Isopropoxycarbonyl)oxy)methoxy)phosphoryl)methoxy)propyl)-9H-purin-6-yl)amino)methyl)amino)-9H-purin-9-yl)propan-2-yl)oxy)methyl)(hydroxy)phosphoryl)oxy)methyl Isopropyl Carbonate


  • Catalogue No.:PA 20 09585

  • CAS :

    NA

  • Molecular Formula : C34H52N10O17P2

  • Molecular Weight : 934.79

stdClass Object
(
    [pname] => Tetraisopropyl ((((((((methylenebis(azanediyl))bis(9H-purine-6,9-diyl))bis(propane-1,2-diyl))bis(oxy))bis(methylene))bis(oxo-l5-phosphanetriyl))tetrakis(oxy))tetrakis(methylene)) Tetracarbonate
    [catalogue_number] => PA 20 09595
    [category_ids] => ,85,83,78,70,82,72,
    [chemical_name] => 
    [weight] => 1050.91
    [form] => C39H60N10O20P2
    [cas] => NA
    [pslug] => tetraisopropyl-methylenebis-azanediyl-bis-9h-purine-6-9-diyl-bis-propane-1-2-diyl-bis-oxy-bis-methylene-bis-oxo-l5-phosphanetriyl-tetrakis-oxy-tetrakis-methylene-tetracarbonate-pa2009595
    [latest_product] => 0
    [linkproducts] => 0
    [offers_id] => 
    [offers_name] => 
    [offers_status] => 
    [offers_start_date] => 
    [offers_end_date] => 
    [pageview] => 
    [offers_slug] => 
    [offers_product_id] => 
    [offers_product_code] => 
    [offers_master_id] => 
    [offer_percentage] => 
    [offers_product_main_cat] => 
)
PA 20 09595
PA 20 09595

Tetraisopropyl ((((((((methylenebis(azanediyl))bis(9H-purine-6,9-diyl))bis(propane-1,2-diyl))bis(oxy))bis(methylene))bis(oxo-l5-phosphanetriyl))tetrakis(oxy))tetrakis(methylene)) Tetracarbonate


  • Catalogue No.:PA 20 09595

  • CAS :

    NA

  • Molecular Formula : C39H60N10O20P2

  • Molecular Weight : 1050.91

stdClass Object
(
    [pname] => rac Tenofovir
    [catalogue_number] => PA 20 09605
    [category_ids] => ,85,83,78,70,82,72,
    [chemical_name] => 
    [weight] => 287.22
    [form] => C9H14N5O4P
    [cas] => 107021-12-5
    [pslug] => 107021-12-5-rac-tenofovir-pa2009605
    [latest_product] => 0
    [linkproducts] => 0
    [offers_id] => 
    [offers_name] => 
    [offers_status] => 
    [offers_start_date] => 
    [offers_end_date] => 
    [pageview] => 
    [offers_slug] => 
    [offers_product_id] => 
    [offers_product_code] => 
    [offers_master_id] => 
    [offer_percentage] => 
    [offers_product_main_cat] => 
)
PA 20 09605
PA 20 09605

rac Tenofovir


  • Catalogue No.:PA 20 09605

  • CAS :

    107021-12-5

  • Molecular Formula : C9H14N5O4P

  • Molecular Weight : 287.22

stdClass Object
(
    [pname] => Ethyl Tenofovir
    [catalogue_number] => PA 20 09615
    [category_ids] => ,85,83,78,70,82,72,
    [chemical_name] => 
    [weight] => 315.27
    [form] => C11H18N5O4P
    [cas] => 1796545-19-1
    [pslug] => 1796545-19-1-ethyl-tenofovir-pa2009615
    [latest_product] => 0
    [linkproducts] => 0
    [offers_id] => 
    [offers_name] => 
    [offers_status] => 
    [offers_start_date] => 
    [offers_end_date] => 
    [pageview] => 
    [offers_slug] => 
    [offers_product_id] => 
    [offers_product_code] => 
    [offers_master_id] => 
    [offer_percentage] => 
    [offers_product_main_cat] => 
)
PA 20 09615
PA 20 09615

Ethyl Tenofovir


  • Catalogue No.:PA 20 09615

  • CAS :

    1796545-19-1

  • Molecular Formula : C11H18N5O4P

  • Molecular Weight : 315.27

stdClass Object
(
    [pname] => Isopropyl ((S)-((((S)-1-(6-amino-9H-purin-9-yl)propan-2-yl)oxy)methyl)(phenoxy)phosphoryl)-D-alaninate
    [catalogue_number] => PA 20 09625
    [category_ids] => ,85,83,78,70,82,72,
    [chemical_name] => 
    [weight] => 476.47
    [form] => C21H29N6O5P
    [cas] => 2488598-62-3
    [pslug] => 2488598-62-3-isopropyl-s-s-1-6-amino-9h-purin-9-yl-propan-2-yl-oxy-methyl-phenoxy-phosphoryl-d-alaninate-pa2009625
    [latest_product] => 0
    [linkproducts] => 0
    [offers_id] => 
    [offers_name] => 
    [offers_status] => 
    [offers_start_date] => 
    [offers_end_date] => 
    [pageview] => 
    [offers_slug] => 
    [offers_product_id] => 
    [offers_product_code] => 
    [offers_master_id] => 
    [offer_percentage] => 
    [offers_product_main_cat] => 
)
PA 20 09625
PA 20 09625

Isopropyl ((S)-((((S)-1-(6-amino-9H-purin-9-yl)propan-2-yl)oxy)methyl)(phenoxy)phosphoryl)-D-alaninate


  • Catalogue No.:PA 20 09625

  • CAS :

    2488598-62-3

  • Molecular Formula : C21H29N6O5P

  • Molecular Weight : 476.47

stdClass Object
(
    [pname] => (((((1-(6-((((9-(2-((bis(((Isopropoxycarbonyl)oxy)methoxy)phosphoryl)methoxy)propyl)-9H-purin-6-yl)amino)methyl)amino)-9H-purin-9-yl)propan-2-yl)oxy)methyl)(hydroxy)phosphoryl)oxy)methyl Isopropyl Carbonate
    [catalogue_number] => PA 20 09635
    [category_ids] => ,85,83,78,70,82,72,
    [chemical_name] => 
    [weight] => 934.79
    [form] => C34H52N10O17P2
    [cas] => NA
    [pslug] => 1-6-9-2-bis-isopropoxycarbonyl-oxy-methoxy-phosphoryl-methoxy-propyl-9h-purin-6-yl-amino-methyl-amino-9h-purin-9-yl-propan-2-yl-oxy-methyl-hydroxy-phosphoryl-oxy-methyl-isopropyl-carbonate-pa2009635
    [latest_product] => 0
    [linkproducts] => 0
    [offers_id] => 
    [offers_name] => 
    [offers_status] => 
    [offers_start_date] => 
    [offers_end_date] => 
    [pageview] => 
    [offers_slug] => 
    [offers_product_id] => 
    [offers_product_code] => 
    [offers_master_id] => 
    [offer_percentage] => 
    [offers_product_main_cat] => 
)
PA 20 09635
PA 20 09635

(((((1-(6-((((9-(2-((bis(((Isopropoxycarbonyl)oxy)methoxy)phosphoryl)methoxy)propyl)-9H-purin-6-yl)amino)methyl)amino)-9H-purin-9-yl)propan-2-yl)oxy)methyl)(hydroxy)phosphoryl)oxy)methyl Isopropyl Carbonate


  • Catalogue No.:PA 20 09635

  • CAS :

    NA

  • Molecular Formula : C34H52N10O17P2

  • Molecular Weight : 934.79

stdClass Object
(
    [pname] => (((((1-(6-Amino-9H-purin-9-yl)propan-2-yl)oxy)methyl)(((isopropoxycarbonyl)oxy)methoxy)phosphoryl)oxy)methyl Ethyl Carbonate Fumarate
    [catalogue_number] => PA 20 09645
    [category_ids] => ,85,83,78,70,82,72,
    [chemical_name] => 
    [weight] => 621.49
    [form] => C22H32N5O14P
    [cas] => NA
    [pslug] => 1-6-amino-9h-purin-9-yl-propan-2-yl-oxy-methyl-isopropoxycarbonyl-oxy-methoxy-phosphoryl-oxy-methyl-ethyl-carbonate-fumarate-pa2009645
    [latest_product] => 0
    [linkproducts] => 0
    [offers_id] => 
    [offers_name] => 
    [offers_status] => 
    [offers_start_date] => 
    [offers_end_date] => 
    [pageview] => 
    [offers_slug] => 
    [offers_product_id] => 
    [offers_product_code] => 
    [offers_master_id] => 
    [offer_percentage] => 
    [offers_product_main_cat] => 
)
PA 20 09645
PA 20 09645

(((((1-(6-Amino-9H-purin-9-yl)propan-2-yl)oxy)methyl)(((isopropoxycarbonyl)oxy)methoxy)phosphoryl)oxy)methyl Ethyl Carbonate Fumarate


  • Catalogue No.:PA 20 09645

  • CAS :

    NA

  • Molecular Formula : C22H32N5O14P

  • Molecular Weight : 621.49

stdClass Object
(
    [pname] => Diethylaminocarboxymethyl POC Tenofovir Fumarate
    [catalogue_number] => PA 20 09655
    [category_ids] => ,85,83,82,78,72,70,
    [chemical_name] => 
    [weight] => 648.56
    [form] => C24H37N6O13P
    [cas] => 2820170-87-2
    [pslug] => 2820170-87-2-Diethylaminocarboxymethyl-poc-tenofovir-fumarate-pa2009655
    [latest_product] => 0
    [linkproducts] => 1
    [offers_id] => 
    [offers_name] => 
    [offers_status] => 
    [offers_start_date] => 
    [offers_end_date] => 
    [pageview] => 
    [offers_slug] => 
    [offers_product_id] => 
    [offers_product_code] => 
    [offers_master_id] => 
    [offer_percentage] => 
    [offers_product_main_cat] => 
)
PA 20 09655
PA 20 09655

Diethylaminocarboxymethyl POC Tenofovir Fumarate


  • Catalogue No.:PA 20 09655

  • CAS :

    2820170-87-2

  • Molecular Formula : C24H37N6O13P

  • Molecular Weight : 648.56

stdClass Object
(
    [pname] => (((((1-(6-Amino-9H-purin-9-yl)propan-2-yl)oxy)methyl)(((methoxycarbonyl)oxy)methoxy)phosphoryl)oxy)methyl Isopropyl Carbonate Fumarate
    [catalogue_number] => PA 20 09665
    [category_ids] => ,85,83,78,70,82,72,
    [chemical_name] => 
    [weight] => 607.47
    [form] => C21H30N5O14P
    [cas] => 2251049-94-0
    [pslug] => 2251049-94-0-1-6-amino-9h-purin-9-yl-propan-2-yl-oxy-methyl-methoxycarbonyl-oxy-methoxy-phosphoryl-oxy-methyl-isopropyl-carbonate-fumarate-pa2009665
    [latest_product] => 0
    [linkproducts] => 1
    [offers_id] => 
    [offers_name] => 
    [offers_status] => 
    [offers_start_date] => 
    [offers_end_date] => 
    [pageview] => 
    [offers_slug] => 
    [offers_product_id] => 
    [offers_product_code] => 
    [offers_master_id] => 
    [offer_percentage] => 
    [offers_product_main_cat] => 
)
PA 20 09665
PA 20 09665

(((((1-(6-Amino-9H-purin-9-yl)propan-2-yl)oxy)methyl)(((methoxycarbonyl)oxy)methoxy)phosphoryl)oxy)methyl Isopropyl Carbonate Fumarate


  • Catalogue No.:PA 20 09665

  • CAS :

    2251049-94-0

  • Molecular Formula : C21H30N5O14P

  • Molecular Weight : 607.47

stdClass Object
(
    [pname] => Isopropyl (9-(2-((bis(((isopropoxycarbonyl)oxy)methoxy)phosphoryl)methoxy)propyl)-9H-purin-6-yl)carbamate
    [catalogue_number] => PA 20 09675
    [category_ids] => ,85,83,78,70,82,72,
    [chemical_name] => 
    [weight] => 605.54
    [form] => C23H36N5O12P
    [cas] => 2190481-17-3
    [pslug] => 2190481-17-3-isopropyl-9-2-bis-isopropoxycarbonyl-oxy-methoxy-phosphoryl-methoxy-propyl-9h-purin-6-yl-carbamate-pa2009675
    [latest_product] => 0
    [linkproducts] => 0
    [offers_id] => 
    [offers_name] => 
    [offers_status] => 
    [offers_start_date] => 
    [offers_end_date] => 
    [pageview] => 
    [offers_slug] => 
    [offers_product_id] => 
    [offers_product_code] => 
    [offers_master_id] => 
    [offer_percentage] => 
    [offers_product_main_cat] => 
)
PA 20 09675
PA 20 09675

Isopropyl (9-(2-((bis(((isopropoxycarbonyl)oxy)methoxy)phosphoryl)methoxy)propyl)-9H-purin-6-yl)carbamate


  • Catalogue No.:PA 20 09675

  • CAS :

    2190481-17-3

  • Molecular Formula : C23H36N5O12P

  • Molecular Weight : 605.54

stdClass Object
(
    [pname] => DEC-POC PMPA Tenofovir
    [catalogue_number] => PA 20 09725
    [category_ids] => ,85,83,78,70,82,72,
    [chemical_name] => 
    [weight] => 621.49
    [form] => C22H32N5O14P
    [cas] => 1422284-17-0
    [pslug] => 1422284-17-0-dec-poc-pmpa-tenofovir-pa2009725
    [latest_product] => 0
    [linkproducts] => 0
    [offers_id] => 
    [offers_name] => 
    [offers_status] => 
    [offers_start_date] => 
    [offers_end_date] => 
    [pageview] => 
    [offers_slug] => 
    [offers_product_id] => 
    [offers_product_code] => 
    [offers_master_id] => 
    [offer_percentage] => 
    [offers_product_main_cat] => 
)
PA 20 09725
PA 20 09725

DEC-POC PMPA Tenofovir


  • Catalogue No.:PA 20 09725

  • CAS :

    1422284-17-0

  • Molecular Formula : C22H32N5O14P

  • Molecular Weight : 621.49

stdClass Object
(
    [pname] => (((((1-(6-Amino-9H-purin-9-yl)propan-2-yl)oxy)methyl)(((propoxycarbonyl)oxy)methoxy)phosphoryl)oxy)methyl Isopropyl Carbonate Fumarate
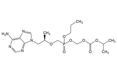
    [catalogue_number] => PA 20 0091000
    [category_ids] => ,85,83,78,70,82,72,
    [chemical_name] => 
    [weight] => 635.52
    [form] => C23H34N5O14P
    [cas] => NA
    [pslug] => 1-6-amino-9h-purin-9-yl-propan-2-yl-oxy-methyl-propoxycarbonyl-oxy-methoxy-phosphoryl-oxy-methyl-isopropyl-carbonate-fumarate-pa200091000
    [latest_product] => 0
    [linkproducts] => 1
    [offers_id] => 
    [offers_name] => 
    [offers_status] => 
    [offers_start_date] => 
    [offers_end_date] => 
    [pageview] => 
    [offers_slug] => 
    [offers_product_id] => 
    [offers_product_code] => 
    [offers_master_id] => 
    [offer_percentage] => 
    [offers_product_main_cat] => 
)
PA 20 0091000
PA 20 0091000

(((((1-(6-Amino-9H-purin-9-yl)propan-2-yl)oxy)methyl)(((propoxycarbonyl)oxy)methoxy)phosphoryl)oxy)methyl Isopropyl Carbonate Fumarate


  • Catalogue No.:PA 20 0091000

  • CAS :

    NA

  • Molecular Formula : C23H34N5O14P

  • Molecular Weight : 635.52

stdClass Object
(
    [pname] => Tenofovir Alafenamide Fumarate
    [catalogue_number] => PA 20 0091001
    [category_ids] => ,85,83,70,78,82,
    [chemical_name] => 
    [weight] => 592.55
    [form] => C25H33N6O9P
    [cas] => 379270-38-9
    [pslug] => 379270-38-9-tenofovir-alafenamide-fumarate-pa200091001
    [latest_product] => 0
    [linkproducts] => 0
    [offers_id] => 
    [offers_name] => 
    [offers_status] => 
    [offers_start_date] => 
    [offers_end_date] => 
    [pageview] => 
    [offers_slug] => 
    [offers_product_id] => 
    [offers_product_code] => 
    [offers_master_id] => 
    [offer_percentage] => 
    [offers_product_main_cat] => 
)
PA 20 0091001
PA 20 0091001

Tenofovir Alafenamide Fumarate


  • Catalogue No.:PA 20 0091001

  • CAS :

    379270-38-9

  • Molecular Formula : C25H33N6O9P

  • Molecular Weight : 592.55

stdClass Object
(
    [pname] => Desmethyl Tenofovir Disoproxil 2-Butenedioic Acid Salt
    [catalogue_number] => PA 20 0091087
    [category_ids] => ,85,83,75,70,72,78,82,
    [chemical_name] => 
    [weight] => 621.49
    [form] => C22H32N5O14P
    [cas] => 1798422-29-3
    [pslug] => 1798422-29-3-desmethyl-tenofovir-disoproxil-2-butenedioic-acid-salt-pa200091087
    [latest_product] => 0
    [linkproducts] => 1
    [offers_id] => 
    [offers_name] => 
    [offers_status] => 
    [offers_start_date] => 
    [offers_end_date] => 
    [pageview] => 
    [offers_slug] => 
    [offers_product_id] => 
    [offers_product_code] => 
    [offers_master_id] => 
    [offer_percentage] => 
    [offers_product_main_cat] => 
)
PA 20 0091087
PA 20 0091087

Desmethyl Tenofovir Disoproxil 2-Butenedioic Acid Salt


  • Catalogue No.:PA 20 0091087

  • CAS :

    1798422-29-3

  • Molecular Formula : C22H32N5O14P

  • Molecular Weight : 621.49

stdClass Object
(
    [pname] => Tenofovir Alafenamide Enantiomer (SRR)
    [catalogue_number] => PA 20 0091096
    [category_ids] => ,85,83,78,70,82,72,
    [chemical_name] => 
    [weight] => 626.56
    [form] => C25H35N6O11P
    [cas] => NA
    [pslug] => tenofovir-alafenamide-enantiomer-srr-pa200091096
    [latest_product] => 0
    [linkproducts] => 0
    [offers_id] => 
    [offers_name] => 
    [offers_status] => 
    [offers_start_date] => 
    [offers_end_date] => 
    [pageview] => 
    [offers_slug] => 
    [offers_product_id] => 
    [offers_product_code] => 
    [offers_master_id] => 
    [offer_percentage] => 
    [offers_product_main_cat] => 
)
PA 20 0091096
PA 20 0091096

Tenofovir Alafenamide Enantiomer (SRR)


  • Catalogue No.:PA 20 0091096

  • CAS :

    NA

  • Molecular Formula : C25H35N6O11P

  • Molecular Weight : 626.56

stdClass Object
(
    [pname] => Mixture of Isopropyl ((S)-((((R)-1-(6-amino-9H-purin-9-yl)propan-2-yl)oxy)methyl)(phenoxy)phosphoryl)-D-alaninate with isopropyl ((S)-((((S)-1-(6-amino-9H-purin-9-yl)propan-2-yl)oxy)methyl)(phenoxy)phosphoryl)-D-alaninate
    [catalogue_number] => PA 20 0091097
    [category_ids] => ,85,83,78,70,82,72,
    [chemical_name] => 
    [weight] => 476.47
    [form] => C21H29N6O5P
    [cas] => NA
    [pslug] => mixture-of-isopropyl-s-r-1-6-amino-9h-purin-9-yl-propan-2-yl-oxy-methyl-phenoxy-phosphoryl-d-alaninate-with-isopropyl-s-s-1-6-amino-9h-purin-9-yl-propan-2-yl-oxy-methyl-phenoxy-phosphoryl-d-alaninate-pa200091097
    [latest_product] => 0
    [linkproducts] => 0
    [offers_id] => 
    [offers_name] => 
    [offers_status] => 
    [offers_start_date] => 
    [offers_end_date] => 
    [pageview] => 
    [offers_slug] => 
    [offers_product_id] => 
    [offers_product_code] => 
    [offers_master_id] => 
    [offer_percentage] => 
    [offers_product_main_cat] => 
)
PA 20 0091097
PA 20 0091097

Mixture of Isopropyl ((S)-((((R)-1-(6-amino-9H-purin-9-yl)propan-2-yl)oxy)methyl)(phenoxy)phosphoryl)-D-alaninate with isopropyl ((S)-((((S)-1-(6-amino-9H-purin-9-yl)propan-2-yl)oxy)methyl)(phenoxy)phosphoryl)-D-alaninate


  • Catalogue No.:PA 20 0091097

  • CAS :

    NA

  • Molecular Formula : C21H29N6O5P

  • Molecular Weight : 476.47

stdClass Object
(
    [pname] => (Diethoxyphosphoryl)methyl naphthalene-1-sulfonate
    [catalogue_number] => PA 20 0091099
    [category_ids] => ,85,83,78,70,82,
    [chemical_name] => 
    [weight] => 358.34
    [form] => C15H19O6PS
    [cas] => 145980-33-2
    [pslug] => 145980-33-2-diethoxyphosphoryl-methyl-naphthalene-1-sulfonate-pa200091099
    [latest_product] => 0
    [linkproducts] => 0
    [offers_id] => 
    [offers_name] => 
    [offers_status] => 
    [offers_start_date] => 
    [offers_end_date] => 
    [pageview] => 
    [offers_slug] => 
    [offers_product_id] => 
    [offers_product_code] => 
    [offers_master_id] => 
    [offer_percentage] => 
    [offers_product_main_cat] => 
)
PA 20 0091099
PA 20 0091099

(Diethoxyphosphoryl)methyl naphthalene-1-sulfonate


  • Catalogue No.:PA 20 0091099

  • CAS :

    145980-33-2

  • Molecular Formula : C15H19O6PS

  • Molecular Weight : 358.34

stdClass Object
(
    [pname] => Tenofovir Regio Isomer
    [catalogue_number] => PA 20 0091102
    [category_ids] => ,85,83,78,70,82,72,
    [chemical_name] => 
    [weight] => 476.47
    [form] => C21H29N6O5P
    [cas] => NA
    [pslug] => tenofovir-regio-isomer-pa200091102
    [latest_product] => 0
    [linkproducts] => 0
    [offers_id] => 
    [offers_name] => 
    [offers_status] => 
    [offers_start_date] => 
    [offers_end_date] => 
    [pageview] => 
    [offers_slug] => 
    [offers_product_id] => 
    [offers_product_code] => 
    [offers_master_id] => 
    [offer_percentage] => 
    [offers_product_main_cat] => 
)
PA 20 0091102
PA 20 0091102

Tenofovir Regio Isomer


  • Catalogue No.:PA 20 0091102

  • CAS :

    NA

  • Molecular Formula : C21H29N6O5P

  • Molecular Weight : 476.47

stdClass Object
(
    [pname] => Tenofovir Disoproxil Propyl Impurity
    [catalogue_number] => PA 20 0091104
    [category_ids] => ,79,85,83,78,70,82,72,
    [chemical_name] => 
    [weight] => 445.41
    [form] => C17H28N5O7P
    [cas] => NA
    [pslug] => tenofovir-disoproxil-propyl-impurity-pa200091104
    [latest_product] => 0
    [linkproducts] => 0
    [offers_id] => 
    [offers_name] => 
    [offers_status] => 
    [offers_start_date] => 
    [offers_end_date] => 
    [pageview] => 
    [offers_slug] => 
    [offers_product_id] => 
    [offers_product_code] => 
    [offers_master_id] => 
    [offer_percentage] => 
    [offers_product_main_cat] => 
)
PA 20 0091104
PA 20 0091104

Tenofovir Disoproxil Propyl Impurity


  • Catalogue No.:PA 20 0091104

  • CAS :

    NA

  • Molecular Formula : C17H28N5O7P

  • Molecular Weight : 445.41

stdClass Object
(
    [pname] => (2-(((R)-1-(6-Amino-9H-purin-9-yl)propan-2-yl)oxy)-1-(((S)-1-(6-amino-9H-purin-9-yl)propan-2-yl)oxy)ethane-1,1-diyl)bis(Phosphonic Acid)
    [catalogue_number] => PA 20 0091105
    [category_ids] => ,85,83,78,70,82,72,
    [chemical_name] => 
    [weight] => 572.42
    [form] => C18H26N10O8P2
    [cas] => NA
    [pslug] => 2-r-1-6-amino-9h-purin-9-yl-propan-2-yl-oxy-1-s-1-6-amino-9h-purin-9-yl-propan-2-yl-oxy-ethane-1-1-diyl-bis-phosphonic-acid-pa200091105
    [latest_product] => 0
    [linkproducts] => 0
    [offers_id] => 
    [offers_name] => 
    [offers_status] => 
    [offers_start_date] => 
    [offers_end_date] => 
    [pageview] => 
    [offers_slug] => 
    [offers_product_id] => 
    [offers_product_code] => 
    [offers_master_id] => 
    [offer_percentage] => 
    [offers_product_main_cat] => 
)
PA 20 0091105
PA 20 0091105

(2-(((R)-1-(6-Amino-9H-purin-9-yl)propan-2-yl)oxy)-1-(((S)-1-(6-amino-9H-purin-9-yl)propan-2-yl)oxy)ethane-1,1-diyl)bis(Phosphonic Acid)


  • Catalogue No.:PA 20 0091105

  • CAS :

    NA

  • Molecular Formula : C18H26N10O8P2

  • Molecular Weight : 572.42