Peptides

Peptides - Peptides are naturally occurring biological macromolecules formed by the linear arrangement of two or more amino acids linked together by peptide bonds. It can be used as biomarkers for disease detection and diagnosis. Reference standards of Peptides API, and its pharmacopeial, non pharmacopeial impurities, and stable isotopes are listed below.

stdClass Object
(
    [pname] => (3S,6S,9S,12S,15S)-19-Amino-3-(2-aminoacetamido)-6,9,12-tris(carboxymethyl)-15-(naphthalen-2-ylcarbamoyl)-4,7,10,13-tetraoxo-5,8,11,14-tetraazanonadecanoic Acid
    [catalogue_number] => PA PEP 004171
    [category_ids] => ,114,
    [chemical_name] => 
    [weight] => 788.77
    [form] => C34H44N8O14
    [cas] => 70023-02-8
    [pslug] => 70023-02-8-3s-6s-9s-12s-15s-19-amino-3-2-aminoacetamido-6-9-12-tris-carboxymethyl-15-naphthalen-2-ylcarbamoyl-4-7-10-13-tetraoxo-5-8-11-14-tetraazanonadecanoic-acid-papep004171
    [latest_product] => 0
    [linkproducts] => 0
    [offers_id] => 
    [offers_name] => 
    [offers_status] => 
    [offers_start_date] => 
    [offers_end_date] => 
    [pageview] => 
    [offers_slug] => 
    [offers_product_id] => 
    [offers_product_code] => 
    [offers_master_id] => 
    [offer_percentage] => 
    [offers_product_main_cat] => 
)
PA PEP 004171
PA PEP 004171

(3S,6S,9S,12S,15S)-19-Amino-3-(2-aminoacetamido)-6,9,12-tris(carboxymethyl)-15-(naphthalen-2-ylcarbamoyl)-4,7,10,13-tetraoxo-5,8,11,14-tetraazanonadecanoic Acid


  • Catalogue No.:PA PEP 004171

  • CAS :

    70023-02-8

  • Molecular Formula : C34H44N8O14

  • Molecular Weight : 788.77

stdClass Object
(
    [pname] => Glycylglycyl-L-tyrosyl-L-arginine
    [catalogue_number] => PA PEP 004172
    [category_ids] => ,114,
    [chemical_name] => 
    [weight] => 451.48
    [form] => C19H29N7O6
    [cas] => 70195-20-9
    [pslug] => 70195-20-9-glycylglycyl-l-tyrosyl-l-arginine-papep004172
    [latest_product] => 0
    [linkproducts] => 0
    [offers_id] => 
    [offers_name] => 
    [offers_status] => 
    [offers_start_date] => 
    [offers_end_date] => 
    [pageview] => 
    [offers_slug] => 
    [offers_product_id] => 
    [offers_product_code] => 
    [offers_master_id] => 
    [offer_percentage] => 
    [offers_product_main_cat] => 
)
PA PEP 004172
PA PEP 004172

Glycylglycyl-L-tyrosyl-L-arginine


  • Catalogue No.:PA PEP 004172

  • CAS :

    70195-20-9

  • Molecular Formula : C19H29N7O6

  • Molecular Weight : 451.48

stdClass Object
(
    [pname] => tert-Butyl ((S)-1-((S)-2-(((S)-5-guanidino-1-((4-methyl-2-oxo-2H-chromen-7-yl)amino)-1-oxopentan-2-yl)carbamoyl)pyrrolidin-1-yl)-3-methyl-1-oxobutan-2-yl)carbamate Hydrochloride
    [catalogue_number] => PA PEP 004173
    [category_ids] => ,114,
    [chemical_name] => 
    [weight] => 664.2
    [form] => C31H46ClN7O7
    [cas] => 70375-24-5
    [pslug] => 70375-24-5-tert-butyl-s-1-s-2-s-5-guanidino-1-4-methyl-2-oxo-2h-chromen-7-yl-amino-1-oxopentan-2-yl-carbamoyl-pyrrolidin-1-yl-3-methyl-1-oxobutan-2-yl-carbamate-hydrochloride-papep004173
    [latest_product] => 0
    [linkproducts] => 1
    [offers_id] => 
    [offers_name] => 
    [offers_status] => 
    [offers_start_date] => 
    [offers_end_date] => 
    [pageview] => 
    [offers_slug] => 
    [offers_product_id] => 
    [offers_product_code] => 
    [offers_master_id] => 
    [offer_percentage] => 
    [offers_product_main_cat] => 
)
PA PEP 004173
PA PEP 004173

tert-Butyl ((S)-1-((S)-2-(((S)-5-guanidino-1-((4-methyl-2-oxo-2H-chromen-7-yl)amino)-1-oxopentan-2-yl)carbamoyl)pyrrolidin-1-yl)-3-methyl-1-oxobutan-2-yl)carbamate Hydrochloride


  • Catalogue No.:PA PEP 004173

  • CAS :

    70375-24-5

  • Molecular Formula : C31H46ClN7O7

  • Molecular Weight : 664.2

stdClass Object
(
    [pname] => L-Alanyl-L-prolylglycyl-L-valylglycyl-L-valine
    [catalogue_number] => PA PEP 004174
    [category_ids] => ,114,
    [chemical_name] => 
    [weight] => 498.58
    [form] => C22H38N6O7
    [cas] => 70592-18-6
    [pslug] => 70592-18-6-l-alanyl-l-prolylglycyl-l-valylglycyl-l-valine-papep004174
    [latest_product] => 0
    [linkproducts] => 0
    [offers_id] => 
    [offers_name] => 
    [offers_status] => 
    [offers_start_date] => 
    [offers_end_date] => 
    [pageview] => 
    [offers_slug] => 
    [offers_product_id] => 
    [offers_product_code] => 
    [offers_master_id] => 
    [offer_percentage] => 
    [offers_product_main_cat] => 
)
PA PEP 004174
PA PEP 004174

L-Alanyl-L-prolylglycyl-L-valylglycyl-L-valine


  • Catalogue No.:PA PEP 004174

  • CAS :

    70592-18-6

  • Molecular Formula : C22H38N6O7

  • Molecular Weight : 498.58

stdClass Object
(
    [pname] => Benzyl L-leucyl-L-phenylalaninate 2,2,2-Trifluoroacetate
    [catalogue_number] => PA PEP 004175
    [category_ids] => ,114,
    [chemical_name] => 
    [weight] => 482.5
    [form] => C24H29F3N2O5
    [cas] => 70637-28-4
    [pslug] => 70637-28-4-benzyl-l-leucyl-l-phenylalaninate-2-2-2-trifluoroacetate-papep004175
    [latest_product] => 0
    [linkproducts] => 0
    [offers_id] => 
    [offers_name] => 
    [offers_status] => 
    [offers_start_date] => 
    [offers_end_date] => 
    [pageview] => 
    [offers_slug] => 
    [offers_product_id] => 
    [offers_product_code] => 
    [offers_master_id] => 
    [offer_percentage] => 
    [offers_product_main_cat] => 
)
PA PEP 004175
PA PEP 004175

Benzyl L-leucyl-L-phenylalaninate 2,2,2-Trifluoroacetate


  • Catalogue No.:PA PEP 004175

  • CAS :

    70637-28-4

  • Molecular Formula : C24H29F3N2O5

  • Molecular Weight : 482.5

stdClass Object
(
    [pname] => O-Phosphono-N-tetradecanoylglycyl-L-lysyl-L-glutamyl-L-alanyl-L-prolyl-L-prolyl-L-alanyl-L-prolyl-L-prolyl-L-glutaminyl-L-seryl-L-proline
    [catalogue_number] => PA PEP 004176
    [category_ids] => ,114,
    [chemical_name] => 
    [weight] => 1465.65
    [form] => C66H109N14O21P
    [cas] => 706785-93-5
    [pslug] => 706785-93-5-o-phosphono-n-tetradecanoylglycyl-l-lysyl-l-glutamyl-l-alanyl-l-prolyl-l-prolyl-l-alanyl-l-prolyl-l-prolyl-l-glutaminyl-l-seryl-l-proline-papep004176
    [latest_product] => 0
    [linkproducts] => 0
    [offers_id] => 
    [offers_name] => 
    [offers_status] => 
    [offers_start_date] => 
    [offers_end_date] => 
    [pageview] => 
    [offers_slug] => 
    [offers_product_id] => 
    [offers_product_code] => 
    [offers_master_id] => 
    [offer_percentage] => 
    [offers_product_main_cat] => 
)
PA PEP 004176
PA PEP 004176

O-Phosphono-N-tetradecanoylglycyl-L-lysyl-L-glutamyl-L-alanyl-L-prolyl-L-prolyl-L-alanyl-L-prolyl-L-prolyl-L-glutaminyl-L-seryl-L-proline


  • Catalogue No.:PA PEP 004176

  • CAS :

    706785-93-5

  • Molecular Formula : C66H109N14O21P

  • Molecular Weight : 1465.65

stdClass Object
(
    [pname] => (S)-2-Amino-N-((6S,9S,12S,15S,18S)-1,22-diamino-9-(3-guanidinopropyl)-15-(hydroxymethyl)-1-imino-18-isobutyl-12-methyl-7,10,13,16,19,22-hexaoxo-2,8,11,14,17,20-hexaazadocosan-6-yl)-4-methylpentanamide
    [catalogue_number] => PA PEP 004177
    [category_ids] => ,114,
    [chemical_name] => 
    [weight] => 770.94
    [form] => C32H62N14O8
    [cas] => 70691-36-0
    [pslug] => 70691-36-0-s-2-amino-n-6s-9s-12s-15s-18s-1-22-diamino-9-3-guanidinopropyl-15-hydroxymethyl-1-imino-18-isobutyl-12-methyl-7-10-13-16-19-22-hexaoxo-2-8-11-14-17-20-hexaazadocosan-6-yl-4-methylpentanamide-papep004177
    [latest_product] => 0
    [linkproducts] => 0
    [offers_id] => 
    [offers_name] => 
    [offers_status] => 
    [offers_start_date] => 
    [offers_end_date] => 
    [pageview] => 
    [offers_slug] => 
    [offers_product_id] => 
    [offers_product_code] => 
    [offers_master_id] => 
    [offer_percentage] => 
    [offers_product_main_cat] => 
)
PA PEP 004177
PA PEP 004177

(S)-2-Amino-N-((6S,9S,12S,15S,18S)-1,22-diamino-9-(3-guanidinopropyl)-15-(hydroxymethyl)-1-imino-18-isobutyl-12-methyl-7,10,13,16,19,22-hexaoxo-2,8,11,14,17,20-hexaazadocosan-6-yl)-4-methylpentanamide


  • Catalogue No.:PA PEP 004177

  • CAS :

    70691-36-0

  • Molecular Formula : C32H62N14O8

  • Molecular Weight : 770.94

stdClass Object
(
    [pname] => Sincalide Ammonium
    [catalogue_number] => PA PEP 004178
    [category_ids] => ,114,
    [chemical_name] => 
    [weight] => 1160.3
    [form] => C49H65N11O16S3
    [cas] => 70706-98-8
    [pslug] => 70706-98-8-sincalide-ammonium-papep004178
    [latest_product] => 0
    [linkproducts] => 1
    [offers_id] => 
    [offers_name] => 
    [offers_status] => 
    [offers_start_date] => 
    [offers_end_date] => 
    [pageview] => 
    [offers_slug] => 
    [offers_product_id] => 
    [offers_product_code] => 
    [offers_master_id] => 
    [offer_percentage] => 
    [offers_product_main_cat] => 
)
PA PEP 004178
PA PEP 004178

Sincalide Ammonium


  • Catalogue No.:PA PEP 004178

  • CAS :

    70706-98-8

  • Molecular Formula : C49H65N11O16S3

  • Molecular Weight : 1160.3

stdClass Object
(
    [pname] => N-L-Tryptophyl-L-alanylglycylglycyl-L-aspartyl-L-alanyl-O-phosphono-L-serylglycyl-L-glutamic Acid
    [catalogue_number] => PA PEP 004179
    [category_ids] => ,114,
    [chemical_name] => 
    [weight] => 928.8
    [form] => C35H49N10O18P
    [cas] => 70754-23-3
    [pslug] => 70754-23-3-n-l-tryptophyl-l-alanylglycylglycyl-l-aspartyl-l-alanyl-o-phosphono-l-serylglycyl-l-glutamic-acid-papep004179
    [latest_product] => 0
    [linkproducts] => 0
    [offers_id] => 
    [offers_name] => 
    [offers_status] => 
    [offers_start_date] => 
    [offers_end_date] => 
    [pageview] => 
    [offers_slug] => 
    [offers_product_id] => 
    [offers_product_code] => 
    [offers_master_id] => 
    [offer_percentage] => 
    [offers_product_main_cat] => 
)
PA PEP 004179
PA PEP 004179

N-L-Tryptophyl-L-alanylglycylglycyl-L-aspartyl-L-alanyl-O-phosphono-L-serylglycyl-L-glutamic Acid


  • Catalogue No.:PA PEP 004179

  • CAS :

    70754-23-3

  • Molecular Formula : C35H49N10O18P

  • Molecular Weight : 928.8

stdClass Object
(
    [pname] => Kyotorphin
    [catalogue_number] => PA PEP 004180
    [category_ids] => ,114,
    [chemical_name] => 
    [weight] => 337.38
    [form] => C15H23N5O4
    [cas] => 70904-56-2
    [pslug] => 70904-56-2-kyotorphin-papep004180
    [latest_product] => 0
    [linkproducts] => 0
    [offers_id] => 
    [offers_name] => 
    [offers_status] => 
    [offers_start_date] => 
    [offers_end_date] => 
    [pageview] => 
    [offers_slug] => 
    [offers_product_id] => 
    [offers_product_code] => 
    [offers_master_id] => 
    [offer_percentage] => 
    [offers_product_main_cat] => 
)
PA PEP 004180
PA PEP 004180

Kyotorphin


  • Catalogue No.:PA PEP 004180

  • CAS :

    70904-56-2

  • Molecular Formula : C15H23N5O4

  • Molecular Weight : 337.38

stdClass Object
(
    [pname] => Pentaglycine
    [catalogue_number] => PA PEP 004181
    [category_ids] => ,114,
    [chemical_name] => 
    [weight] => 303.28
    [form] => C10H17N5O6
    [cas] => 7093-67-6
    [pslug] => 7093-67-6-pentaglycine-papep004181
    [latest_product] => 0
    [linkproducts] => 0
    [offers_id] => 
    [offers_name] => 
    [offers_status] => 
    [offers_start_date] => 
    [offers_end_date] => 
    [pageview] => 
    [offers_slug] => 
    [offers_product_id] => 
    [offers_product_code] => 
    [offers_master_id] => 
    [offer_percentage] => 
    [offers_product_main_cat] => 
)
PA PEP 004181
PA PEP 004181

Pentaglycine


  • Catalogue No.:PA PEP 004181

  • CAS :

    7093-67-6

  • Molecular Formula : C10H17N5O6

  • Molecular Weight : 303.28

stdClass Object
(
    [pname] => Methyl 4-(((S)-1-(((S)-1-((S)-2-(((S)-3-methyl-1-((4-nitrophenyl)amino)-1-oxobutan-2-yl)carbamoyl)pyrrolidin-1-yl)-1-oxopropan-2-yl)amino)-1-oxopropan-2-yl)amino)-4-oxobutanoate
    [catalogue_number] => PA PEP 004182
    [category_ids] => ,114,
    [chemical_name] => 
    [weight] => 590.63
    [form] => C27H38N6O9
    [cas] => 70967-90-7
    [pslug] => 70967-90-7-methyl-4-s-1-s-1-s-2-s-3-methyl-1-4-nitrophenyl-amino-1-oxobutan-2-yl-carbamoyl-pyrrolidin-1-yl-1-oxopropan-2-yl-amino-1-oxopropan-2-yl-amino-4-oxobutanoate-papep004182
    [latest_product] => 0
    [linkproducts] => 0
    [offers_id] => 
    [offers_name] => 
    [offers_status] => 
    [offers_start_date] => 
    [offers_end_date] => 
    [pageview] => 
    [offers_slug] => 
    [offers_product_id] => 
    [offers_product_code] => 
    [offers_master_id] => 
    [offer_percentage] => 
    [offers_product_main_cat] => 
)
PA PEP 004182
PA PEP 004182

Methyl 4-(((S)-1-(((S)-1-((S)-2-(((S)-3-methyl-1-((4-nitrophenyl)amino)-1-oxobutan-2-yl)carbamoyl)pyrrolidin-1-yl)-1-oxopropan-2-yl)amino)-1-oxopropan-2-yl)amino)-4-oxobutanoate


  • Catalogue No.:PA PEP 004182

  • CAS :

    70967-90-7

  • Molecular Formula : C27H38N6O9

  • Molecular Weight : 590.63

stdClass Object
(
    [pname] => Methyl 4-(((S)-1-(((S)-1-((S)-2-(((S)-4-(methylthio)-1-((4-nitrophenyl)amino)-1-oxobutan-2-yl)carbamoyl)pyrrolidin-1-yl)-1-oxopropan-2-yl)amino)-1-oxopropan-2-yl)amino)-4-oxobutanoate
    [catalogue_number] => PA PEP 004183
    [category_ids] => ,114,
    [chemical_name] => 
    [weight] => 622.69
    [form] => C27H38N6O9S
    [cas] => 70967-91-8
    [pslug] => 70967-91-8-methyl-4-s-1-s-1-s-2-s-4-methylthio-1-4-nitrophenyl-amino-1-oxobutan-2-yl-carbamoyl-pyrrolidin-1-yl-1-oxopropan-2-yl-amino-1-oxopropan-2-yl-amino-4-oxobutanoate-papep004183
    [latest_product] => 0
    [linkproducts] => 0
    [offers_id] => 
    [offers_name] => 
    [offers_status] => 
    [offers_start_date] => 
    [offers_end_date] => 
    [pageview] => 
    [offers_slug] => 
    [offers_product_id] => 
    [offers_product_code] => 
    [offers_master_id] => 
    [offer_percentage] => 
    [offers_product_main_cat] => 
)
PA PEP 004183
PA PEP 004183

Methyl 4-(((S)-1-(((S)-1-((S)-2-(((S)-4-(methylthio)-1-((4-nitrophenyl)amino)-1-oxobutan-2-yl)carbamoyl)pyrrolidin-1-yl)-1-oxopropan-2-yl)amino)-1-oxopropan-2-yl)amino)-4-oxobutanoate


  • Catalogue No.:PA PEP 004183

  • CAS :

    70967-91-8

  • Molecular Formula : C27H38N6O9S

  • Molecular Weight : 622.69

stdClass Object
(
    [pname] => Batifiban
    [catalogue_number] => PA PEP 004184
    [category_ids] => ,114,
    [chemical_name] => 
    [weight] => 817.94
    [form] => C34H47N11O9S2
    [cas] => 710312-77-9
    [pslug] => 710312-77-9-batifiban-papep004184
    [latest_product] => 0
    [linkproducts] => 0
    [offers_id] => 
    [offers_name] => 
    [offers_status] => 
    [offers_start_date] => 
    [offers_end_date] => 
    [pageview] => 
    [offers_slug] => 
    [offers_product_id] => 
    [offers_product_code] => 
    [offers_master_id] => 
    [offer_percentage] => 
    [offers_product_main_cat] => 
)
PA PEP 004184
PA PEP 004184

Batifiban


  • Catalogue No.:PA PEP 004184

  • CAS :

    710312-77-9

  • Molecular Formula : C34H47N11O9S2

  • Molecular Weight : 817.94

stdClass Object
(
    [pname] => (S)-1-(D-Phenylalanyl)-N-((S)-1-chloro-6-guanidino-2-oxohexan-3-yl)pyrrolidine-2-carboxamide
    [catalogue_number] => PA PEP 004185
    [category_ids] => ,114,
    [chemical_name] => 
    [weight] => 450.97
    [form] => C21H31ClN6O3
    [cas] => 71142-71-7
    [pslug] => 71142-71-7-s-1-d-phenylalanyl-n-s-1-chloro-6-guanidino-2-oxohexan-3-yl-pyrrolidine-2-carboxamide-papep004185
    [latest_product] => 0
    [linkproducts] => 0
    [offers_id] => 
    [offers_name] => 
    [offers_status] => 
    [offers_start_date] => 
    [offers_end_date] => 
    [pageview] => 
    [offers_slug] => 
    [offers_product_id] => 
    [offers_product_code] => 
    [offers_master_id] => 
    [offer_percentage] => 
    [offers_product_main_cat] => 
)
PA PEP 004185
PA PEP 004185

(S)-1-(D-Phenylalanyl)-N-((S)-1-chloro-6-guanidino-2-oxohexan-3-yl)pyrrolidine-2-carboxamide


  • Catalogue No.:PA PEP 004185

  • CAS :

    71142-71-7

  • Molecular Formula : C21H31ClN6O3

  • Molecular Weight : 450.97

stdClass Object
(
    [pname] => L-Prolyl-L-lysine
    [catalogue_number] => PA PEP 004186
    [category_ids] => ,114,
    [chemical_name] => 
    [weight] => 243.31
    [form] => C11H21N3O3
    [cas] => 71227-70-8
    [pslug] => 71227-70-8-l-prolyl-l-lysine-papep004186
    [latest_product] => 0
    [linkproducts] => 0
    [offers_id] => 
    [offers_name] => 
    [offers_status] => 
    [offers_start_date] => 
    [offers_end_date] => 
    [pageview] => 
    [offers_slug] => 
    [offers_product_id] => 
    [offers_product_code] => 
    [offers_master_id] => 
    [offer_percentage] => 
    [offers_product_main_cat] => 
)
PA PEP 004186
PA PEP 004186

L-Prolyl-L-lysine


  • Catalogue No.:PA PEP 004186

  • CAS :

    71227-70-8

  • Molecular Formula : C11H21N3O3

  • Molecular Weight : 243.31

stdClass Object
(
    [pname] => Bz-Ala-Arg-OH
    [catalogue_number] => PA PEP 004187
    [category_ids] => ,114,
    [chemical_name] => 
    [weight] => 349.39
    [form] => C16H23N5O4
    [cas] => 71448-11-8
    [pslug] => 71448-11-8-bz-ala-arg-oh-papep004187
    [latest_product] => 0
    [linkproducts] => 0
    [offers_id] => 
    [offers_name] => 
    [offers_status] => 
    [offers_start_date] => 
    [offers_end_date] => 
    [pageview] => 
    [offers_slug] => 
    [offers_product_id] => 
    [offers_product_code] => 
    [offers_master_id] => 
    [offer_percentage] => 
    [offers_product_main_cat] => 
)
PA PEP 004187
PA PEP 004187

Bz-Ala-Arg-OH


  • Catalogue No.:PA PEP 004187

  • CAS :

    71448-11-8

  • Molecular Formula : C16H23N5O4

  • Molecular Weight : 349.39

stdClass Object
(
    [pname] => L-Tryptophyl-L-leucyl-L-valyl-L-phenylalanyl-L-phenylalanyl-L-valyl-L-isoleucyl-L-phenylalanyl-L-tyrosyl-L-phenylalanyl-L-phenylalanyl-L-arginine
    [catalogue_number] => PA PEP 004188
    [category_ids] => ,114,
    [chemical_name] => 
    [weight] => 1684.07
    [form] => C93H118N16O14
    [cas] => 716361-65-8
    [pslug] => 716361-65-8-l-tryptophyl-l-leucyl-l-valyl-l-phenylalanyl-l-phenylalanyl-l-valyl-l-isoleucyl-l-phenylalanyl-l-tyrosyl-l-phenylalanyl-l-phenylalanyl-l-arginine-papep004188
    [latest_product] => 0
    [linkproducts] => 0
    [offers_id] => 
    [offers_name] => 
    [offers_status] => 
    [offers_start_date] => 
    [offers_end_date] => 
    [pageview] => 
    [offers_slug] => 
    [offers_product_id] => 
    [offers_product_code] => 
    [offers_master_id] => 
    [offer_percentage] => 
    [offers_product_main_cat] => 
)
PA PEP 004188
PA PEP 004188

L-Tryptophyl-L-leucyl-L-valyl-L-phenylalanyl-L-phenylalanyl-L-valyl-L-isoleucyl-L-phenylalanyl-L-tyrosyl-L-phenylalanyl-L-phenylalanyl-L-arginine


  • Catalogue No.:PA PEP 004188

  • CAS :

    716361-65-8

  • Molecular Formula : C93H118N16O14

  • Molecular Weight : 1684.07

stdClass Object
(
    [pname] => L-Threonyl-L-seryl-L-lysine
    [catalogue_number] => PA PEP 004189
    [category_ids] => ,114,
    [chemical_name] => 
    [weight] => 334.37
    [form] => C13H26N4O6
    [cas] => 71730-64-8
    [pslug] => 71730-64-8-l-threonyl-l-seryl-l-lysine-papep004189
    [latest_product] => 0
    [linkproducts] => 0
    [offers_id] => 
    [offers_name] => 
    [offers_status] => 
    [offers_start_date] => 
    [offers_end_date] => 
    [pageview] => 
    [offers_slug] => 
    [offers_product_id] => 
    [offers_product_code] => 
    [offers_master_id] => 
    [offer_percentage] => 
    [offers_product_main_cat] => 
)
PA PEP 004189
PA PEP 004189

L-Threonyl-L-seryl-L-lysine


  • Catalogue No.:PA PEP 004189

  • CAS :

    71730-64-8

  • Molecular Formula : C13H26N4O6

  • Molecular Weight : 334.37

stdClass Object
(
    [pname] => Benzyl ((S)-1-(((S)-4-diazo-3-oxobutan-2-yl)amino)-1-oxo-3-phenylpropan-2-yl)carbamate
    [catalogue_number] => PA PEP 004190
    [category_ids] => ,114,
    [chemical_name] => 
    [weight] => 394.43
    [form] => C21H22N4O4
    [cas] => 71732-53-1
    [pslug] => 71732-53-1-benzyl-s-1-s-4-diazo-3-oxobutan-2-yl-amino-1-oxo-3-phenylpropan-2-yl-carbamate-papep004190
    [latest_product] => 0
    [linkproducts] => 0
    [offers_id] => 
    [offers_name] => 
    [offers_status] => 
    [offers_start_date] => 
    [offers_end_date] => 
    [pageview] => 
    [offers_slug] => 
    [offers_product_id] => 
    [offers_product_code] => 
    [offers_master_id] => 
    [offer_percentage] => 
    [offers_product_main_cat] => 
)
PA PEP 004190
PA PEP 004190

Benzyl ((S)-1-(((S)-4-diazo-3-oxobutan-2-yl)amino)-1-oxo-3-phenylpropan-2-yl)carbamate


  • Catalogue No.:PA PEP 004190

  • CAS :

    71732-53-1

  • Molecular Formula : C21H22N4O4

  • Molecular Weight : 394.43

stdClass Object
(
    [pname] => L-Phenylalanyl-L-lysyl-L-arginyl-L-isoleucyl-L-valyl-L-glutaminyl-L-arginyl-L-isoleucyl-L-lysyl-L-aspartyl-L-phenylalanyl-L-leucyl-L-arginine
    [catalogue_number] => PA PEP 004191
    [category_ids] => ,114,
    [chemical_name] => 
    [weight] => 1719.12
    [form] => C80H135N25O17
    [cas] => 717919-68-1
    [pslug] => 717919-68-1-l-phenylalanyl-l-lysyl-l-arginyl-l-isoleucyl-l-valyl-l-glutaminyl-l-arginyl-l-isoleucyl-l-lysyl-l-aspartyl-l-phenylalanyl-l-leucyl-l-arginine-papep004191
    [latest_product] => 0
    [linkproducts] => 0
    [offers_id] => 
    [offers_name] => 
    [offers_status] => 
    [offers_start_date] => 
    [offers_end_date] => 
    [pageview] => 
    [offers_slug] => 
    [offers_product_id] => 
    [offers_product_code] => 
    [offers_master_id] => 
    [offer_percentage] => 
    [offers_product_main_cat] => 
)
PA PEP 004191
PA PEP 004191

L-Phenylalanyl-L-lysyl-L-arginyl-L-isoleucyl-L-valyl-L-glutaminyl-L-arginyl-L-isoleucyl-L-lysyl-L-aspartyl-L-phenylalanyl-L-leucyl-L-arginine


  • Catalogue No.:PA PEP 004191

  • CAS :

    717919-68-1

  • Molecular Formula : C80H135N25O17

  • Molecular Weight : 1719.12

stdClass Object
(
    [pname] => Lys-des-Arg9-bradykinin
    [catalogue_number] => PA PEP 004192
    [category_ids] => ,114,
    [chemical_name] => 
    [weight] => 1032.21
    [form] => C50H73N13O11
    [cas] => 71800-36-7
    [pslug] => 71800-36-7-lys-des-arg9-bradykinin-papep004192
    [latest_product] => 0
    [linkproducts] => 0
    [offers_id] => 
    [offers_name] => 
    [offers_status] => 
    [offers_start_date] => 
    [offers_end_date] => 
    [pageview] => 
    [offers_slug] => 
    [offers_product_id] => 
    [offers_product_code] => 
    [offers_master_id] => 
    [offer_percentage] => 
    [offers_product_main_cat] => 
)
PA PEP 004192
PA PEP 004192

Lys-des-Arg9-bradykinin


  • Catalogue No.:PA PEP 004192

  • CAS :

    71800-36-7

  • Molecular Formula : C50H73N13O11

  • Molecular Weight : 1032.21

stdClass Object
(
    [pname] => L-Lysyl-L-arginyl-L-prolyl-L-prolylglycyl-L-phenylalanyl-L-seryl-L-prolyl-L-leucine
    [catalogue_number] => PA PEP 004193
    [category_ids] => ,114,
    [chemical_name] => 
    [weight] => 998.2
    [form] => C47H75N13O11
    [cas] => 71800-37-8
    [pslug] => 71800-37-8-l-lysyl-l-arginyl-l-prolyl-l-prolylglycyl-l-phenylalanyl-l-seryl-l-prolyl-l-leucine-papep004193
    [latest_product] => 0
    [linkproducts] => 0
    [offers_id] => 
    [offers_name] => 
    [offers_status] => 
    [offers_start_date] => 
    [offers_end_date] => 
    [pageview] => 
    [offers_slug] => 
    [offers_product_id] => 
    [offers_product_code] => 
    [offers_master_id] => 
    [offer_percentage] => 
    [offers_product_main_cat] => 
)
PA PEP 004193
PA PEP 004193

L-Lysyl-L-arginyl-L-prolyl-L-prolylglycyl-L-phenylalanyl-L-seryl-L-prolyl-L-leucine


  • Catalogue No.:PA PEP 004193

  • CAS :

    71800-37-8

  • Molecular Formula : C47H75N13O11

  • Molecular Weight : 998.2

stdClass Object
(
    [pname] => (S)-3-Amino-4-(((S)-1-carboxy-2-(1H-indol-3-yl)ethyl)amino)-4-oxobutanoic Acid
    [catalogue_number] => PA PEP 004194
    [category_ids] => ,114,
    [chemical_name] => 
    [weight] => 319.32
    [form] => C15H17N3O5
    [cas] => 71835-79-5
    [pslug] => 71835-79-5-s-3-amino-4-s-1-carboxy-2-1h-indol-3-yl-ethyl-amino-4-oxobutanoic-acid-papep004194
    [latest_product] => 0
    [linkproducts] => 0
    [offers_id] => 
    [offers_name] => 
    [offers_status] => 
    [offers_start_date] => 
    [offers_end_date] => 
    [pageview] => 
    [offers_slug] => 
    [offers_product_id] => 
    [offers_product_code] => 
    [offers_master_id] => 
    [offer_percentage] => 
    [offers_product_main_cat] => 
)
PA PEP 004194
PA PEP 004194

(S)-3-Amino-4-(((S)-1-carboxy-2-(1H-indol-3-yl)ethyl)amino)-4-oxobutanoic Acid


  • Catalogue No.:PA PEP 004194

  • CAS :

    71835-79-5

  • Molecular Formula : C15H17N3O5

  • Molecular Weight : 319.32

stdClass Object
(
    [pname] => Prolylserine
    [catalogue_number] => PA PEP 004195
    [category_ids] => ,114,
    [chemical_name] => 
    [weight] => 202.21
    [form] => C8H14N2O4
    [cas] => 71835-80-8
    [pslug] => 71835-80-8-prolylserine-papep004195
    [latest_product] => 0
    [linkproducts] => 0
    [offers_id] => 
    [offers_name] => 
    [offers_status] => 
    [offers_start_date] => 
    [offers_end_date] => 
    [pageview] => 
    [offers_slug] => 
    [offers_product_id] => 
    [offers_product_code] => 
    [offers_master_id] => 
    [offer_percentage] => 
    [offers_product_main_cat] => 
)
PA PEP 004195
PA PEP 004195

Prolylserine


  • Catalogue No.:PA PEP 004195

  • CAS :

    71835-80-8

  • Molecular Formula : C8H14N2O4

  • Molecular Weight : 202.21

stdClass Object
(
    [pname] => (S)-2-((S)-1-(L-Arginyl-L-prolyl-L-lysyl)pyrrolidine-2-carboxamido)-N1-((S)-5-amino-1-(((S)-1-(((S)-1-((2-(((S)-1-(((S)-1-amino-1-oxohexan-2-yl)amino)-4-methyl-1-oxopentan-2-yl)amino)-2-oxoethyl)amino)-3-(4-hydroxyphenyl)-1-oxopropan-2-yl)amino)-1-oxo-3-phenylpropan-2-yl)amino)-1,5-dioxopentan-2-yl)pentanediamide
    [catalogue_number] => PA PEP 004196
    [category_ids] => ,114,
    [chemical_name] => 
    [weight] => 1345.62
    [form] => C64H100N18O14
    [cas] => 71890-48-7
    [pslug] => 71890-48-7-s-2-s-1-l-arginyl-l-prolyl-l-lysyl-pyrrolidine-2-carboxamido-n1-s-5-amino-1-s-1-s-1-2-s-1-s-1-amino-1-oxohexan-2-yl-amino-4-methyl-1-oxopentan-2-yl-amino-2-oxoethyl-amino-3-4-hydroxyphenyl-1-oxopropan-2-yl-amino-1-oxo-3-phenylpropan-2-yl-amino-1-5-dioxopentan-2-yl-pentanediamide-papep004196
    [latest_product] => 0
    [linkproducts] => 0
    [offers_id] => 
    [offers_name] => 
    [offers_status] => 
    [offers_start_date] => 
    [offers_end_date] => 
    [pageview] => 
    [offers_slug] => 
    [offers_product_id] => 
    [offers_product_code] => 
    [offers_master_id] => 
    [offer_percentage] => 
    [offers_product_main_cat] => 
)
PA PEP 004196
PA PEP 004196

(S)-2-((S)-1-(L-Arginyl-L-prolyl-L-lysyl)pyrrolidine-2-carboxamido)-N1-((S)-5-amino-1-(((S)-1-(((S)-1-((2-(((S)-1-(((S)-1-amino-1-oxohexan-2-yl)amino)-4-methyl-1-oxopentan-2-yl)amino)-2-oxoethyl)amino)-3-(4-hydroxyphenyl)-1-oxopropan-2-yl)amino)-1-oxo-3-phenylpropan-2-yl)amino)-1,5-dioxopentan-2-yl)pentanediamide


  • Catalogue No.:PA PEP 004196

  • CAS :

    71890-48-7

  • Molecular Formula : C64H100N18O14

  • Molecular Weight : 1345.62

stdClass Object
(
    [pname] => ((S)-2-((S)-2-((S)-2-((S)-2-Formamidohexanamido)-4-methylpentanamido)-3-phenylpropanamido)hexanoyl)-L-tyrosyl-L-lysine
    [catalogue_number] => PA PEP 004197
    [category_ids] => ,114,
    [chemical_name] => 
    [weight] => 824.03
    [form] => C43H65N7O9
    [cas] => 71901-21-8
    [pslug] => 71901-21-8-s-2-s-2-s-2-s-2-formamidohexanamido-4-methylpentanamido-3-phenylpropanamido-hexanoyl-l-tyrosyl-l-lysine-papep004197
    [latest_product] => 0
    [linkproducts] => 0
    [offers_id] => 
    [offers_name] => 
    [offers_status] => 
    [offers_start_date] => 
    [offers_end_date] => 
    [pageview] => 
    [offers_slug] => 
    [offers_product_id] => 
    [offers_product_code] => 
    [offers_master_id] => 
    [offer_percentage] => 
    [offers_product_main_cat] => 
)
PA PEP 004197
PA PEP 004197

((S)-2-((S)-2-((S)-2-((S)-2-Formamidohexanamido)-4-methylpentanamido)-3-phenylpropanamido)hexanoyl)-L-tyrosyl-L-lysine


  • Catalogue No.:PA PEP 004197

  • CAS :

    71901-21-8

  • Molecular Formula : C43H65N7O9

  • Molecular Weight : 824.03

stdClass Object
(
    [pname] => L-Arginyl-L-lysyl-L-arginyl-L-seryl-L-arginyl-L-lysyl-L-glutamic Acid
    [catalogue_number] => PA PEP 004198
    [category_ids] => ,114,
    [chemical_name] => 
    [weight] => 959.13
    [form] => C38H74N18O11
    [cas] => 71937-87-6
    [pslug] => 71937-87-6-l-arginyl-l-lysyl-l-arginyl-l-seryl-l-arginyl-l-lysyl-l-glutamic-acid-papep004198
    [latest_product] => 0
    [linkproducts] => 0
    [offers_id] => 
    [offers_name] => 
    [offers_status] => 
    [offers_start_date] => 
    [offers_end_date] => 
    [pageview] => 
    [offers_slug] => 
    [offers_product_id] => 
    [offers_product_code] => 
    [offers_master_id] => 
    [offer_percentage] => 
    [offers_product_main_cat] => 
)
PA PEP 004198
PA PEP 004198

L-Arginyl-L-lysyl-L-arginyl-L-seryl-L-arginyl-L-lysyl-L-glutamic Acid


  • Catalogue No.:PA PEP 004198

  • CAS :

    71937-87-6

  • Molecular Formula : C38H74N18O11

  • Molecular Weight : 959.13

stdClass Object
(
    [pname] => (Diacetyl)-α-MSH
    [catalogue_number] => PA PEP 004199
    [category_ids] => ,114,
    [chemical_name] => 
    [weight] => 1706.94
    [form] => C79H111N21O20S
    [cas] => 71952-90-4
    [pslug] => 71952-90-4-diacetyl-alpha-msh-papep004199
    [latest_product] => 0
    [linkproducts] => 0
    [offers_id] => 
    [offers_name] => 
    [offers_status] => 
    [offers_start_date] => 
    [offers_end_date] => 
    [pageview] => 
    [offers_slug] => 
    [offers_product_id] => 
    [offers_product_code] => 
    [offers_master_id] => 
    [offer_percentage] => 
    [offers_product_main_cat] => 
)
PA PEP 004199
PA PEP 004199

(Diacetyl)-α-MSH


  • Catalogue No.:PA PEP 004199

  • CAS :

    71952-90-4

  • Molecular Formula : C79H111N21O20S

  • Molecular Weight : 1706.94

stdClass Object
(
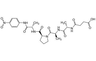
    [pname] => 4-(((S)-1-(((S)-1-(((S)-1-((4-Methyl-2-oxo-2H-chromen-7-yl)amino)-1-oxo-3-phenylpropan-2-yl)amino)-1-oxopropan-2-yl)amino)-1-oxopropan-2-yl)amino)-4-oxobutanoic Acid
    [catalogue_number] => PA PEP 004200
    [category_ids] => ,114,
    [chemical_name] => 
    [weight] => 564.6
    [form] => C29H32N4O8
    [cas] => 71973-79-0
    [pslug] => 71973-79-0-4-s-1-s-1-s-1-4-methyl-2-oxo-2h-chromen-7-yl-amino-1-oxo-3-phenylpropan-2-yl-amino-1-oxopropan-2-yl-amino-1-oxopropan-2-yl-amino-4-oxobutanoic-acid-papep004200
    [latest_product] => 0
    [linkproducts] => 0
    [offers_id] => 
    [offers_name] => 
    [offers_status] => 
    [offers_start_date] => 
    [offers_end_date] => 
    [pageview] => 
    [offers_slug] => 
    [offers_product_id] => 
    [offers_product_code] => 
    [offers_master_id] => 
    [offer_percentage] => 
    [offers_product_main_cat] => 
)
PA PEP 004200
PA PEP 004200

4-(((S)-1-(((S)-1-(((S)-1-((4-Methyl-2-oxo-2H-chromen-7-yl)amino)-1-oxo-3-phenylpropan-2-yl)amino)-1-oxopropan-2-yl)amino)-1-oxopropan-2-yl)amino)-4-oxobutanoic Acid


  • Catalogue No.:PA PEP 004200

  • CAS :

    71973-79-0

  • Molecular Formula : C29H32N4O8

  • Molecular Weight : 564.6

stdClass Object
(
    [pname] => (S)-N-((S)-1-((2-(((S)-1-(((S)-1-(((S)-1-(((S)-1-Amino-5-guanidino-1-oxopentan-2-yl)amino)-1-oxopropan-2-yl)amino)-3-((2,4-dinitrophenyl)amino)-1-oxopropan-2-yl)amino)-4-methyl-1-oxopentan-2-yl)amino)-2-oxoethyl)amino)-4-methyl-1-oxopentan-2-yl)-1-((2-(7-methoxy-2-oxo-2H-chromen-4-yl)acetyl)-L-lysyl)pyrrolidine-2-carboxamide
    [catalogue_number] => PA PEP 004201
    [category_ids] => ,114,
    [chemical_name] => 
    [weight] => 1221.34
    [form] => C55H80N16O16
    [cas] => 720710-69-0
    [pslug] => 720710-69-0-s-n-s-1-2-s-1-s-1-s-1-s-1-amino-5-guanidino-1-oxopentan-2-yl-amino-1-oxopropan-2-yl-amino-3-2-4-dinitrophenyl-amino-1-oxopropan-2-yl-amino-4-methyl-1-oxopentan-2-yl-amino-2-oxoethyl-amino-4-methyl-1-oxopentan-2-yl-1-2-7-methoxy-2-oxo-2h-chromen-4-yl-acetyl-l-lysyl-pyrrolidine-2-carboxamide-papep004201
    [latest_product] => 0
    [linkproducts] => 0
    [offers_id] => 
    [offers_name] => 
    [offers_status] => 
    [offers_start_date] => 
    [offers_end_date] => 
    [pageview] => 
    [offers_slug] => 
    [offers_product_id] => 
    [offers_product_code] => 
    [offers_master_id] => 
    [offer_percentage] => 
    [offers_product_main_cat] => 
)
PA PEP 004201
PA PEP 004201

(S)-N-((S)-1-((2-(((S)-1-(((S)-1-(((S)-1-(((S)-1-Amino-5-guanidino-1-oxopentan-2-yl)amino)-1-oxopropan-2-yl)amino)-3-((2,4-dinitrophenyl)amino)-1-oxopropan-2-yl)amino)-4-methyl-1-oxopentan-2-yl)amino)-2-oxoethyl)amino)-4-methyl-1-oxopentan-2-yl)-1-((2-(7-methoxy-2-oxo-2H-chromen-4-yl)acetyl)-L-lysyl)pyrrolidine-2-carboxamide


  • Catalogue No.:PA PEP 004201

  • CAS :

    720710-69-0

  • Molecular Formula : C55H80N16O16

  • Molecular Weight : 1221.34

stdClass Object
(
    [pname] => Tuftsin Diacetate
    [catalogue_number] => PA PEP 004202
    [category_ids] => ,114,
    [chemical_name] => 
    [weight] => 620.71
    [form] => C25H48N8O10
    [cas] => 72103-53-8
    [pslug] => 72103-53-8-tuftsin-diacetate-papep004202
    [latest_product] => 0
    [linkproducts] => 0
    [offers_id] => 
    [offers_name] => 
    [offers_status] => 
    [offers_start_date] => 
    [offers_end_date] => 
    [pageview] => 
    [offers_slug] => 
    [offers_product_id] => 
    [offers_product_code] => 
    [offers_master_id] => 
    [offer_percentage] => 
    [offers_product_main_cat] => 
)
PA PEP 004202
PA PEP 004202

Tuftsin Diacetate


  • Catalogue No.:PA PEP 004202

  • CAS :

    72103-53-8

  • Molecular Formula : C25H48N8O10

  • Molecular Weight : 620.71

stdClass Object
(
    [pname] => L-Tyrosyl-L-prolyl-L-phenylalanyl-L-prolylglycine
    [catalogue_number] => PA PEP 004203
    [category_ids] => ,114,
    [chemical_name] => 
    [weight] => 579.65
    [form] => C30H37N5O7
    [cas] => 72122-63-5
    [pslug] => 72122-63-5-l-tyrosyl-l-prolyl-l-phenylalanyl-l-prolylglycine-papep004203
    [latest_product] => 0
    [linkproducts] => 0
    [offers_id] => 
    [offers_name] => 
    [offers_status] => 
    [offers_start_date] => 
    [offers_end_date] => 
    [pageview] => 
    [offers_slug] => 
    [offers_product_id] => 
    [offers_product_code] => 
    [offers_master_id] => 
    [offer_percentage] => 
    [offers_product_main_cat] => 
)
PA PEP 004203
PA PEP 004203

L-Tyrosyl-L-prolyl-L-phenylalanyl-L-prolylglycine


  • Catalogue No.:PA PEP 004203

  • CAS :

    72122-63-5

  • Molecular Formula : C30H37N5O7

  • Molecular Weight : 579.65

stdClass Object
(
    [pname] => (R)-2,6-Diamino-N-((4R,7R,10R,13R,16R,19R,22R,25R,28R,31R,34R,37R,40R)-44-amino-10,19,22,31-tetrakis(4-aminobutyl)-40-carbamoyl-13,25,34-triisobutyl-2,7,16,28,37-pentamethyl-5,8,11,14,17,20,23,26,29,32,35,38-dodecaoxo-6,9,12,15,18,21,24,27,30,33,36,39-dodecaazatetratetracontan-4-yl)hexanamide
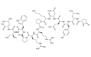
    [catalogue_number] => PA PEP 004204
    [category_ids] => ,114,
    [chemical_name] => 
    [weight] => 1523.04
    [form] => C72H139N21O14
    [cas] => 721397-24-6
    [pslug] => 721397-24-6-r-2-6-diamino-n-4r-7r-10r-13r-16r-19r-22r-25r-28r-31r-34r-37r-40r-44-amino-10-19-22-31-tetrakis-4-aminobutyl-40-carbamoyl-13-25-34-triisobutyl-2-7-16-28-37-pentamethyl-5-8-11-14-17-20-23-26-29-32-35-38-dodecaoxo-6-9-12-15-18-21-24-27-30-33-36-39-dodecaazatetratetracontan-4-yl-hexanamide-papep004204
    [latest_product] => 0
    [linkproducts] => 0
    [offers_id] => 
    [offers_name] => 
    [offers_status] => 
    [offers_start_date] => 
    [offers_end_date] => 
    [pageview] => 
    [offers_slug] => 
    [offers_product_id] => 
    [offers_product_code] => 
    [offers_master_id] => 
    [offer_percentage] => 
    [offers_product_main_cat] => 
)
PA PEP 004204
PA PEP 004204

(R)-2,6-Diamino-N-((4R,7R,10R,13R,16R,19R,22R,25R,28R,31R,34R,37R,40R)-44-amino-10,19,22,31-tetrakis(4-aminobutyl)-40-carbamoyl-13,25,34-triisobutyl-2,7,16,28,37-pentamethyl-5,8,11,14,17,20,23,26,29,32,35,38-dodecaoxo-6,9,12,15,18,21,24,27,30,33,36,39-dodecaazatetratetracontan-4-yl)hexanamide


  • Catalogue No.:PA PEP 004204

  • CAS :

    721397-24-6

  • Molecular Formula : C72H139N21O14

  • Molecular Weight : 1523.04

stdClass Object
(
    [pname] => Glycyl-DL-phenylalanine
    [catalogue_number] => PA PEP 004205
    [category_ids] => ,114,
    [chemical_name] => 
    [weight] => 222.24
    [form] => C11H14N2O3
    [cas] => 721-66-4
    [pslug] => 721-66-4-glycyl-dl-phenylalanine-papep004205
    [latest_product] => 0
    [linkproducts] => 0
    [offers_id] => 
    [offers_name] => 
    [offers_status] => 
    [offers_start_date] => 
    [offers_end_date] => 
    [pageview] => 
    [offers_slug] => 
    [offers_product_id] => 
    [offers_product_code] => 
    [offers_master_id] => 
    [offer_percentage] => 
    [offers_product_main_cat] => 
)
PA PEP 004205
PA PEP 004205

Glycyl-DL-phenylalanine


  • Catalogue No.:PA PEP 004205

  • CAS :

    721-66-4

  • Molecular Formula : C11H14N2O3

  • Molecular Weight : 222.24

stdClass Object
(
    [pname] => L-α-Aspartyl-L-methionyl-L-arginyl-L-prolyl-L-α-glutamyl-L-isoleucyl-L-tryptophyl-L-isoleucyl-L-alanyl-L-glutaminyl-L-α-glutamyl-L-leucyl-L-arginyl-L-arginyl-L-isoleucylglycyl-L-α-aspartyl-L-α-glutamyl-L-phenylalanyl-L-asparaginyl-L-alanyl-L-tyrosyl-L-tyrosyl-L-alanyl-L-arginyl-L-arginine
    [catalogue_number] => PA PEP 004206
    [category_ids] => ,114,
    [chemical_name] => 
    [weight] => 3269.7
    [form] => C145H222N44O41S
    [cas] => 721885-31-0
    [pslug] => 721885-31-0-l-alpha-aspartyl-l-methionyl-l-arginyl-l-prolyl-l-alpha-glutamyl-l-isoleucyl-l-tryptophyl-l-isoleucyl-l-alanyl-l-glutaminyl-l-alpha-glutamyl-l-leucyl-l-arginyl-l-arginyl-l-isoleucylglycyl-l-alpha-aspartyl-l-alpha-glutamyl-l-phenylalanyl-l-asparaginyl-l-alanyl-l-tyrosyl-l-tyrosyl-l-alanyl-l-arginyl-l-arginine-papep004206
    [latest_product] => 0
    [linkproducts] => 0
    [offers_id] => 
    [offers_name] => 
    [offers_status] => 
    [offers_start_date] => 
    [offers_end_date] => 
    [pageview] => 
    [offers_slug] => 
    [offers_product_id] => 
    [offers_product_code] => 
    [offers_master_id] => 
    [offer_percentage] => 
    [offers_product_main_cat] => 
)
PA PEP 004206
PA PEP 004206

L-α-Aspartyl-L-methionyl-L-arginyl-L-prolyl-L-α-glutamyl-L-isoleucyl-L-tryptophyl-L-isoleucyl-L-alanyl-L-glutaminyl-L-α-glutamyl-L-leucyl-L-arginyl-L-arginyl-L-isoleucylglycyl-L-α-aspartyl-L-α-glutamyl-L-phenylalanyl-L-asparaginyl-L-alanyl-L-tyrosyl-L-tyrosyl-L-alanyl-L-arginyl-L-arginine


  • Catalogue No.:PA PEP 004206

  • CAS :

    721885-31-0

  • Molecular Formula : C145H222N44O41S

  • Molecular Weight : 3269.7

stdClass Object
(
    [pname] => L-Arginyl-L-arginyl-L-arginyl-L-cysteinyl-L-tryptophyl-L-tryptophylglycyl-L-tyrosyl-L-tyrosyl-L-tyrosyl-L-arginyl-L-arginyl-L-arginyl-L-cysteinyl-L-tryptophyl-L-tryptophylglycyl-L-tyrosyl-L-tyrosyl-L-tyrosine
    [catalogue_number] => PA PEP 004207
    [category_ids] => ,114,
    [chemical_name] => 
    [weight] => 2999.44
    [form] => C144H184N42O27S2
    [cas] => 721963-21-9
    [pslug] => 721963-21-9-l-arginyl-l-arginyl-l-arginyl-l-cysteinyl-l-tryptophyl-l-tryptophylglycyl-l-tyrosyl-l-tyrosyl-l-tyrosyl-l-arginyl-l-arginyl-l-arginyl-l-cysteinyl-l-tryptophyl-l-tryptophylglycyl-l-tyrosyl-l-tyrosyl-l-tyrosine-papep004207
    [latest_product] => 0
    [linkproducts] => 0
    [offers_id] => 
    [offers_name] => 
    [offers_status] => 
    [offers_start_date] => 
    [offers_end_date] => 
    [pageview] => 
    [offers_slug] => 
    [offers_product_id] => 
    [offers_product_code] => 
    [offers_master_id] => 
    [offer_percentage] => 
    [offers_product_main_cat] => 
)
PA PEP 004207
PA PEP 004207

L-Arginyl-L-arginyl-L-arginyl-L-cysteinyl-L-tryptophyl-L-tryptophylglycyl-L-tyrosyl-L-tyrosyl-L-tyrosyl-L-arginyl-L-arginyl-L-arginyl-L-cysteinyl-L-tryptophyl-L-tryptophylglycyl-L-tyrosyl-L-tyrosyl-L-tyrosine


  • Catalogue No.:PA PEP 004207

  • CAS :

    721963-21-9

  • Molecular Formula : C144H184N42O27S2

  • Molecular Weight : 2999.44

stdClass Object
(
    [pname] => Methyl 4-(((S)-1-(((S)-1-((S)-2-(((S)-1-((4-methoxynaphthalen-2-yl)amino)-3-methyl-1-oxobutan-2-yl)carbamoyl)pyrrolidin-1-yl)-1-oxopropan-2-yl)amino)-1-oxopropan-2-yl)amino)-4-oxobutanoate
    [catalogue_number] => PA PEP 004208
    [category_ids] => ,114,
    [chemical_name] => 
    [weight] => 625.72
    [form] => C32H43N5O8
    [cas] => 72252-91-6
    [pslug] => 72252-91-6-methyl-4-s-1-s-1-s-2-s-1-4-methoxynaphthalen-2-yl-amino-3-methyl-1-oxobutan-2-yl-carbamoyl-pyrrolidin-1-yl-1-oxopropan-2-yl-amino-1-oxopropan-2-yl-amino-4-oxobutanoate-papep004208
    [latest_product] => 0
    [linkproducts] => 0
    [offers_id] => 
    [offers_name] => 
    [offers_status] => 
    [offers_start_date] => 
    [offers_end_date] => 
    [pageview] => 
    [offers_slug] => 
    [offers_product_id] => 
    [offers_product_code] => 
    [offers_master_id] => 
    [offer_percentage] => 
    [offers_product_main_cat] => 
)
PA PEP 004208
PA PEP 004208

Methyl 4-(((S)-1-(((S)-1-((S)-2-(((S)-1-((4-methoxynaphthalen-2-yl)amino)-3-methyl-1-oxobutan-2-yl)carbamoyl)pyrrolidin-1-yl)-1-oxopropan-2-yl)amino)-1-oxopropan-2-yl)amino)-4-oxobutanoate


  • Catalogue No.:PA PEP 004208

  • CAS :

    72252-91-6

  • Molecular Formula : C32H43N5O8

  • Molecular Weight : 625.72

stdClass Object
(
    [pname] => L-Tryptophyl-L-arginyl-L-tryptophyl-L-tryptophyl-L-tryptophyl-L-tryptophan
    [catalogue_number] => PA PEP 004209
    [category_ids] => ,114,
    [chemical_name] => 
    [weight] => 1105.27
    [form] => C61H64N14O7
    [cas] => 722541-91-5
    [pslug] => 722541-91-5-l-tryptophyl-l-arginyl-l-tryptophyl-l-tryptophyl-l-tryptophyl-l-tryptophan-papep004209
    [latest_product] => 0
    [linkproducts] => 0
    [offers_id] => 
    [offers_name] => 
    [offers_status] => 
    [offers_start_date] => 
    [offers_end_date] => 
    [pageview] => 
    [offers_slug] => 
    [offers_product_id] => 
    [offers_product_code] => 
    [offers_master_id] => 
    [offer_percentage] => 
    [offers_product_main_cat] => 
)
PA PEP 004209
PA PEP 004209

L-Tryptophyl-L-arginyl-L-tryptophyl-L-tryptophyl-L-tryptophyl-L-tryptophan


  • Catalogue No.:PA PEP 004209

  • CAS :

    722541-91-5

  • Molecular Formula : C61H64N14O7

  • Molecular Weight : 1105.27

stdClass Object
(
    [pname] => Retrocyclin-1
    [catalogue_number] => PA PEP 004210
    [category_ids] => ,114,
    [chemical_name] => 
    [weight] => 1918.39
    [form] => C74H128N30O18S6
    [cas] => 724760-19-4
    [pslug] => 724760-19-4-retrocyclin-1-papep004210
    [latest_product] => 0
    [linkproducts] => 0
    [offers_id] => 
    [offers_name] => 
    [offers_status] => 
    [offers_start_date] => 
    [offers_end_date] => 
    [pageview] => 
    [offers_slug] => 
    [offers_product_id] => 
    [offers_product_code] => 
    [offers_master_id] => 
    [offer_percentage] => 
    [offers_product_main_cat] => 
)
PA PEP 004210
PA PEP 004210

Retrocyclin-1


  • Catalogue No.:PA PEP 004210

  • CAS :

    724760-19-4

  • Molecular Formula : C74H128N30O18S6

  • Molecular Weight : 1918.39

stdClass Object
(
    [pname] => GIP (1-39)
    [catalogue_number] => PA PEP 004211
    [category_ids] => ,114,
    [chemical_name] => 
    [weight] => NA
    [form] => NA
    [cas] => 725474-97-5
    [pslug] => 725474-97-5-gip-1-39-papep004211
    [latest_product] => 0
    [linkproducts] => 0
    [offers_id] => 
    [offers_name] => 
    [offers_status] => 
    [offers_start_date] => 
    [offers_end_date] => 
    [pageview] => 
    [offers_slug] => 
    [offers_product_id] => 
    [offers_product_code] => 
    [offers_master_id] => 
    [offer_percentage] => 
    [offers_product_main_cat] => 
)
PA PEP 004211
PA PEP 004211

GIP (1-39)


  • Catalogue No.:PA PEP 004211

  • CAS :

    725474-97-5

  • Molecular Formula : NA

  • Molecular Weight : NA

stdClass Object
(
    [pname] => Alirinetide
    [catalogue_number] => PA PEP 004212
    [category_ids] => ,114,
    [chemical_name] => 
    [weight] => 798.9
    [form] => C36H54N12O9
    [cas] => 725715-18-4
    [pslug] => 725715-18-4-alirinetide-papep004212
    [latest_product] => 0
    [linkproducts] => 0
    [offers_id] => 
    [offers_name] => 
    [offers_status] => 
    [offers_start_date] => 
    [offers_end_date] => 
    [pageview] => 
    [offers_slug] => 
    [offers_product_id] => 
    [offers_product_code] => 
    [offers_master_id] => 
    [offer_percentage] => 
    [offers_product_main_cat] => 
)
PA PEP 004212
PA PEP 004212

Alirinetide


  • Catalogue No.:PA PEP 004212

  • CAS :

    725715-18-4

  • Molecular Formula : C36H54N12O9

  • Molecular Weight : 798.9

stdClass Object
(
    [pname] => L-Alanyl-L-alanyl-L-alanyl-L-tyrosylglycylglycyl-L-phenylalanyl-L-leucine
    [catalogue_number] => PA PEP 004213
    [category_ids] => ,114,
    [chemical_name] => 
    [weight] => 768.87
    [form] => C37H52N8O10
    [cas] => 72601-97-9
    [pslug] => 72601-97-9-l-alanyl-l-alanyl-l-alanyl-l-tyrosylglycylglycyl-l-phenylalanyl-l-leucine-papep004213
    [latest_product] => 0
    [linkproducts] => 0
    [offers_id] => 
    [offers_name] => 
    [offers_status] => 
    [offers_start_date] => 
    [offers_end_date] => 
    [pageview] => 
    [offers_slug] => 
    [offers_product_id] => 
    [offers_product_code] => 
    [offers_master_id] => 
    [offer_percentage] => 
    [offers_product_main_cat] => 
)
PA PEP 004213
PA PEP 004213

L-Alanyl-L-alanyl-L-alanyl-L-tyrosylglycylglycyl-L-phenylalanyl-L-leucine


  • Catalogue No.:PA PEP 004213

  • CAS :

    72601-97-9

  • Molecular Formula : C37H52N8O10

  • Molecular Weight : 768.87

stdClass Object
(
    [pname] => (3S,6S,9S,12S,15S,21S,24S,27S)-15-((1H-Imidazol-5-yl)methyl)-6-((1H-indol-3-yl)methyl)-27-amino-3-(((S)-1-(((S)-1-amino-1-oxo-3-phenylpropan-2-yl)amino)-5-guanidino-1-oxopentan-2-yl)carbamoyl)-12-benzyl-9-(3-guanidinopropyl)-28-(4-hydroxyphenyl)-24-isopropyl-21-(2-(methylthio)ethyl)-5,8,11,14,17,20,23,26-octaoxo-4,7,10,13,16,19,22,25-octaazaoctacosanoic Acid
    [catalogue_number] => PA PEP 004214
    [category_ids] => ,114,
    [chemical_name] => 
    [weight] => 1512.76
    [form] => C72H97N21O14S
    [cas] => 72629-65-3
    [pslug] => 72629-65-3-3s-6s-9s-12s-15s-21s-24s-27s-15-1h-imidazol-5-yl-methyl-6-1h-indol-3-yl-methyl-27-amino-3-s-1-s-1-amino-1-oxo-3-phenylpropan-2-yl-amino-5-guanidino-1-oxopentan-2-yl-carbamoyl-12-benzyl-9-3-guanidinopropyl-28-4-hydroxyphenyl-24-isopropyl-21-2-methylthio-ethyl-5-8-11-14-17-20-23-26-octaoxo-4-7-10-13-16-19-22-25-octaazaoctacosanoic-acid-papep004214
    [latest_product] => 0
    [linkproducts] => 0
    [offers_id] => 
    [offers_name] => 
    [offers_status] => 
    [offers_start_date] => 
    [offers_end_date] => 
    [pageview] => 
    [offers_slug] => 
    [offers_product_id] => 
    [offers_product_code] => 
    [offers_master_id] => 
    [offer_percentage] => 
    [offers_product_main_cat] => 
)
PA PEP 004214
PA PEP 004214

(3S,6S,9S,12S,15S,21S,24S,27S)-15-((1H-Imidazol-5-yl)methyl)-6-((1H-indol-3-yl)methyl)-27-amino-3-(((S)-1-(((S)-1-amino-1-oxo-3-phenylpropan-2-yl)amino)-5-guanidino-1-oxopentan-2-yl)carbamoyl)-12-benzyl-9-(3-guanidinopropyl)-28-(4-hydroxyphenyl)-24-isopropyl-21-(2-(methylthio)ethyl)-5,8,11,14,17,20,23,26-octaoxo-4,7,10,13,16,19,22,25-octaazaoctacosanoic Acid


  • Catalogue No.:PA PEP 004214

  • CAS :

    72629-65-3

  • Molecular Formula : C72H97N21O14S

  • Molecular Weight : 1512.76

stdClass Object
(
    [pname] => L-Valyl-L-threonine
    [catalogue_number] => PA PEP 004215
    [category_ids] => ,114,
    [chemical_name] => 
    [weight] => 218.25
    [form] => C9H18N2O4
    [cas] => 72636-02-3
    [pslug] => 72636-02-3-l-valyl-l-threonine-papep004215
    [latest_product] => 0
    [linkproducts] => 0
    [offers_id] => 
    [offers_name] => 
    [offers_status] => 
    [offers_start_date] => 
    [offers_end_date] => 
    [pageview] => 
    [offers_slug] => 
    [offers_product_id] => 
    [offers_product_code] => 
    [offers_master_id] => 
    [offer_percentage] => 
    [offers_product_main_cat] => 
)
PA PEP 004215
PA PEP 004215

L-Valyl-L-threonine


  • Catalogue No.:PA PEP 004215

  • CAS :

    72636-02-3

  • Molecular Formula : C9H18N2O4

  • Molecular Weight : 218.25

stdClass Object
(
    [pname] => 4-(((S)-1-(((S)-1-((S)-2-((2-((4-Nitrophenyl)amino)-2-oxoethyl)carbamoyl)pyrrolidin-1-yl)-1-oxopropan-2-yl)amino)-1-oxopropan-2-yl)amino)-4-oxobutanoic Acid
    [catalogue_number] => PA PEP 004219
    [category_ids] => ,114,
    [chemical_name] => 
    [weight] => 534.53
    [form] => C23H30N6O9
    [cas] => 72682-68-9
    [pslug] => 72682-68-9-4-s-1-s-1-s-2-2-4-nitrophenyl-amino-2-oxoethyl-carbamoyl-pyrrolidin-1-yl-1-oxopropan-2-yl-amino-1-oxopropan-2-yl-amino-4-oxobutanoic-acid-papep004219
    [latest_product] => 0
    [linkproducts] => 0
    [offers_id] => 
    [offers_name] => 
    [offers_status] => 
    [offers_start_date] => 
    [offers_end_date] => 
    [pageview] => 
    [offers_slug] => 
    [offers_product_id] => 
    [offers_product_code] => 
    [offers_master_id] => 
    [offer_percentage] => 
    [offers_product_main_cat] => 
)
PA PEP 004219
PA PEP 004219

4-(((S)-1-(((S)-1-((S)-2-((2-((4-Nitrophenyl)amino)-2-oxoethyl)carbamoyl)pyrrolidin-1-yl)-1-oxopropan-2-yl)amino)-1-oxopropan-2-yl)amino)-4-oxobutanoic Acid


  • Catalogue No.:PA PEP 004219

  • CAS :

    72682-68-9

  • Molecular Formula : C23H30N6O9

  • Molecular Weight : 534.53

stdClass Object
(
    [pname] => 4-(((S)-1-(((S)-1-((S)-2-(((S)-1-((4-Nitrophenyl)amino)-1-oxopropan-2-yl)carbamoyl)pyrrolidin-1-yl)-1-oxopropan-2-yl)amino)-1-oxopropan-2-yl)amino)-4-oxobutanoic Acid
    [catalogue_number] => PA PEP 004220
    [category_ids] => ,114,
    [chemical_name] => 
    [weight] => 548.55
    [form] => C24H32N6O9
    [cas] => 72682-69-0
    [pslug] => 72682-69-0-4-s-1-s-1-s-2-s-1-4-nitrophenyl-amino-1-oxopropan-2-yl-carbamoyl-pyrrolidin-1-yl-1-oxopropan-2-yl-amino-1-oxopropan-2-yl-amino-4-oxobutanoic-acid-papep004220
    [latest_product] => 0
    [linkproducts] => 0
    [offers_id] => 
    [offers_name] => 
    [offers_status] => 
    [offers_start_date] => 
    [offers_end_date] => 
    [pageview] => 
    [offers_slug] => 
    [offers_product_id] => 
    [offers_product_code] => 
    [offers_master_id] => 
    [offer_percentage] => 
    [offers_product_main_cat] => 
)
PA PEP 004220
PA PEP 004220

4-(((S)-1-(((S)-1-((S)-2-(((S)-1-((4-Nitrophenyl)amino)-1-oxopropan-2-yl)carbamoyl)pyrrolidin-1-yl)-1-oxopropan-2-yl)amino)-1-oxopropan-2-yl)amino)-4-oxobutanoic Acid


  • Catalogue No.:PA PEP 004220

  • CAS :

    72682-69-0

  • Molecular Formula : C24H32N6O9

  • Molecular Weight : 548.55

stdClass Object
(
    [pname] => 4-((2-((S)-2-(((S)-4-Methyl-1-((2-((S)-2-((4-methyl-2-oxo-2H-chromen-7-yl)carbamoyl)pyrrolidin-1-yl)-2-oxoethyl)amino)-1-oxopentan-2-yl)carbamoyl)pyrrolidin-1-yl)-2-oxoethyl)amino)-4-oxobutanoic Acid
    [catalogue_number] => PA PEP 004221
    [category_ids] => ,114,
    [chemical_name] => 
    [weight] => 696.76
    [form] => C34H44N6O10
    [cas] => 72698-36-3
    [pslug] => 72698-36-3-4-2-s-2-s-4-methyl-1-2-s-2-4-methyl-2-oxo-2h-chromen-7-yl-carbamoyl-pyrrolidin-1-yl-2-oxoethyl-amino-1-oxopentan-2-yl-carbamoyl-pyrrolidin-1-yl-2-oxoethyl-amino-4-oxobutanoic-acid-papep004221
    [latest_product] => 0
    [linkproducts] => 0
    [offers_id] => 
    [offers_name] => 
    [offers_status] => 
    [offers_start_date] => 
    [offers_end_date] => 
    [pageview] => 
    [offers_slug] => 
    [offers_product_id] => 
    [offers_product_code] => 
    [offers_master_id] => 
    [offer_percentage] => 
    [offers_product_main_cat] => 
)
PA PEP 004221
PA PEP 004221

4-((2-((S)-2-(((S)-4-Methyl-1-((2-((S)-2-((4-methyl-2-oxo-2H-chromen-7-yl)carbamoyl)pyrrolidin-1-yl)-2-oxoethyl)amino)-1-oxopentan-2-yl)carbamoyl)pyrrolidin-1-yl)-2-oxoethyl)amino)-4-oxobutanoic Acid


  • Catalogue No.:PA PEP 004221

  • CAS :

    72698-36-3

  • Molecular Formula : C34H44N6O10

  • Molecular Weight : 696.76

stdClass Object
(
    [pname] => (2S,5S,8S,11S,14S,17S)-2-((1H-Imidazol-4-yl)methyl)-17-amino-8-benzyl-11-(2-carboxyethyl)-5-(3-guanidinopropyl)-14-isopropyl-4,7,10,13,16-pentaoxo-3,6,9,12,15-pentaazanonadecanedioic Acid
    [catalogue_number] => PA PEP 004222
    [category_ids] => ,114,
    [chemical_name] => 
    [weight] => 801.86
    [form] => C35H51N11O11
    [cas] => 727727-66-4
    [pslug] => 727727-66-4-2s-5s-8s-11s-14s-17s-2-1h-imidazol-4-yl-methyl-17-amino-8-benzyl-11-2-carboxyethyl-5-3-guanidinopropyl-14-isopropyl-4-7-10-13-16-pentaoxo-3-6-9-12-15-pentaazanonadecanedioic-acid-papep004222
    [latest_product] => 0
    [linkproducts] => 0
    [offers_id] => 
    [offers_name] => 
    [offers_status] => 
    [offers_start_date] => 
    [offers_end_date] => 
    [pageview] => 
    [offers_slug] => 
    [offers_product_id] => 
    [offers_product_code] => 
    [offers_master_id] => 
    [offer_percentage] => 
    [offers_product_main_cat] => 
)
PA PEP 004222
PA PEP 004222

(2S,5S,8S,11S,14S,17S)-2-((1H-Imidazol-4-yl)methyl)-17-amino-8-benzyl-11-(2-carboxyethyl)-5-(3-guanidinopropyl)-14-isopropyl-4,7,10,13,16-pentaoxo-3,6,9,12,15-pentaazanonadecanedioic Acid


  • Catalogue No.:PA PEP 004222

  • CAS :

    727727-66-4

  • Molecular Formula : C35H51N11O11

  • Molecular Weight : 801.86

stdClass Object
(
    [pname] => 5-((2-((S)-2-((S)-1-((4-((4-(Dimethylamino)phenyl)diazenyl)benzoyl)-L-threonyl-L-prolyl-L-leucyl-L-lysyl-L-seryl-L-prolyl-L-prolyl-L-prolyl-L-seryl)pyrrolidine-2-carboxamido)-5-guanidinopentanamido)ethyl)amino)naphthalene-1-sulfonic Acid
    [catalogue_number] => PA PEP 004223
    [category_ids] => ,114,
    [chemical_name] => 
    [weight] => 1675.97
    [form] => C80H114N20O18S
    [cas] => 728005-83-2
    [pslug] => 728005-83-2-5-2-s-2-s-1-4-4-dimethylamino-phenyl-diazenyl-benzoyl-l-threonyl-l-prolyl-l-leucyl-l-lysyl-l-seryl-l-prolyl-l-prolyl-l-prolyl-l-seryl-pyrrolidine-2-carboxamido-5-guanidinopentanamido-ethyl-amino-naphthalene-1-sulfonic-acid-papep004223
    [latest_product] => 0
    [linkproducts] => 0
    [offers_id] => 
    [offers_name] => 
    [offers_status] => 
    [offers_start_date] => 
    [offers_end_date] => 
    [pageview] => 
    [offers_slug] => 
    [offers_product_id] => 
    [offers_product_code] => 
    [offers_master_id] => 
    [offer_percentage] => 
    [offers_product_main_cat] => 
)
PA PEP 004223
PA PEP 004223

5-((2-((S)-2-((S)-1-((4-((4-(Dimethylamino)phenyl)diazenyl)benzoyl)-L-threonyl-L-prolyl-L-leucyl-L-lysyl-L-seryl-L-prolyl-L-prolyl-L-prolyl-L-seryl)pyrrolidine-2-carboxamido)-5-guanidinopentanamido)ethyl)amino)naphthalene-1-sulfonic Acid


  • Catalogue No.:PA PEP 004223

  • CAS :

    728005-83-2

  • Molecular Formula : C80H114N20O18S

  • Molecular Weight : 1675.97

stdClass Object
(
    [pname] => (3S,6S)-3-Benzyl-6-isobutylpiperazine-2,5-dione
    [catalogue_number] => PA PEP 004224
    [category_ids] => ,114,
    [chemical_name] => 
    [weight] => 260.34
    [form] => C15H20N2O2
    [cas] => 7280-77-5
    [pslug] => 7280-77-5-3s-6s-3-benzyl-6-isobutylpiperazine-2-5-dione-papep004224
    [latest_product] => 0
    [linkproducts] => 0
    [offers_id] => 
    [offers_name] => 
    [offers_status] => 
    [offers_start_date] => 
    [offers_end_date] => 
    [pageview] => 
    [offers_slug] => 
    [offers_product_id] => 
    [offers_product_code] => 
    [offers_master_id] => 
    [offer_percentage] => 
    [offers_product_main_cat] => 
)
PA PEP 004224
PA PEP 004224

(3S,6S)-3-Benzyl-6-isobutylpiperazine-2,5-dione


  • Catalogue No.:PA PEP 004224

  • CAS :

    7280-77-5

  • Molecular Formula : C15H20N2O2

  • Molecular Weight : 260.34

stdClass Object
(
    [pname] => L-Tyrosylglycylglycyl-L-phenylalanyl-L-leucyl-L-arginyl-L-arginyl-L-isoleucyl-L-arginyl-L-prolyl-L-lysyl-L-leucyl-L-lysine
    [catalogue_number] => PA PEP 004225
    [category_ids] => ,114,
    [chemical_name] => 
    [weight] => 1603.99
    [form] => C75H126N24O15
    [cas] => 72957-38-1
    [pslug] => 72957-38-1-l-tyrosylglycylglycyl-l-phenylalanyl-l-leucyl-l-arginyl-l-arginyl-l-isoleucyl-l-arginyl-l-prolyl-l-lysyl-l-leucyl-l-lysine-papep004225
    [latest_product] => 0
    [linkproducts] => 0
    [offers_id] => 
    [offers_name] => 
    [offers_status] => 
    [offers_start_date] => 
    [offers_end_date] => 
    [pageview] => 
    [offers_slug] => 
    [offers_product_id] => 
    [offers_product_code] => 
    [offers_master_id] => 
    [offer_percentage] => 
    [offers_product_main_cat] => 
)
PA PEP 004225
PA PEP 004225

L-Tyrosylglycylglycyl-L-phenylalanyl-L-leucyl-L-arginyl-L-arginyl-L-isoleucyl-L-arginyl-L-prolyl-L-lysyl-L-leucyl-L-lysine


  • Catalogue No.:PA PEP 004225

  • CAS :

    72957-38-1

  • Molecular Formula : C75H126N24O15

  • Molecular Weight : 1603.99

stdClass Object
(
    [pname] => N-((4S,7S,10S,16S,19S)-1-Amino-16-((S)-sec-butyl)-4-carbamoyl-10-(3-guanidinopropyl)-7-isobutyl-21-methyl-6,9,12,15,18-pentaoxo-5,8,11,14,17-pentaazadocosan-19-yl)furan-2-carboxamide
    [catalogue_number] => PA PEP 004226
    [category_ids] => ,114,
    [chemical_name] => 
    [weight] => 777.97
    [form] => C36H63N11O8
    [cas] => 729589-58-6
    [pslug] => 729589-58-6-n-4s-7s-10s-16s-19s-1-amino-16-s-sec-butyl-4-carbamoyl-10-3-guanidinopropyl-7-isobutyl-21-methyl-6-9-12-15-18-pentaoxo-5-8-11-14-17-pentaazadocosan-19-yl-furan-2-carboxamide-papep004226
    [latest_product] => 0
    [linkproducts] => 0
    [offers_id] => 
    [offers_name] => 
    [offers_status] => 
    [offers_start_date] => 
    [offers_end_date] => 
    [pageview] => 
    [offers_slug] => 
    [offers_product_id] => 
    [offers_product_code] => 
    [offers_master_id] => 
    [offer_percentage] => 
    [offers_product_main_cat] => 
)
PA PEP 004226
PA PEP 004226

N-((4S,7S,10S,16S,19S)-1-Amino-16-((S)-sec-butyl)-4-carbamoyl-10-(3-guanidinopropyl)-7-isobutyl-21-methyl-6,9,12,15,18-pentaoxo-5,8,11,14,17-pentaazadocosan-19-yl)furan-2-carboxamide


  • Catalogue No.:PA PEP 004226

  • CAS :

    729589-58-6

  • Molecular Formula : C36H63N11O8

  • Molecular Weight : 777.97

stdClass Object
(
    [pname] => (3S,6S)-3,6-Bis((ethylthio)methyl)piperazine-2,5-dione
    [catalogue_number] => PA PEP 004227
    [category_ids] => ,114,
    [chemical_name] => 
    [weight] => 262.39
    [form] => C10H18N2O2S2
    [cas] => 73037-51-1
    [pslug] => 73037-51-1-3s-6s-3-6-bis-ethylthio-methyl-piperazine-2-5-dione-papep004227
    [latest_product] => 0
    [linkproducts] => 0
    [offers_id] => 
    [offers_name] => 
    [offers_status] => 
    [offers_start_date] => 
    [offers_end_date] => 
    [pageview] => 
    [offers_slug] => 
    [offers_product_id] => 
    [offers_product_code] => 
    [offers_master_id] => 
    [offer_percentage] => 
    [offers_product_main_cat] => 
)
PA PEP 004227
PA PEP 004227

(3S,6S)-3,6-Bis((ethylthio)methyl)piperazine-2,5-dione


  • Catalogue No.:PA PEP 004227

  • CAS :

    73037-51-1

  • Molecular Formula : C10H18N2O2S2

  • Molecular Weight : 262.39

stdClass Object
(
    [pname] => Hippuryl-Phe-Arg-OH
    [catalogue_number] => PA PEP 004228
    [category_ids] => ,114,
    [chemical_name] => 
    [weight] => 482.54
    [form] => C24H30N6O5
    [cas] => 73167-83-6
    [pslug] => 73167-83-6-hippuryl-phe-arg-oh-papep004228
    [latest_product] => 0
    [linkproducts] => 0
    [offers_id] => 
    [offers_name] => 
    [offers_status] => 
    [offers_start_date] => 
    [offers_end_date] => 
    [pageview] => 
    [offers_slug] => 
    [offers_product_id] => 
    [offers_product_code] => 
    [offers_master_id] => 
    [offer_percentage] => 
    [offers_product_main_cat] => 
)
PA PEP 004228
PA PEP 004228

Hippuryl-Phe-Arg-OH


  • Catalogue No.:PA PEP 004228

  • CAS :

    73167-83-6

  • Molecular Formula : C24H30N6O5

  • Molecular Weight : 482.54

stdClass Object
(
    [pname] => 4-(((S)-1-(((S)-1-(((S)-6-Amino-1-((4-methyl-2-oxo-2H-chromen-7-yl)amino)-1-oxohexan-2-yl)amino)-1-oxo-3-phenylpropan-2-yl)amino)-1-oxopropan-2-yl)amino)-4-oxobutanoic Acid
    [catalogue_number] => PA PEP 004230
    [category_ids] => ,114,
    [chemical_name] => 
    [weight] => 621.69
    [form] => C32H39N5O8
    [cas] => 73207-91-7
    [pslug] => 73207-91-7-4-s-1-s-1-s-6-amino-1-4-methyl-2-oxo-2h-chromen-7-yl-amino-1-oxohexan-2-yl-amino-1-oxo-3-phenylpropan-2-yl-amino-1-oxopropan-2-yl-amino-4-oxobutanoic-acid-papep004230
    [latest_product] => 0
    [linkproducts] => 0
    [offers_id] => 
    [offers_name] => 
    [offers_status] => 
    [offers_start_date] => 
    [offers_end_date] => 
    [pageview] => 
    [offers_slug] => 
    [offers_product_id] => 
    [offers_product_code] => 
    [offers_master_id] => 
    [offer_percentage] => 
    [offers_product_main_cat] => 
)
PA PEP 004230
PA PEP 004230

4-(((S)-1-(((S)-1-(((S)-6-Amino-1-((4-methyl-2-oxo-2H-chromen-7-yl)amino)-1-oxohexan-2-yl)amino)-1-oxo-3-phenylpropan-2-yl)amino)-1-oxopropan-2-yl)amino)-4-oxobutanoic Acid


  • Catalogue No.:PA PEP 004230

  • CAS :

    73207-91-7

  • Molecular Formula : C32H39N5O8

  • Molecular Weight : 621.69

stdClass Object
(
    [pname] => Lariatin A
    [catalogue_number] => PA PEP 004265
    [category_ids] => ,114,
    [chemical_name] => 
    [weight] => 2051.34
    [form] => C94H143N27O25
    [cas] => 732286-09-8
    [pslug] => 732286-09-8-lariatin-a-papep004265
    [latest_product] => 0
    [linkproducts] => 0
    [offers_id] => 
    [offers_name] => 
    [offers_status] => 
    [offers_start_date] => 
    [offers_end_date] => 
    [pageview] => 
    [offers_slug] => 
    [offers_product_id] => 
    [offers_product_code] => 
    [offers_master_id] => 
    [offer_percentage] => 
    [offers_product_main_cat] => 
)
PA PEP 004265
PA PEP 004265

Lariatin A


  • Catalogue No.:PA PEP 004265

  • CAS :

    732286-09-8

  • Molecular Formula : C94H143N27O25

  • Molecular Weight : 2051.34

stdClass Object
(
    [pname] => N-Acetyl-L-isoleucylglycyl-L-lysyl-L-α-glutamyl-L-phenylalanyl-L-lysyl-L-arginyl-L-isoleucyl-L-valyl-L-α-glutamyl-L-arginyl-L-isoleucyl-L-lysyl-L-arginyl-L-phenylalanyl-L-leucyl-L-arginyl-L-α-glutamyl-L-leucyl-L-valyl-L-arginyl-L-prolyl-L-leucyl-L-argininamide
    [catalogue_number] => PA PEP 004266
    [category_ids] => ,114,
    [chemical_name] => 
    [weight] => 3093.82
    [form] => C142H246N46O31
    [cas] => 732984-81-5
    [pslug] => 732984-81-5-n-acetyl-l-isoleucylglycyl-l-lysyl-l-alpha-glutamyl-l-phenylalanyl-l-lysyl-l-arginyl-l-isoleucyl-l-valyl-l-alpha-glutamyl-l-arginyl-l-isoleucyl-l-lysyl-l-arginyl-l-phenylalanyl-l-leucyl-l-arginyl-l-alpha-glutamyl-l-leucyl-l-valyl-l-arginyl-l-prolyl-l-leucyl-l-argininamide-papep004266
    [latest_product] => 0
    [linkproducts] => 0
    [offers_id] => 
    [offers_name] => 
    [offers_status] => 
    [offers_start_date] => 
    [offers_end_date] => 
    [pageview] => 
    [offers_slug] => 
    [offers_product_id] => 
    [offers_product_code] => 
    [offers_master_id] => 
    [offer_percentage] => 
    [offers_product_main_cat] => 
)
PA PEP 004266
PA PEP 004266

N-Acetyl-L-isoleucylglycyl-L-lysyl-L-α-glutamyl-L-phenylalanyl-L-lysyl-L-arginyl-L-isoleucyl-L-valyl-L-α-glutamyl-L-arginyl-L-isoleucyl-L-lysyl-L-arginyl-L-phenylalanyl-L-leucyl-L-arginyl-L-α-glutamyl-L-leucyl-L-valyl-L-arginyl-L-prolyl-L-leucyl-L-argininamide


  • Catalogue No.:PA PEP 004266

  • CAS :

    732984-81-5

  • Molecular Formula : C142H246N46O31

  • Molecular Weight : 3093.82

stdClass Object
(
    [pname] => Tos-Gly-Pro-Lys-pNA
    [catalogue_number] => PA PEP 004267
    [category_ids] => ,114,
    [chemical_name] => 
    [weight] => 574.65
    [form] => C26H34N6O7S
    [cas] => 73392-19-5
    [pslug] => 73392-19-5-tos-gly-pro-lys-ppapep004267
    [latest_product] => 0
    [linkproducts] => 0
    [offers_id] => 
    [offers_name] => 
    [offers_status] => 
    [offers_start_date] => 
    [offers_end_date] => 
    [pageview] => 
    [offers_slug] => 
    [offers_product_id] => 
    [offers_product_code] => 
    [offers_master_id] => 
    [offer_percentage] => 
    [offers_product_main_cat] => 
)
PA PEP 004267
PA PEP 004267

Tos-Gly-Pro-Lys-pNA


  • Catalogue No.:PA PEP 004267

  • CAS :

    73392-19-5

  • Molecular Formula : C26H34N6O7S

  • Molecular Weight : 574.65

stdClass Object
(
    [pname] => (S)-2-((S)-2-(2-((R)-2-((S)-2-Amino-3-(4-hydroxyphenyl)propanamido)-3-(1H-indol-3-yl)propanamido)acetamido)-3-phenylpropanamido)-4-(methylthio)butanamide
    [catalogue_number] => PA PEP 004268
    [category_ids] => ,114,
    [chemical_name] => 
    [weight] => 701.84
    [form] => C36H43N7O6S
    [cas] => 73459-29-7
    [pslug] => 73459-29-7-s-2-s-2-2-r-2-s-2-amino-3-4-hydroxyphenyl-propanamido-3-1h-indol-3-yl-propanamido-acetamido-3-phenylpropanamido-4-methylthio-butanamide-papep004268
    [latest_product] => 0
    [linkproducts] => 0
    [offers_id] => 
    [offers_name] => 
    [offers_status] => 
    [offers_start_date] => 
    [offers_end_date] => 
    [pageview] => 
    [offers_slug] => 
    [offers_product_id] => 
    [offers_product_code] => 
    [offers_master_id] => 
    [offer_percentage] => 
    [offers_product_main_cat] => 
)
PA PEP 004268
PA PEP 004268

(S)-2-((S)-2-(2-((R)-2-((S)-2-Amino-3-(4-hydroxyphenyl)propanamido)-3-(1H-indol-3-yl)propanamido)acetamido)-3-phenylpropanamido)-4-(methylthio)butanamide


  • Catalogue No.:PA PEP 004268

  • CAS :

    73459-29-7

  • Molecular Formula : C36H43N7O6S

  • Molecular Weight : 701.84

stdClass Object
(
    [pname] => L-Aspartamide, L-histidyl-L-seryl-L-α-aspartyl-L-alanyl-L-valyl-L-phenylalanyl-L-threonyl-L-α-aspartyl-L-asparaginyl-L-tyrosyl-L-threonyl-L-arginyl-L-leucyl-L-arginyl-L-arginyl-L-glutaminyl-L-leucyl-L-alanyl-L-valyl-L-arginyl-L-arginyl-L-tyrosyl-L-leucyl-L-asparaginyl-L-seryl-L-isoleucyl-L-leucyl
    [catalogue_number] => PA PEP 004269
    [category_ids] => ,114,
    [chemical_name] => 
    [weight] => 3391.86
    [form] => C148H240N50O42
    [cas] => 735327-71-6
    [pslug] => 735327-71-6-l-aspartamide- l-histidyl-l-seryl-l-alpha-aspartyl-l-alanyl-l-valyl-l-phenylalanyl-l-threonyl-l-alpha-aspartyl-l-asparaginyl-l-tyrosyl-l-threonyl-l-arginyl-l-leucyl-l-arginyl-l-arginyl-l-glutaminyl-l-leucyl-l-alanyl-l-valyl-l-arginyl-l-arginyl-l-tyrosyl-l-leucyl-l-asparaginyl-l-seryl-l-isoleucyl-l-leucyl-papep004269
    [latest_product] => 0
    [linkproducts] => 0
    [offers_id] => 
    [offers_name] => 
    [offers_status] => 
    [offers_start_date] => 
    [offers_end_date] => 
    [pageview] => 
    [offers_slug] => 
    [offers_product_id] => 
    [offers_product_code] => 
    [offers_master_id] => 
    [offer_percentage] => 
    [offers_product_main_cat] => 
)
PA PEP 004269
PA PEP 004269

L-Aspartamide, L-histidyl-L-seryl-L-α-aspartyl-L-alanyl-L-valyl-L-phenylalanyl-L-threonyl-L-α-aspartyl-L-asparaginyl-L-tyrosyl-L-threonyl-L-arginyl-L-leucyl-L-arginyl-L-arginyl-L-glutaminyl-L-leucyl-L-alanyl-L-valyl-L-arginyl-L-arginyl-L-tyrosyl-L-leucyl-L-asparaginyl-L-seryl-L-isoleucyl-L-leucyl


  • Catalogue No.:PA PEP 004269

  • CAS :

    735327-71-6

  • Molecular Formula : C148H240N50O42

  • Molecular Weight : 3391.86

stdClass Object
(
    [pname] => tert-Butyl ((S)-1-(((S)-1-(((S)-6-amino-1-((4-methyl-2-oxo-2H-chromen-7-yl)amino)-1-oxohexan-2-yl)amino)-4-methyl-1-oxopentan-2-yl)amino)-3-methyl-1-oxobutan-2-yl)carbamate
    [catalogue_number] => PA PEP 004270
    [category_ids] => ,114,
    [chemical_name] => 
    [weight] => 615.77
    [form] => C32H49N5O7
    [cas] => 73554-84-4
    [pslug] => 73554-84-4-tert-butyl-s-1-s-1-s-6-amino-1-4-methyl-2-oxo-2h-chromen-7-yl-amino-1-oxohexan-2-yl-amino-4-methyl-1-oxopentan-2-yl-amino-3-methyl-1-oxobutan-2-yl-carbamate-papep004270
    [latest_product] => 0
    [linkproducts] => 0
    [offers_id] => 
    [offers_name] => 
    [offers_status] => 
    [offers_start_date] => 
    [offers_end_date] => 
    [pageview] => 
    [offers_slug] => 
    [offers_product_id] => 
    [offers_product_code] => 
    [offers_master_id] => 
    [offer_percentage] => 
    [offers_product_main_cat] => 
)
PA PEP 004270
PA PEP 004270

tert-Butyl ((S)-1-(((S)-1-(((S)-6-amino-1-((4-methyl-2-oxo-2H-chromen-7-yl)amino)-1-oxohexan-2-yl)amino)-4-methyl-1-oxopentan-2-yl)amino)-3-methyl-1-oxobutan-2-yl)carbamate


  • Catalogue No.:PA PEP 004270

  • CAS :

    73554-84-4

  • Molecular Formula : C32H49N5O7

  • Molecular Weight : 615.77

stdClass Object
(
    [pname] => Boc-Glu-Lys-Lys-AMC
    [catalogue_number] => PA PEP 004271
    [category_ids] => ,114,
    [chemical_name] => 
    [weight] => 660.77
    [form] => C32H48N6O9
    [cas] => 73554-85-5
    [pslug] => 73554-85-5-boc-glu-lys-lys-amc-papep004271
    [latest_product] => 0
    [linkproducts] => 0
    [offers_id] => 
    [offers_name] => 
    [offers_status] => 
    [offers_start_date] => 
    [offers_end_date] => 
    [pageview] => 
    [offers_slug] => 
    [offers_product_id] => 
    [offers_product_code] => 
    [offers_master_id] => 
    [offer_percentage] => 
    [offers_product_main_cat] => 
)
PA PEP 004271
PA PEP 004271

Boc-Glu-Lys-Lys-AMC


  • Catalogue No.:PA PEP 004271

  • CAS :

    73554-85-5

  • Molecular Formula : C32H48N6O9

  • Molecular Weight : 660.77

stdClass Object
(
    [pname] => Benzyl (S)-4-((tert-butoxycarbonyl)amino)-5-((2-(((S)-5-guanidino-1-((4-methyl-2-oxo-2H-chromen-7-yl)amino)-1-oxopentan-2-yl)amino)-2-oxoethyl)amino)-5-oxopentanoate
    [catalogue_number] => PA PEP 004272
    [category_ids] => ,114,
    [chemical_name] => 
    [weight] => 707.79
    [form] => C35H45N7O9
    [cas] => 73554-94-6
    [pslug] => 73554-94-6-benzyl-s-4-tert-butoxycarbonyl-amino-5-2-s-5-guanidino-1-4-methyl-2-oxo-2h-chromen-7-yl-amino-1-oxopentan-2-yl-amino-2-oxoethyl-amino-5-oxopentanoate-papep004272
    [latest_product] => 0
    [linkproducts] => 0
    [offers_id] => 
    [offers_name] => 
    [offers_status] => 
    [offers_start_date] => 
    [offers_end_date] => 
    [pageview] => 
    [offers_slug] => 
    [offers_product_id] => 
    [offers_product_code] => 
    [offers_master_id] => 
    [offer_percentage] => 
    [offers_product_main_cat] => 
)
PA PEP 004272
PA PEP 004272

Benzyl (S)-4-((tert-butoxycarbonyl)amino)-5-((2-(((S)-5-guanidino-1-((4-methyl-2-oxo-2H-chromen-7-yl)amino)-1-oxopentan-2-yl)amino)-2-oxoethyl)amino)-5-oxopentanoate


  • Catalogue No.:PA PEP 004272

  • CAS :

    73554-94-6

  • Molecular Formula : C35H45N7O9

  • Molecular Weight : 707.79

stdClass Object
(
    [pname] => [Leu5]-Enkephalin Trifluoroacetate
    [catalogue_number] => PA PEP 004273
    [category_ids] => ,114,
    [chemical_name] => 
    [weight] => 669.66
    [form] => C30H38F3N5O9
    [cas] => 73563-78-7
    [pslug] => 73563-78-7-leu5-enkephalin-trifluoroacetate-papep004273
    [latest_product] => 0
    [linkproducts] => 1
    [offers_id] => 
    [offers_name] => 
    [offers_status] => 
    [offers_start_date] => 
    [offers_end_date] => 
    [pageview] => 
    [offers_slug] => 
    [offers_product_id] => 
    [offers_product_code] => 
    [offers_master_id] => 
    [offer_percentage] => 
    [offers_product_main_cat] => 
)
PA PEP 004273
PA PEP 004273

[Leu5]-Enkephalin Trifluoroacetate


  • Catalogue No.:PA PEP 004273

  • CAS :

    73563-78-7

  • Molecular Formula : C30H38F3N5O9

  • Molecular Weight : 669.66

stdClass Object
(
    [pname] => (tert-Butoxycarbonyl)-L-phenylalanyl-L-leucyl-L-phenylalanyl-L-leucyl-L-phenylalanine
    [catalogue_number] => PA PEP 004274
    [category_ids] => ,114,
    [chemical_name] => 
    [weight] => 785.98
    [form] => C44H59N5O8
    [cas] => 73572-58-4
    [pslug] => 73572-58-4-tert-butoxycarbonyl-l-phenylalanyl-l-leucyl-l-phenylalanyl-l-leucyl-l-phenylalanine-papep004274
    [latest_product] => 0
    [linkproducts] => 0
    [offers_id] => 
    [offers_name] => 
    [offers_status] => 
    [offers_start_date] => 
    [offers_end_date] => 
    [pageview] => 
    [offers_slug] => 
    [offers_product_id] => 
    [offers_product_code] => 
    [offers_master_id] => 
    [offer_percentage] => 
    [offers_product_main_cat] => 
)
PA PEP 004274
PA PEP 004274

(tert-Butoxycarbonyl)-L-phenylalanyl-L-leucyl-L-phenylalanyl-L-leucyl-L-phenylalanine


  • Catalogue No.:PA PEP 004274

  • CAS :

    73572-58-4

  • Molecular Formula : C44H59N5O8

  • Molecular Weight : 785.98

stdClass Object
(
    [pname] => Glycyl-L-prolyl-L-threonyl-L-isoleucyl-L-glutamyl-L-glutamyl-L-valyl-L-aspartic Acid
    [catalogue_number] => PA PEP 004275
    [category_ids] => ,114,
    [chemical_name] => 
    [weight] => 858.9
    [form] => C36H58N8O16
    [cas] => 736171-62-3
    [pslug] => 736171-62-3-glycyl-l-prolyl-l-threonyl-l-isoleucyl-l-glutamyl-l-glutamyl-l-valyl-l-aspartic-acid-papep004275
    [latest_product] => 0
    [linkproducts] => 0
    [offers_id] => 
    [offers_name] => 
    [offers_status] => 
    [offers_start_date] => 
    [offers_end_date] => 
    [pageview] => 
    [offers_slug] => 
    [offers_product_id] => 
    [offers_product_code] => 
    [offers_master_id] => 
    [offer_percentage] => 
    [offers_product_main_cat] => 
)
PA PEP 004275
PA PEP 004275

Glycyl-L-prolyl-L-threonyl-L-isoleucyl-L-glutamyl-L-glutamyl-L-valyl-L-aspartic Acid


  • Catalogue No.:PA PEP 004275

  • CAS :

    736171-62-3

  • Molecular Formula : C36H58N8O16

  • Molecular Weight : 858.9

stdClass Object
(
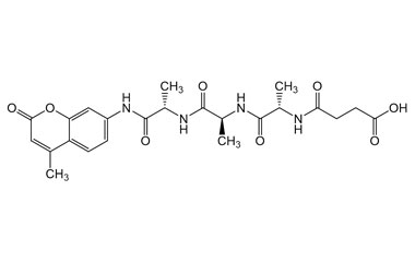
    [pname] => 4-(((S)-1-(((S)-1-(((S)-1-((4-Methyl-2-oxo-2H-chromen-7-yl)amino)-1-oxopropan-2-yl)amino)-1-oxopropan-2-yl)amino)-1-oxopropan-2-yl)amino)-4-oxobutanoic Acid
    [catalogue_number] => PA PEP 004276
    [category_ids] => ,114,
    [chemical_name] => 
    [weight] => 488.5
    [form] => C23H28N4O8
    [cas] => 73617-90-0
    [pslug] => 73617-90-0-4-s-1-s-1-s-1-4-methyl-2-oxo-2h-chromen-7-yl-amino-1-oxopropan-2-yl-amino-1-oxopropan-2-yl-amino-1-oxopropan-2-yl-amino-4-oxobutanoic-acid-papep004276
    [latest_product] => 0
    [linkproducts] => 0
    [offers_id] => 
    [offers_name] => 
    [offers_status] => 
    [offers_start_date] => 
    [offers_end_date] => 
    [pageview] => 
    [offers_slug] => 
    [offers_product_id] => 
    [offers_product_code] => 
    [offers_master_id] => 
    [offer_percentage] => 
    [offers_product_main_cat] => 
)
PA PEP 004276
PA PEP 004276

4-(((S)-1-(((S)-1-(((S)-1-((4-Methyl-2-oxo-2H-chromen-7-yl)amino)-1-oxopropan-2-yl)amino)-1-oxopropan-2-yl)amino)-1-oxopropan-2-yl)amino)-4-oxobutanoic Acid


  • Catalogue No.:PA PEP 004276

  • CAS :

    73617-90-0

  • Molecular Formula : C23H28N4O8

  • Molecular Weight : 488.5

stdClass Object
(
    [pname] => [D-Trp11]-Neurotensin
    [catalogue_number] => PA PEP 004278
    [category_ids] => ,114,
    [chemical_name] => 
    [weight] => 1695.99
    [form] => C80H122N22O19
    [cas] => 73634-68-1
    [pslug] => 73634-68-1-d-trp11-neurotensin-papep004278
    [latest_product] => 0
    [linkproducts] => 0
    [offers_id] => 
    [offers_name] => 
    [offers_status] => 
    [offers_start_date] => 
    [offers_end_date] => 
    [pageview] => 
    [offers_slug] => 
    [offers_product_id] => 
    [offers_product_code] => 
    [offers_master_id] => 
    [offer_percentage] => 
    [offers_product_main_cat] => 
)
PA PEP 004278
PA PEP 004278

[D-Trp11]-Neurotensin


  • Catalogue No.:PA PEP 004278

  • CAS :

    73634-68-1

  • Molecular Formula : C80H122N22O19

  • Molecular Weight : 1695.99

stdClass Object
(
    [pname] => (S)-N-((S)-3-(1H-Imidazol-4-yl)-1-((S)-2-(naphthalen-2-ylcarbamoyl)pyrrolidin-1-yl)-1-oxopropan-2-yl)-5-oxopyrrolidine-2-carboxamide
    [catalogue_number] => PA PEP 004280
    [category_ids] => ,114,
    [chemical_name] => 
    [weight] => 488.55
    [form] => C26H28N6O4
    [cas] => 73644-58-3
    [pslug] => 73644-58-3-s-n-s-3-1h-imidazol-4-yl-1-s-2-naphthalen-2-ylcarbamoyl-pyrrolidin-1-yl-1-oxopropan-2-yl-5-oxopyrrolidine-2-carboxamide-papep004280
    [latest_product] => 0
    [linkproducts] => 0
    [offers_id] => 
    [offers_name] => 
    [offers_status] => 
    [offers_start_date] => 
    [offers_end_date] => 
    [pageview] => 
    [offers_slug] => 
    [offers_product_id] => 
    [offers_product_code] => 
    [offers_master_id] => 
    [offer_percentage] => 
    [offers_product_main_cat] => 
)
PA PEP 004280
PA PEP 004280

(S)-N-((S)-3-(1H-Imidazol-4-yl)-1-((S)-2-(naphthalen-2-ylcarbamoyl)pyrrolidin-1-yl)-1-oxopropan-2-yl)-5-oxopyrrolidine-2-carboxamide


  • Catalogue No.:PA PEP 004280

  • CAS :

    73644-58-3

  • Molecular Formula : C26H28N6O4

  • Molecular Weight : 488.55

stdClass Object
(
    [pname] => Elamipretide
    [catalogue_number] => PA PEP 004281
    [category_ids] => ,114,
    [chemical_name] => 
    [weight] => 639.8
    [form] => C32H49N9O5
    [cas] => 736992-21-5
    [pslug] => 736992-21-5-elamipretide-papep004281
    [latest_product] => 0
    [linkproducts] => 0
    [offers_id] => 
    [offers_name] => 
    [offers_status] => 
    [offers_start_date] => 
    [offers_end_date] => 
    [pageview] => 
    [offers_slug] => 
    [offers_product_id] => 
    [offers_product_code] => 
    [offers_master_id] => 
    [offer_percentage] => 
    [offers_product_main_cat] => 
)
PA PEP 004281
PA PEP 004281

Elamipretide


  • Catalogue No.:PA PEP 004281

  • CAS :

    736992-21-5

  • Molecular Formula : C32H49N9O5

  • Molecular Weight : 639.8

stdClass Object
(
    [pname] => (2S,2'S)-2,2'-(((2R,2'R)-3,3'-Isulfanediylbis(2-aminopropanoyl))bis(azanediyl))bis(3-(4-hydroxyphenyl)propanoic Acid)
    [catalogue_number] => PA PEP 004282
    [category_ids] => ,114,
    [chemical_name] => 
    [weight] => 566.64
    [form] => C24H30N4O8S2
    [cas] => 7369-94-0
    [pslug] => 7369-94-0-2s-2s-2-2-2r-2r-3-3-isulfanediylbis-2-aminopropanoyl-bis-azanediyl-bis-3-4-hydroxyphenyl-propanoic-acid-papep004282
    [latest_product] => 0
    [linkproducts] => 0
    [offers_id] => 
    [offers_name] => 
    [offers_status] => 
    [offers_start_date] => 
    [offers_end_date] => 
    [pageview] => 
    [offers_slug] => 
    [offers_product_id] => 
    [offers_product_code] => 
    [offers_master_id] => 
    [offer_percentage] => 
    [offers_product_main_cat] => 
)
PA PEP 004282
PA PEP 004282

(2S,2'S)-2,2'-(((2R,2'R)-3,3'-Isulfanediylbis(2-aminopropanoyl))bis(azanediyl))bis(3-(4-hydroxyphenyl)propanoic Acid)


  • Catalogue No.:PA PEP 004282

  • CAS :

    7369-94-0

  • Molecular Formula : C24H30N4O8S2

  • Molecular Weight : 566.64

stdClass Object
(
    [pname] => (2S,5S,8S,11S,14S,17S)-11,14-Bis(2-carboxyethyl)-17-(2-((S)-2,6-diaminohexanamido)acetamido)-8-(hydroxymethyl)-5-isobutyl-2-methyl-4,7,10,13,16-pentaoxo-3,6,9,12,15-pentaazanonadecanedioic Acid
    [catalogue_number] => PA PEP 004283
    [category_ids] => ,114,
    [chemical_name] => 
    [weight] => 847.88
    [form] => C34H57N9O16
    [cas] => 73984-05-1
    [pslug] => 73984-05-1-2s-5s-8s-11s-14s-17s-11-14-bis-2-carboxyethyl-17-2-s-2-6-diaminohexanamido-acetamido-8-hydroxymethyl-5-isobutyl-2-methyl-4-7-10-13-16-pentaoxo-3-6-9-12-15-pentaazanonadecanedioic-acid-papep004283
    [latest_product] => 0
    [linkproducts] => 0
    [offers_id] => 
    [offers_name] => 
    [offers_status] => 
    [offers_start_date] => 
    [offers_end_date] => 
    [pageview] => 
    [offers_slug] => 
    [offers_product_id] => 
    [offers_product_code] => 
    [offers_master_id] => 
    [offer_percentage] => 
    [offers_product_main_cat] => 
)
PA PEP 004283
PA PEP 004283

(2S,5S,8S,11S,14S,17S)-11,14-Bis(2-carboxyethyl)-17-(2-((S)-2,6-diaminohexanamido)acetamido)-8-(hydroxymethyl)-5-isobutyl-2-methyl-4,7,10,13,16-pentaoxo-3,6,9,12,15-pentaazanonadecanedioic Acid


  • Catalogue No.:PA PEP 004283

  • CAS :

    73984-05-1

  • Molecular Formula : C34H57N9O16

  • Molecular Weight : 847.88

stdClass Object
(
    [pname] => L-Phenylalanyl-L-methionyl-L-arginyl-L-phenylalanine
    [catalogue_number] => PA PEP 004284
    [category_ids] => ,114,
    [chemical_name] => 
    [weight] => 599.75
    [form] => C29H41N7O5S
    [cas] => 74012-06-9
    [pslug] => 74012-06-9-l-phenylalanyl-l-methionyl-l-arginyl-l-phenylalanine-papep004284
    [latest_product] => 0
    [linkproducts] => 0
    [offers_id] => 
    [offers_name] => 
    [offers_status] => 
    [offers_start_date] => 
    [offers_end_date] => 
    [pageview] => 
    [offers_slug] => 
    [offers_product_id] => 
    [offers_product_code] => 
    [offers_master_id] => 
    [offer_percentage] => 
    [offers_product_main_cat] => 
)
PA PEP 004284
PA PEP 004284

L-Phenylalanyl-L-methionyl-L-arginyl-L-phenylalanine


  • Catalogue No.:PA PEP 004284

  • CAS :

    74012-06-9

  • Molecular Formula : C29H41N7O5S

  • Molecular Weight : 599.75

stdClass Object
(
    [pname] => L-Leucyl-L-leucylglycyl-L-aspartyl-L-phenylalanyl-L-phenylalanyl-L-arginyl-L-lysyl-L-seryl-L-lysyl-L-glutamyl-L-lysyl-L-isoleucylglycyl-L-lysyl-L-glutamyl-L-phenylalanyl-L-lysyl-L-arginyl-L-isoleucyl-L-valyl-L-glutaminyl-L-arginyl-L-isoleucyl-L-lysine
    [catalogue_number] => PA PEP 004285
    [category_ids] => ,114,
    [chemical_name] => 
    [weight] => 3064.73
    [form] => C142H239N41O34
    [cas] => 740800-35-5
    [pslug] => 740800-35-5-l-leucyl-l-leucylglycyl-l-aspartyl-l-phenylalanyl-l-phenylalanyl-l-arginyl-l-lysyl-l-seryl-l-lysyl-l-glutamyl-l-lysyl-l-isoleucylglycyl-l-lysyl-l-glutamyl-l-phenylalanyl-l-lysyl-l-arginyl-l-isoleucyl-l-valyl-l-glutaminyl-l-arginyl-l-isoleucyl-l-lysine-papep004285
    [latest_product] => 0
    [linkproducts] => 0
    [offers_id] => 
    [offers_name] => 
    [offers_status] => 
    [offers_start_date] => 
    [offers_end_date] => 
    [pageview] => 
    [offers_slug] => 
    [offers_product_id] => 
    [offers_product_code] => 
    [offers_master_id] => 
    [offer_percentage] => 
    [offers_product_main_cat] => 
)
PA PEP 004285
PA PEP 004285

L-Leucyl-L-leucylglycyl-L-aspartyl-L-phenylalanyl-L-phenylalanyl-L-arginyl-L-lysyl-L-seryl-L-lysyl-L-glutamyl-L-lysyl-L-isoleucylglycyl-L-lysyl-L-glutamyl-L-phenylalanyl-L-lysyl-L-arginyl-L-isoleucyl-L-valyl-L-glutaminyl-L-arginyl-L-isoleucyl-L-lysine


  • Catalogue No.:PA PEP 004285

  • CAS :

    740800-35-5

  • Molecular Formula : C142H239N41O34

  • Molecular Weight : 3064.73

stdClass Object
(
    [pname] => L-Leucyl-L-leucylglycyl-L-α-aspartyl-L-phenylalanyl-L-phenylalanyl-L-arginyl-L-lysyl-L-seryl-L-lysyl-L-α-glutamyl-L-lysyl-L-isoleucylglycyl-L-lysyl-L-α-glutamyl-L-phenylalanyl-L-lysyl-L-arginyl-L-isoleucyl-L-valine
    [catalogue_number] => PA PEP 004286
    [category_ids] => ,114,
    [chemical_name] => 
    [weight] => 2539.07
    [form] => C119H196N32O29
    [cas] => 740800-39-9
    [pslug] => 740800-39-9-l-leucyl-l-leucylglycyl-l-alpha-aspartyl-l-phenylalanyl-l-phenylalanyl-l-arginyl-l-lysyl-l-seryl-l-lysyl-l-alpha-glutamyl-l-lysyl-l-isoleucylglycyl-l-lysyl-l-alpha-glutamyl-l-phenylalanyl-l-lysyl-l-arginyl-l-isoleucyl-l-valine-papep004286
    [latest_product] => 0
    [linkproducts] => 0
    [offers_id] => 
    [offers_name] => 
    [offers_status] => 
    [offers_start_date] => 
    [offers_end_date] => 
    [pageview] => 
    [offers_slug] => 
    [offers_product_id] => 
    [offers_product_code] => 
    [offers_master_id] => 
    [offer_percentage] => 
    [offers_product_main_cat] => 
)
PA PEP 004286
PA PEP 004286

L-Leucyl-L-leucylglycyl-L-α-aspartyl-L-phenylalanyl-L-phenylalanyl-L-arginyl-L-lysyl-L-seryl-L-lysyl-L-α-glutamyl-L-lysyl-L-isoleucylglycyl-L-lysyl-L-α-glutamyl-L-phenylalanyl-L-lysyl-L-arginyl-L-isoleucyl-L-valine


  • Catalogue No.:PA PEP 004286

  • CAS :

    740800-39-9

  • Molecular Formula : C119H196N32O29

  • Molecular Weight : 2539.07

stdClass Object
(
    [pname] => Glycyl-L-glutamic Acid
    [catalogue_number] => PA PEP 004287
    [category_ids] => ,114,
    [chemical_name] => 
    [weight] => 204.18
    [form] => C7H12N2O5
    [cas] => 7412-78-4
    [pslug] => 7412-78-4-glycyl-l-glutamic-acid-papep004287
    [latest_product] => 0
    [linkproducts] => 0
    [offers_id] => 
    [offers_name] => 
    [offers_status] => 
    [offers_start_date] => 
    [offers_end_date] => 
    [pageview] => 
    [offers_slug] => 
    [offers_product_id] => 
    [offers_product_code] => 
    [offers_master_id] => 
    [offer_percentage] => 
    [offers_product_main_cat] => 
)
PA PEP 004287
PA PEP 004287

Glycyl-L-glutamic Acid


  • Catalogue No.:PA PEP 004287

  • CAS :

    7412-78-4

  • Molecular Formula : C7H12N2O5

  • Molecular Weight : 204.18

stdClass Object
(
    [pname] => Morphiceptin
    [catalogue_number] => PA PEP 004288
    [category_ids] => ,114,
    [chemical_name] => 
    [weight] => 521.62
    [form] => C28H35N5O5
    [cas] => 74135-04-9
    [pslug] => 74135-04-9-morphiceptin-papep004288
    [latest_product] => 0
    [linkproducts] => 0
    [offers_id] => 
    [offers_name] => 
    [offers_status] => 
    [offers_start_date] => 
    [offers_end_date] => 
    [pageview] => 
    [offers_slug] => 
    [offers_product_id] => 
    [offers_product_code] => 
    [offers_master_id] => 
    [offer_percentage] => 
    [offers_product_main_cat] => 
)
PA PEP 004288
PA PEP 004288

Morphiceptin


  • Catalogue No.:PA PEP 004288

  • CAS :

    74135-04-9

  • Molecular Formula : C28H35N5O5

  • Molecular Weight : 521.62

stdClass Object
(
    [pname] => L-Lysine, L-isoleucyl-L-glutaminyl-L-lysyl-L-α-glutamyl-L-isoleucyl-L-α-aspartyl-L-arginyl-L-leucyl-L-asparaginyl-L-α-glutamyl-L-valyl-L-alanyl-L-lysyl-L-asparaginyl-L-leucyl-L-asparaginyl-L-α-glutamyl-L-seryl-L-leucyl-L-isoleucyl-L-α-aspartyl-L-leucyl-L-glutaminyl-L-α-glutamyl-L-leucylglycyl
    [catalogue_number] => PA PEP 004289
    [category_ids] => ,114,
    [chemical_name] => 
    [weight] => 3123.56
    [form] => C135H232N38O46
    [cas] => 742695-60-9
    [pslug] => 742695-60-9-l-lysine- l-isoleucyl-l-glutaminyl-l-lysyl-l-alpha-glutamyl-l-isoleucyl-l-alpha-aspartyl-l-arginyl-l-leucyl-l-asparaginyl-l-alpha-glutamyl-l-valyl-l-alanyl-l-lysyl-l-asparaginyl-l-leucyl-l-asparaginyl-l-alpha-glutamyl-l-seryl-l-leucyl-l-isoleucyl-l-alpha-aspartyl-l-leucyl-l-glutaminyl-l-alpha-glutamyl-l-leucylglycyl-papep004289
    [latest_product] => 0
    [linkproducts] => 0
    [offers_id] => 
    [offers_name] => 
    [offers_status] => 
    [offers_start_date] => 
    [offers_end_date] => 
    [pageview] => 
    [offers_slug] => 
    [offers_product_id] => 
    [offers_product_code] => 
    [offers_master_id] => 
    [offer_percentage] => 
    [offers_product_main_cat] => 
)
PA PEP 004289
PA PEP 004289

L-Lysine, L-isoleucyl-L-glutaminyl-L-lysyl-L-α-glutamyl-L-isoleucyl-L-α-aspartyl-L-arginyl-L-leucyl-L-asparaginyl-L-α-glutamyl-L-valyl-L-alanyl-L-lysyl-L-asparaginyl-L-leucyl-L-asparaginyl-L-α-glutamyl-L-seryl-L-leucyl-L-isoleucyl-L-α-aspartyl-L-leucyl-L-glutaminyl-L-α-glutamyl-L-leucylglycyl


  • Catalogue No.:PA PEP 004289

  • CAS :

    742695-60-9

  • Molecular Formula : C135H232N38O46

  • Molecular Weight : 3123.56

stdClass Object
(
    [pname] => L-Serine, L-lysyl-L-α-glutamyl-L-threonyl-L-alanyl-L-alanyl-L-alanyl-L-lysyl-L-phenylalanyl-L-α-glutamyl-L-arginyl-L-glutaminyl-L-histidyl-L-methionyl-L-α-aspartyl
    [catalogue_number] => PA PEP 004290
    [category_ids] => ,114,
    [chemical_name] => 
    [weight] => 1748.94
    [form] => C73H117N23O25S
    [cas] => 7429-70-1
    [pslug] => 7429-70-1-l-serine- l-lysyl-l-alpha-glutamyl-l-threonyl-l-alanyl-l-alanyl-l-alanyl-l-lysyl-l-phenylalanyl-l-alpha-glutamyl-l-arginyl-l-glutaminyl-l-histidyl-l-methionyl-l-alpha-aspartyl-papep004290
    [latest_product] => 0
    [linkproducts] => 0
    [offers_id] => 
    [offers_name] => 
    [offers_status] => 
    [offers_start_date] => 
    [offers_end_date] => 
    [pageview] => 
    [offers_slug] => 
    [offers_product_id] => 
    [offers_product_code] => 
    [offers_master_id] => 
    [offer_percentage] => 
    [offers_product_main_cat] => 
)
PA PEP 004290
PA PEP 004290

L-Serine, L-lysyl-L-α-glutamyl-L-threonyl-L-alanyl-L-alanyl-L-alanyl-L-lysyl-L-phenylalanyl-L-α-glutamyl-L-arginyl-L-glutaminyl-L-histidyl-L-methionyl-L-α-aspartyl


  • Catalogue No.:PA PEP 004290

  • CAS :

    7429-70-1

  • Molecular Formula : C73H117N23O25S

  • Molecular Weight : 1748.94

stdClass Object
(
    [pname] => N5-((S)-1-Carboxy-2-(4-hydroxyphenyl)ethyl)-L-glutamine
    [catalogue_number] => PA PEP 004291
    [category_ids] => ,114,
    [chemical_name] => 
    [weight] => 310.31
    [form] => C14H18N2O6
    [cas] => 7432-23-7
    [pslug] => 7432-23-7-n5-s-1-carboxy-2-4-hydroxyphenyl-ethyl-l-glutamine-papep004291
    [latest_product] => 0
    [linkproducts] => 0
    [offers_id] => 
    [offers_name] => 
    [offers_status] => 
    [offers_start_date] => 
    [offers_end_date] => 
    [pageview] => 
    [offers_slug] => 
    [offers_product_id] => 
    [offers_product_code] => 
    [offers_master_id] => 
    [offer_percentage] => 
    [offers_product_main_cat] => 
)
PA PEP 004291
PA PEP 004291

N5-((S)-1-Carboxy-2-(4-hydroxyphenyl)ethyl)-L-glutamine


  • Catalogue No.:PA PEP 004291

  • CAS :

    7432-23-7

  • Molecular Formula : C14H18N2O6

  • Molecular Weight : 310.31

stdClass Object
(
    [pname] => Sauvagine
    [catalogue_number] => PA PEP 004292
    [category_ids] => ,114,
    [chemical_name] => 
    [weight] => NA
    [form] => NA
    [cas] => 74434-59-6
    [pslug] => 74434-59-6-sauvagine-papep004292
    [latest_product] => 0
    [linkproducts] => 0
    [offers_id] => 
    [offers_name] => 
    [offers_status] => 
    [offers_start_date] => 
    [offers_end_date] => 
    [pageview] => 
    [offers_slug] => 
    [offers_product_id] => 
    [offers_product_code] => 
    [offers_master_id] => 
    [offer_percentage] => 
    [offers_product_main_cat] => 
)
PA PEP 004292
PA PEP 004292

Sauvagine


  • Catalogue No.:PA PEP 004292

  • CAS :

    74434-59-6

  • Molecular Formula : NA

  • Molecular Weight : NA

stdClass Object
(
    [pname] => Glycylglycyl-L-histidine
    [catalogue_number] => PA PEP 004293
    [category_ids] => ,114,
    [chemical_name] => 
    [weight] => 269.26
    [form] => C10H15N5O4
    [cas] => 7451-76-5
    [pslug] => 7451-76-5-glycylglycyl-l-histidine-papep004293
    [latest_product] => 0
    [linkproducts] => 0
    [offers_id] => 
    [offers_name] => 
    [offers_status] => 
    [offers_start_date] => 
    [offers_end_date] => 
    [pageview] => 
    [offers_slug] => 
    [offers_product_id] => 
    [offers_product_code] => 
    [offers_master_id] => 
    [offer_percentage] => 
    [offers_product_main_cat] => 
)
PA PEP 004293
PA PEP 004293

Glycylglycyl-L-histidine


  • Catalogue No.:PA PEP 004293

  • CAS :

    7451-76-5

  • Molecular Formula : C10H15N5O4

  • Molecular Weight : 269.26

stdClass Object
(
    [pname] => (S)-N-((R)-1-((2-Amino-2-oxoethyl)amino)-5-guanidino-1-oxopentan-2-yl)-1-((4R,7S,10S,13S,16S,19R)-19-amino-7-(2-amino-2-oxoethyl)-13-((S)-sec-butyl)-10-((R)-1-hydroxyethyl)-16-isobutyl-6,9,12,15,18-pentaoxo-1,2-dithia-5,8,11,14,17-pentaazacycloicosane-4-carbonyl)pyrrolidine-2-carboxamide
    [catalogue_number] => PA PEP 004294
    [category_ids] => ,114,
    [chemical_name] => 
    [weight] => 973.18
    [form] => C39H68N14O11S2
    [cas] => 745816-74-4
    [pslug] => 745816-74-4-s-n-r-1-2-amino-2-oxoethyl-amino-5-guanidino-1-oxopentan-2-yl-1-4r-7s-10s-13s-16s-19r-19-amino-7-2-amino-2-oxoethyl-13-s-sec-butyl-10-r-1-hydroxyethyl-16-isobutyl-6-9-12-15-18-pentaoxo-1-2-dithia-5-8-11-14-17-pentaazacycloicosane-4-carbonyl-pyrrolidine-2-carboxamide-papep004294
    [latest_product] => 0
    [linkproducts] => 0
    [offers_id] => 
    [offers_name] => 
    [offers_status] => 
    [offers_start_date] => 
    [offers_end_date] => 
    [pageview] => 
    [offers_slug] => 
    [offers_product_id] => 
    [offers_product_code] => 
    [offers_master_id] => 
    [offer_percentage] => 
    [offers_product_main_cat] => 
)
PA PEP 004294
PA PEP 004294

(S)-N-((R)-1-((2-Amino-2-oxoethyl)amino)-5-guanidino-1-oxopentan-2-yl)-1-((4R,7S,10S,13S,16S,19R)-19-amino-7-(2-amino-2-oxoethyl)-13-((S)-sec-butyl)-10-((R)-1-hydroxyethyl)-16-isobutyl-6,9,12,15,18-pentaoxo-1,2-dithia-5,8,11,14,17-pentaazacycloicosane-4-carbonyl)pyrrolidine-2-carboxamide


  • Catalogue No.:PA PEP 004294

  • CAS :

    745816-74-4

  • Molecular Formula : C39H68N14O11S2

  • Molecular Weight : 973.18

stdClass Object
(
    [pname] => 3-((3S,11aS)-1,4,7-Trioxodecahydro-1H-pyrrolo[1,2-a][1,4,7]triazonin-3-yl)propanoic Acid
    [catalogue_number] => PA PEP 004295
    [category_ids] => ,114,
    [chemical_name] => 
    [weight] => 283.28
    [form] => C12H17N3O5
    [cas] => 748142-26-9
    [pslug] => 748142-26-9-3-3s-11as-1-4-7-trioxodecahydro-1h-pyrrolo-1-2-a-1-4-7-triazonin-3-yl-propanoic-acid-papep004295
    [latest_product] => 0
    [linkproducts] => 0
    [offers_id] => 
    [offers_name] => 
    [offers_status] => 
    [offers_start_date] => 
    [offers_end_date] => 
    [pageview] => 
    [offers_slug] => 
    [offers_product_id] => 
    [offers_product_code] => 
    [offers_master_id] => 
    [offer_percentage] => 
    [offers_product_main_cat] => 
)
PA PEP 004295
PA PEP 004295

3-((3S,11aS)-1,4,7-Trioxodecahydro-1H-pyrrolo[1,2-a][1,4,7]triazonin-3-yl)propanoic Acid


  • Catalogue No.:PA PEP 004295

  • CAS :

    748142-26-9

  • Molecular Formula : C12H17N3O5

  • Molecular Weight : 283.28

stdClass Object
(
    [pname] => Gastrin Releasing Peptide, Porcine
    [catalogue_number] => PA PEP 004296
    [category_ids] => ,114,
    [chemical_name] => 
    [weight] => 2805.33
    [form] => C126H198N38O31S2
    [cas] => 74815-57-9
    [pslug] => 74815-57-9-gastrin-releasing-peptide-porcine-papep004296
    [latest_product] => 0
    [linkproducts] => 0
    [offers_id] => 
    [offers_name] => 
    [offers_status] => 
    [offers_start_date] => 
    [offers_end_date] => 
    [pageview] => 
    [offers_slug] => 
    [offers_product_id] => 
    [offers_product_code] => 
    [offers_master_id] => 
    [offer_percentage] => 
    [offers_product_main_cat] => 
)
PA PEP 004296
PA PEP 004296

Gastrin Releasing Peptide, Porcine


  • Catalogue No.:PA PEP 004296

  • CAS :

    74815-57-9

  • Molecular Formula : C126H198N38O31S2

  • Molecular Weight : 2805.33

stdClass Object
(
    [pname] => Cyclo(Arg-Pro)
    [catalogue_number] => PA PEP 004297
    [category_ids] => ,114,
    [chemical_name] => 
    [weight] => 253.31
    [form] => C11H19N5O2
    [cas] => 74838-83-8
    [pslug] => 74838-83-8-cyclo-arg-pro-papep004297
    [latest_product] => 0
    [linkproducts] => 0
    [offers_id] => 
    [offers_name] => 
    [offers_status] => 
    [offers_start_date] => 
    [offers_end_date] => 
    [pageview] => 
    [offers_slug] => 
    [offers_product_id] => 
    [offers_product_code] => 
    [offers_master_id] => 
    [offer_percentage] => 
    [offers_product_main_cat] => 
)
PA PEP 004297
PA PEP 004297

Cyclo(Arg-Pro)


  • Catalogue No.:PA PEP 004297

  • CAS :

    74838-83-8

  • Molecular Formula : C11H19N5O2

  • Molecular Weight : 253.31

stdClass Object
(
    [pname] => Acetyl-L-arginyl-L-arginyl-L-prolyl-L-tyrosyl-L-isoleucyl-L-leucine
    [catalogue_number] => PA PEP 004298
    [category_ids] => ,114,
    [chemical_name] => 
    [weight] => 859.04
    [form] => C40H66N12O9
    [cas] => 74853-69-3
    [pslug] => 74853-69-3-acetyl-l-arginyl-l-arginyl-l-prolyl-l-tyrosyl-l-isoleucyl-l-leucine-papep004298
    [latest_product] => 0
    [linkproducts] => 0
    [offers_id] => 
    [offers_name] => 
    [offers_status] => 
    [offers_start_date] => 
    [offers_end_date] => 
    [pageview] => 
    [offers_slug] => 
    [offers_product_id] => 
    [offers_product_code] => 
    [offers_master_id] => 
    [offer_percentage] => 
    [offers_product_main_cat] => 
)
PA PEP 004298
PA PEP 004298

Acetyl-L-arginyl-L-arginyl-L-prolyl-L-tyrosyl-L-isoleucyl-L-leucine


  • Catalogue No.:PA PEP 004298

  • CAS :

    74853-69-3

  • Molecular Formula : C40H66N12O9

  • Molecular Weight : 859.04

stdClass Object
(
    [pname] => L-Arginyl-L-tyrosine
    [catalogue_number] => PA PEP 004299
    [category_ids] => ,114,
    [chemical_name] => 
    [weight] => 337.38
    [form] => C15H23N5O4
    [cas] => 74863-12-0
    [pslug] => 74863-12-0-l-arginyl-l-tyrosine-papep004299
    [latest_product] => 0
    [linkproducts] => 0
    [offers_id] => 
    [offers_name] => 
    [offers_status] => 
    [offers_start_date] => 
    [offers_end_date] => 
    [pageview] => 
    [offers_slug] => 
    [offers_product_id] => 
    [offers_product_code] => 
    [offers_master_id] => 
    [offer_percentage] => 
    [offers_product_main_cat] => 
)
PA PEP 004299
PA PEP 004299

L-Arginyl-L-tyrosine


  • Catalogue No.:PA PEP 004299

  • CAS :

    74863-12-0

  • Molecular Formula : C15H23N5O4

  • Molecular Weight : 337.38

stdClass Object
(
    [pname] => Myristoyl tripeptide-1
    [catalogue_number] => PA PEP 004300
    [category_ids] => ,114,
    [chemical_name] => 
    [weight] => 550.75
    [form] => C28H50N6O5
    [cas] => 748816-12-8
    [pslug] => 748816-12-8-myristoyl-tripeptide-1-papep004300
    [latest_product] => 0
    [linkproducts] => 0
    [offers_id] => 
    [offers_name] => 
    [offers_status] => 
    [offers_start_date] => 
    [offers_end_date] => 
    [pageview] => 
    [offers_slug] => 
    [offers_product_id] => 
    [offers_product_code] => 
    [offers_master_id] => 
    [offer_percentage] => 
    [offers_product_main_cat] => 
)
PA PEP 004300
PA PEP 004300

Myristoyl tripeptide-1


  • Catalogue No.:PA PEP 004300

  • CAS :

    748816-12-8

  • Molecular Formula : C28H50N6O5

  • Molecular Weight : 550.75

stdClass Object
(
    [pname] => L-Arginyl-L-isoleucyl-L-leucyl-L-leucyl-L-lysyl-L-lysyl-L-methionyl-L-prolyl-L-seryl-L-valine
    [catalogue_number] => PA PEP 004301
    [category_ids] => ,114,
    [chemical_name] => 
    [weight] => 1184.56
    [form] => C54H101N15O12S
    [cas] => 749227-53-0
    [pslug] => 749227-53-0-l-arginyl-l-isoleucyl-l-leucyl-l-leucyl-l-lysyl-l-lysyl-l-methionyl-l-prolyl-l-seryl-l-valine-papep004301
    [latest_product] => 0
    [linkproducts] => 0
    [offers_id] => 
    [offers_name] => 
    [offers_status] => 
    [offers_start_date] => 
    [offers_end_date] => 
    [pageview] => 
    [offers_slug] => 
    [offers_product_id] => 
    [offers_product_code] => 
    [offers_master_id] => 
    [offer_percentage] => 
    [offers_product_main_cat] => 
)
PA PEP 004301
PA PEP 004301

L-Arginyl-L-isoleucyl-L-leucyl-L-leucyl-L-lysyl-L-lysyl-L-methionyl-L-prolyl-L-seryl-L-valine


  • Catalogue No.:PA PEP 004301

  • CAS :

    749227-53-0

  • Molecular Formula : C54H101N15O12S

  • Molecular Weight : 1184.56

stdClass Object
(
    [pname] => Acetyl-L-alanyl-L-methionyl-L-valyl-L-seryl-L-serine
    [catalogue_number] => PA PEP 004302
    [category_ids] => ,114,
    [chemical_name] => 
    [weight] => 535.61
    [form] => C21H37N5O9S
    [cas] => 749252-78-6
    [pslug] => 749252-78-6-acetyl-l-alanyl-l-methionyl-l-valyl-l-seryl-l-serine-papep004302
    [latest_product] => 0
    [linkproducts] => 0
    [offers_id] => 
    [offers_name] => 
    [offers_status] => 
    [offers_start_date] => 
    [offers_end_date] => 
    [pageview] => 
    [offers_slug] => 
    [offers_product_id] => 
    [offers_product_code] => 
    [offers_master_id] => 
    [offer_percentage] => 
    [offers_product_main_cat] => 
)
PA PEP 004302
PA PEP 004302

Acetyl-L-alanyl-L-methionyl-L-valyl-L-seryl-L-serine


  • Catalogue No.:PA PEP 004302

  • CAS :

    749252-78-6

  • Molecular Formula : C21H37N5O9S

  • Molecular Weight : 535.61

stdClass Object
(
    [pname] => Acetyl-L-alanyl-L-methionyl-L-valylglycyl-L-threonine
    [catalogue_number] => PA PEP 004303
    [category_ids] => ,114,
    [chemical_name] => 
    [weight] => 519.61
    [form] => C21H37N5O8S
    [cas] => 749252-79-7
    [pslug] => 749252-79-7-acetyl-l-alanyl-l-methionyl-l-valylglycyl-l-threonine-papep004303
    [latest_product] => 0
    [linkproducts] => 0
    [offers_id] => 
    [offers_name] => 
    [offers_status] => 
    [offers_start_date] => 
    [offers_end_date] => 
    [pageview] => 
    [offers_slug] => 
    [offers_product_id] => 
    [offers_product_code] => 
    [offers_master_id] => 
    [offer_percentage] => 
    [offers_product_main_cat] => 
)
PA PEP 004303
PA PEP 004303

Acetyl-L-alanyl-L-methionyl-L-valylglycyl-L-threonine


  • Catalogue No.:PA PEP 004303

  • CAS :

    749252-79-7

  • Molecular Formula : C21H37N5O8S

  • Molecular Weight : 519.61

stdClass Object
(
    [pname] => (S)-1-(L-Alanyl-L-phenylalanyl)-N-(naphthalen-2-yl)pyrrolidine-2-carboxamide
    [catalogue_number] => PA PEP 004304
    [category_ids] => ,114,
    [chemical_name] => 
    [weight] => 458.56
    [form] => C27H30N4O3
    [cas] => 749831-27-4
    [pslug] => 749831-27-4-s-1-l-alanyl-l-phenylalanyl-n-naphthalen-2-yl-pyrrolidine-2-carboxamide-papep004304
    [latest_product] => 0
    [linkproducts] => 0
    [offers_id] => 
    [offers_name] => 
    [offers_status] => 
    [offers_start_date] => 
    [offers_end_date] => 
    [pageview] => 
    [offers_slug] => 
    [offers_product_id] => 
    [offers_product_code] => 
    [offers_master_id] => 
    [offer_percentage] => 
    [offers_product_main_cat] => 
)
PA PEP 004304
PA PEP 004304

(S)-1-(L-Alanyl-L-phenylalanyl)-N-(naphthalen-2-yl)pyrrolidine-2-carboxamide


  • Catalogue No.:PA PEP 004304

  • CAS :

    749831-27-4

  • Molecular Formula : C27H30N4O3

  • Molecular Weight : 458.56

stdClass Object
(
    [pname] => (S)-2-(3-((S)-2-(2-Acetamidoacetamido)-3-(4-hydroxyphenyl)propanamido)propanamido)-N-((6S,9S,12S,15S,18S,21S,24S,27S,30S,33S)-1,38-diamino-15,18,21,24,27,30-hexakis(3-guanidinopropyl)-6-(hydroxycarbamoyl)-1,38-diimino-9-isobutyl-12-isopropyl-8,11,14,17,20,23,26,29,32-nonaoxo-2,7,10,13,16,19,22,25,28,31,37-undecaazaoctatriacontan-33-yl)-5-guanidinopentanamide
    [catalogue_number] => PA PEP 004305
    [category_ids] => ,114,
    [chemical_name] => 
    [weight] => 1984.37
    [form] => C81H150N42O17
    [cas] => 749879-64-9
    [pslug] => 749879-64-9-s-2-3-s-2-2-acetamidoacetamido-3-4-hydroxyphenyl-propanamido-propanamido-n-6s-9s-12s-15s-18s-21s-24s-27s-30s-33s-1-38-diamino-15-18-21-24-27-30-hexakis-3-guanidinopropyl-6-hydroxycarbamoyl-1-38-diimino-9-isobutyl-12-isopropyl-8-11-14-17-20-23-26-29-32-nonaoxo-2-7-10-13-16-19-22-25-28-31-37-undecaazaoctatriacontan-33-yl-5-guanidinopentanamide-papep004305
    [latest_product] => 0
    [linkproducts] => 0
    [offers_id] => 
    [offers_name] => 
    [offers_status] => 
    [offers_start_date] => 
    [offers_end_date] => 
    [pageview] => 
    [offers_slug] => 
    [offers_product_id] => 
    [offers_product_code] => 
    [offers_master_id] => 
    [offer_percentage] => 
    [offers_product_main_cat] => 
)
PA PEP 004305
PA PEP 004305

(S)-2-(3-((S)-2-(2-Acetamidoacetamido)-3-(4-hydroxyphenyl)propanamido)propanamido)-N-((6S,9S,12S,15S,18S,21S,24S,27S,30S,33S)-1,38-diamino-15,18,21,24,27,30-hexakis(3-guanidinopropyl)-6-(hydroxycarbamoyl)-1,38-diimino-9-isobutyl-12-isopropyl-8,11,14,17,20,23,26,29,32-nonaoxo-2,7,10,13,16,19,22,25,28,31,37-undecaazaoctatriacontan-33-yl)-5-guanidinopentanamide


  • Catalogue No.:PA PEP 004305

  • CAS :

    749879-64-9

  • Molecular Formula : C81H150N42O17

  • Molecular Weight : 1984.37

stdClass Object
(
    [pname] => [D-Trp8,Tyr11] Somatostatin
    [catalogue_number] => PA PEP 004306
    [category_ids] => ,114,
    [chemical_name] => 
    [weight] => 1653.89
    [form] => C76H104N18O20S2
    [cas] => 75176-06-6
    [pslug] => 75176-06-6-d-trp8-tyr11-somatostatin-papep004306
    [latest_product] => 0
    [linkproducts] => 0
    [offers_id] => 
    [offers_name] => 
    [offers_status] => 
    [offers_start_date] => 
    [offers_end_date] => 
    [pageview] => 
    [offers_slug] => 
    [offers_product_id] => 
    [offers_product_code] => 
    [offers_master_id] => 
    [offer_percentage] => 
    [offers_product_main_cat] => 
)
PA PEP 004306
PA PEP 004306

[D-Trp8,Tyr11] Somatostatin


  • Catalogue No.:PA PEP 004306

  • CAS :

    75176-06-6

  • Molecular Formula : C76H104N18O20S2

  • Molecular Weight : 1653.89

stdClass Object
(
    [pname] => Glycinamide, L-histidyl-L-seryl-L-α-glutamylglycyl-L-threonyl-L-phenylalanyl-L-threonyl-L-seryl-L-α-aspartyl-L-valyl-L-seryl-L-seryl-L-tyrosyl-L-leucyl-L-α-glutamylglycyl-L-glutaminyl-L-alanyl-L-alanyl-L-lysyl-L-α-glutamyl-L-phenylalanyl-L-isoleucyl-L-alanyl-L-tryptophyl-L-leucyl-L-valyl-L-lysylglycyl-L-arginyl
    [catalogue_number] => PA PEP 004307
    [category_ids] => ,114,
    [chemical_name] => 
    [weight] => 3370.73
    [form] => C151H229N41O47
    [cas] => 753024-08-7
    [pslug] => 753024-08-7-glycinamide- l-histidyl-l-seryl-l-alpha-glutamylglycyl-l-threonyl-l-phenylalanyl-l-threonyl-l-seryl-l-alpha-aspartyl-l-valyl-l-seryl-l-seryl-l-tyrosyl-l-leucyl-l-alpha-glutamylglycyl-l-glutaminyl-l-alanyl-l-alanyl-l-lysyl-l-alpha-glutamyl-l-phenylalanyl-l-isoleucyl-l-alanyl-l-tryptophyl-l-leucyl-l-valyl-l-lysylglycyl-l-arginyl-papep004307
    [latest_product] => 0
    [linkproducts] => 0
    [offers_id] => 
    [offers_name] => 
    [offers_status] => 
    [offers_start_date] => 
    [offers_end_date] => 
    [pageview] => 
    [offers_slug] => 
    [offers_product_id] => 
    [offers_product_code] => 
    [offers_master_id] => 
    [offer_percentage] => 
    [offers_product_main_cat] => 
)
PA PEP 004307
PA PEP 004307

Glycinamide, L-histidyl-L-seryl-L-α-glutamylglycyl-L-threonyl-L-phenylalanyl-L-threonyl-L-seryl-L-α-aspartyl-L-valyl-L-seryl-L-seryl-L-tyrosyl-L-leucyl-L-α-glutamylglycyl-L-glutaminyl-L-alanyl-L-alanyl-L-lysyl-L-α-glutamyl-L-phenylalanyl-L-isoleucyl-L-alanyl-L-tryptophyl-L-leucyl-L-valyl-L-lysylglycyl-L-arginyl


  • Catalogue No.:PA PEP 004307

  • CAS :

    753024-08-7

  • Molecular Formula : C151H229N41O47

  • Molecular Weight : 3370.73

stdClass Object
(
    [pname] => L-Tyrosylglycylglycyl-L-phenylalanyl-L-methionyl-L-arginyl-L-arginyl-L-valylglycyl-L-arginyl-L-prolyl-L-glutamic Acid
    [catalogue_number] => PA PEP 004308
    [category_ids] => ,114,
    [chemical_name] => 
    [weight] => 1424.65
    [form] => C62H97N21O16S
    [cas] => 75513-71-2
    [pslug] => 75513-71-2-l-tyrosylglycylglycyl-l-phenylalanyl-l-methionyl-l-arginyl-l-arginyl-l-valylglycyl-l-arginyl-l-prolyl-l-glutamic-acid-papep004308
    [latest_product] => 0
    [linkproducts] => 0
    [offers_id] => 
    [offers_name] => 
    [offers_status] => 
    [offers_start_date] => 
    [offers_end_date] => 
    [pageview] => 
    [offers_slug] => 
    [offers_product_id] => 
    [offers_product_code] => 
    [offers_master_id] => 
    [offer_percentage] => 
    [offers_product_main_cat] => 
)
PA PEP 004308
PA PEP 004308

L-Tyrosylglycylglycyl-L-phenylalanyl-L-methionyl-L-arginyl-L-arginyl-L-valylglycyl-L-arginyl-L-prolyl-L-glutamic Acid


  • Catalogue No.:PA PEP 004308

  • CAS :

    75513-71-2

  • Molecular Formula : C62H97N21O16S

  • Molecular Weight : 1424.65

stdClass Object
(
    [pname] => ((Benzyloxy)carbonyl)-D-phenylalanyl-L-phenylalanylglycine
    [catalogue_number] => PA PEP 004309
    [category_ids] => ,114,
    [chemical_name] => 
    [weight] => 503.56
    [form] => C28H29N3O6
    [cas] => 75539-79-6
    [pslug] => 75539-79-6-benzyloxy-carbonyl-d-phenylalanyl-l-phenylalanylglycine-papep004309
    [latest_product] => 0
    [linkproducts] => 0
    [offers_id] => 
    [offers_name] => 
    [offers_status] => 
    [offers_start_date] => 
    [offers_end_date] => 
    [pageview] => 
    [offers_slug] => 
    [offers_product_id] => 
    [offers_product_code] => 
    [offers_master_id] => 
    [offer_percentage] => 
    [offers_product_main_cat] => 
)
PA PEP 004309
PA PEP 004309

((Benzyloxy)carbonyl)-D-phenylalanyl-L-phenylalanylglycine


  • Catalogue No.:PA PEP 004309

  • CAS :

    75539-79-6

  • Molecular Formula : C28H29N3O6

  • Molecular Weight : 503.56

stdClass Object
(
    [pname] => (S)-N-((S)-7-Amino-1-chloro-2-oxoheptan-3-yl)-2-((R)-2-amino-3-methylbutanamido)-4-methylpentanamide
    [catalogue_number] => PA PEP 004310
    [category_ids] => ,114,
    [chemical_name] => 
    [weight] => 390.95
    [form] => C18H35ClN4O3
    [cas] => 75590-15-7
    [pslug] => 75590-15-7-s-n-s-7-amino-1-chloro-2-oxoheptan-3-yl-2-r-2-amino-3-methylbutanamido-4-methylpentanamide-papep004310
    [latest_product] => 0
    [linkproducts] => 0
    [offers_id] => 
    [offers_name] => 
    [offers_status] => 
    [offers_start_date] => 
    [offers_end_date] => 
    [pageview] => 
    [offers_slug] => 
    [offers_product_id] => 
    [offers_product_code] => 
    [offers_master_id] => 
    [offer_percentage] => 
    [offers_product_main_cat] => 
)
PA PEP 004310
PA PEP 004310

(S)-N-((S)-7-Amino-1-chloro-2-oxoheptan-3-yl)-2-((R)-2-amino-3-methylbutanamido)-4-methylpentanamide


  • Catalogue No.:PA PEP 004310

  • CAS :

    75590-15-7

  • Molecular Formula : C18H35ClN4O3

  • Molecular Weight : 390.95

pharmaffiliates