ganaxolone

Pharmaceutical standards - Ganaxolone is an allosteric modulator of GABAA receptors acting through binding sites which are distinct from the benzodiazepine binding site. It has activity in a broad range of animal models of epilepsy. Ganaxolone is an experimental drug. Reference standards of Ganaxolone API,and its pharmacopeial, non pharmacopeial impurities, and stable isotopes are listed below.

stdClass Object
(
    [pname] => Ganaxolone-d3
    [catalogue_number] => PA STI 043990
    [category_ids] => ,78,70,82,87,98,
    [chemical_name] => 
    [weight] => 335.54
    [form] => C22H33D3O2
    [cas] => NA
    [pslug] => ganaxolone-d3-pasti043990
    [latest_product] => 0
    [linkproducts] => 0
    [offers_id] => 
    [offers_name] => 
    [offers_status] => 
    [offers_start_date] => 
    [offers_end_date] => 
    [pageview] => 
    [offers_slug] => 
    [offers_product_id] => 
    [offers_product_code] => 
    [offers_master_id] => 
    [offer_percentage] => 
    [offers_product_main_cat] => 
)
PA STI 043990
PA STI 043990

Ganaxolone-d3


  • Catalogue No.:PA STI 043990

  • CAS :

    NA

  • Molecular Formula : C22H33D3O2

  • Molecular Weight : 335.54

stdClass Object
(
    [pname] => 1-((3S,5S,8R,9S,10S,13S,14S,17S)-3-Hydroxy-3,10,13-trimethylhexadecahydro-1H-cyclopenta[a]phenanthren-17-yl)ethan-1-one
    [catalogue_number] => PA 07 0801000
    [category_ids] => ,78,75,70,76,82,
    [chemical_name] => 
    [weight] => 332.53
    [form] => C22H36O2
    [cas] => 1264737-31-6
    [pslug] => 1264737-31-6-1-3s-5s-8r-9s-10s-13s-14s-17s-3-hydroxy-3-10-13-trimethylhexadecahydro-1h-cyclopenta-a-phenanthren-17-yl-ethan-1-one-pa070801000
    [latest_product] => 0
    [linkproducts] => 0
    [offers_id] => 
    [offers_name] => 
    [offers_status] => 
    [offers_start_date] => 
    [offers_end_date] => 
    [pageview] => 
    [offers_slug] => 
    [offers_product_id] => 
    [offers_product_code] => 
    [offers_master_id] => 
    [offer_percentage] => 
    [offers_product_main_cat] => 
)
PA 07 0801000
PA 07 0801000

1-((3S,5S,8R,9S,10S,13S,14S,17S)-3-Hydroxy-3,10,13-trimethylhexadecahydro-1H-cyclopenta[a]phenanthren-17-yl)ethan-1-one


  • Catalogue No.:PA 07 0801000

  • CAS :

    1264737-31-6

  • Molecular Formula : C22H36O2

  • Molecular Weight : 332.53

stdClass Object
(
    [pname] => Ganaxolone
    [catalogue_number] => PA 07 0800000
    [category_ids] => ,78,75,70,76,82,
    [chemical_name] => 
    [weight] => 332.53
    [form] => C22H36O2
    [cas] => 38398-32-2
    [pslug] => 38398-32-2-ganaxolone-api-pa070800000
    [latest_product] => 0
    [linkproducts] => 0
    [offers_id] => 
    [offers_name] => 
    [offers_status] => 
    [offers_start_date] => 
    [offers_end_date] => 
    [pageview] => 
    [offers_slug] => 
    [offers_product_id] => 
    [offers_product_code] => 
    [offers_master_id] => 
    [offer_percentage] => 
    [offers_product_main_cat] => 
)
PA 07 0800000
PA 07 0800000

Ganaxolone


  • Catalogue No.:PA 07 0800000

  • CAS :

    38398-32-2

  • Molecular Formula : C22H36O2

  • Molecular Weight : 332.53

stdClass Object
(
    [pname] => 1-((5S,8R,9S,10S,13S,14S,17S)-3,10,13-Trimethyl-4,5,6,7,8,9,10,11,12,13,14,15,16,17-tetradecahydro-1H-cyclopenta[a]phenanthren-17-yl)ethan-1-one
    [catalogue_number] => PA 07 0801002
    [category_ids] => ,78,75,70,76,82,
    [chemical_name] => 
    [weight] => 314.51
    [form] => C22H34O
    [cas] => NA
    [pslug] => 1-5s-8r-9s-10s-13s-14s-17s-3-10-13-trimethyl-4-5-6-7-8-9-10-11-12-13-14-15-16-17-tetradecahydro-1h-cyclopenta-a-phenanthren-17-yl-ethan-1-one-pa070801002
    [latest_product] => 0
    [linkproducts] => 0
    [offers_id] => 
    [offers_name] => 
    [offers_status] => 
    [offers_start_date] => 
    [offers_end_date] => 
    [pageview] => 
    [offers_slug] => 
    [offers_product_id] => 
    [offers_product_code] => 
    [offers_master_id] => 
    [offer_percentage] => 
    [offers_product_main_cat] => 
)
PA 07 0801002
PA 07 0801002

1-((5S,8R,9S,10S,13S,14S,17S)-3,10,13-Trimethyl-4,5,6,7,8,9,10,11,12,13,14,15,16,17-tetradecahydro-1H-cyclopenta[a]phenanthren-17-yl)ethan-1-one


  • Catalogue No.:PA 07 0801002

  • CAS :

    NA

  • Molecular Formula : C22H34O

  • Molecular Weight : 314.51

stdClass Object
(
    [pname] => 1-((3R,5S,8R,9S,10S,13S,14S,17S)-10,13-Dimethylhexadecahydrospiro[cyclopenta[a]phenanthrene-3,2'-oxiran]-17-yl)ethan-1-one
    [catalogue_number] => PA 07 0801001
    [category_ids] => ,78,75,70,76,82,
    [chemical_name] => 
    [weight] => 330.51
    [form] => C22H34O2
    [cas] => 148256-45-5
    [pslug] => 148256-45-5-1-3r-5s-8r-9s-10s-13s-14s-17s-10-13-dimethylhexadecahydrospiro-cyclopenta-a-phenanthrene-3-2-oxiran-17-yl-ethan-1-one-pa070801001
    [latest_product] => 0
    [linkproducts] => 0
    [offers_id] => 
    [offers_name] => 
    [offers_status] => 
    [offers_start_date] => 
    [offers_end_date] => 
    [pageview] => 
    [offers_slug] => 
    [offers_product_id] => 
    [offers_product_code] => 
    [offers_master_id] => 
    [offer_percentage] => 
    [offers_product_main_cat] => 
)
PA 07 0801001
PA 07 0801001

1-((3R,5S,8R,9S,10S,13S,14S,17S)-10,13-Dimethylhexadecahydrospiro[cyclopenta[a]phenanthrene-3,2'-oxiran]-17-yl)ethan-1-one


  • Catalogue No.:PA 07 0801001

  • CAS :

    148256-45-5

  • Molecular Formula : C22H34O2

  • Molecular Weight : 330.51

stdClass Object
(
    [pname] => 1-((8R,9S,10S,13S,14S,17S)-10,13-Dimethylhexadecahydro-1H-cyclopenta[a]phenanthren-17-yl)ethan-1-one
    [catalogue_number] => PA 07 0801003
    [category_ids] => ,78,75,70,76,82,
    [chemical_name] => 
    [weight] => 302.5
    [form] => C21H34O
    [cas] => 32695-80-0
    [pslug] => 32695-80-0-1-8r-9s-10s-13s-14s-17s-10-13-dimethylhexadecahydro-1h-cyclopenta-a-phenanthren-17-yl-ethan-1-one-pa070801003
    [latest_product] => 0
    [linkproducts] => 0
    [offers_id] => 
    [offers_name] => 
    [offers_status] => 
    [offers_start_date] => 
    [offers_end_date] => 
    [pageview] => 
    [offers_slug] => 
    [offers_product_id] => 
    [offers_product_code] => 
    [offers_master_id] => 
    [offer_percentage] => 
    [offers_product_main_cat] => 
)
PA 07 0801003
PA 07 0801003

1-((8R,9S,10S,13S,14S,17S)-10,13-Dimethylhexadecahydro-1H-cyclopenta[a]phenanthren-17-yl)ethan-1-one


  • Catalogue No.:PA 07 0801003

  • CAS :

    32695-80-0

  • Molecular Formula : C21H34O

  • Molecular Weight : 302.5

stdClass Object
(
    [pname] => 21-Hydroxyganaxolone
    [catalogue_number] => PA 07 0801004
    [category_ids] => ,78,75,70,76,82,
    [chemical_name] => 
    [weight] => 348.53
    [form] => C22H36O3
    [cas] => 162883-49-0
    [pslug] => 162883-49-0-21-hydroxyganaxolone-pa070801004
    [latest_product] => 0
    [linkproducts] => 0
    [offers_id] => 
    [offers_name] => 
    [offers_status] => 
    [offers_start_date] => 
    [offers_end_date] => 
    [pageview] => 
    [offers_slug] => 
    [offers_product_id] => 
    [offers_product_code] => 
    [offers_master_id] => 
    [offer_percentage] => 
    [offers_product_main_cat] => 
)
PA 07 0801004
PA 07 0801004

21-Hydroxyganaxolone


  • Catalogue No.:PA 07 0801004

  • CAS :

    162883-49-0

  • Molecular Formula : C22H36O3

  • Molecular Weight : 348.53

stdClass Object
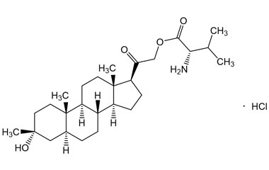
(
    [pname] => 2-((3R,5S,8R,9S,10S,13S,14S,17S)-3-Hydroxy-3,10,13-trimethylhexadecahydro-1H-cyclopenta[a]phenanthren-17-yl)-2-oxoethyl L-valinate Hydrochloride
    [catalogue_number] => PA 07 0801005
    [category_ids] => ,78,75,70,76,82,
    [chemical_name] => 
    [weight] => 484.12
    [form] => C27H46ClNO4
    [cas] => 2379819-18-6
    [pslug] => 2379819-18-6-2-3r-5s-8r-9s-10s-13s-14s-17s-3-hydroxy-3-10-13-trimethylhexadecahydro-1h-cyclopenta-a-phenanthren-17-yl-2-oxoethyl-l-valinate-hydrochloride-pa070801005
    [latest_product] => 0
    [linkproducts] => 0
    [offers_id] => 
    [offers_name] => 
    [offers_status] => 
    [offers_start_date] => 
    [offers_end_date] => 
    [pageview] => 
    [offers_slug] => 
    [offers_product_id] => 
    [offers_product_code] => 
    [offers_master_id] => 
    [offer_percentage] => 
    [offers_product_main_cat] => 
)
PA 07 0801005
PA 07 0801005

2-((3R,5S,8R,9S,10S,13S,14S,17S)-3-Hydroxy-3,10,13-trimethylhexadecahydro-1H-cyclopenta[a]phenanthren-17-yl)-2-oxoethyl L-valinate Hydrochloride


  • Catalogue No.:PA 07 0801005

  • CAS :

    2379819-18-6

  • Molecular Formula : C27H46ClNO4

  • Molecular Weight : 484.12

pharmaffiliates