Lazertinib

Pharmaceutical standards - Lazertinib, brand name - Lazcluze is a third-generation EGFR tyrosine kinase inhibitor (TKI) used in the treatment of non-small cell lung cancer (NSCLC) with specific EGFR mutations. Reference standards of Lazertinib API, and its pharmacopeial, non pharmacopeial impurities, and stable isotopes are listed below.

stdClass Object
(
    [pname] => Lazertinib
    [catalogue_number] => PA 12 2200000
    [category_ids] => ,70,78,82,81,121,
    [chemical_name] => 
    [weight] => 554.66
    [form] => C30H34N8O3
    [cas] => 1903008-80-9
    [pslug] => 1903008-80-9-lazertinib-pa122200000
    [latest_product] => 0
    [linkproducts] => 0
    [offers_id] => 
    [offers_name] => 
    [offers_status] => 
    [offers_start_date] => 
    [offers_end_date] => 
    [pageview] => 
    [offers_slug] => 
    [offers_product_id] => 
    [offers_product_code] => 
    [offers_master_id] => 
    [offer_percentage] => 
    [offers_product_main_cat] => 
)
PA 12 2200000
PA 12 2200000

Lazertinib


  • Catalogue No.:PA 12 2200000

  • CAS :

    1903008-80-9

  • Molecular Formula : C30H34N8O3

  • Molecular Weight : 554.66

stdClass Object
(
    [pname] => 4-(2-Acrylamido-4-((4-(4-((dimethylamino)methyl)-3-phenyl-1H-pyrazol-1-yl)pyrimidin-2-yl)amino)-5-methoxyphenyl)morpholine 4-oxide
    [catalogue_number] => PA 12 2201000
    [category_ids] => ,70,78,82,81,121,
    [chemical_name] => 
    [weight] => 570.65
    [form] => C30H34N8O4
    [cas] => NA
    [pslug] => 4-2-acrylamido-4-4-4-dimethylamino-methyl-3-phenyl-1h-pyrazol-1-yl-pyrimidin-2-yl-amino-5-methoxyphenyl-morpholine-4-oxide-pa122201000
    [latest_product] => 0
    [linkproducts] => 0
    [offers_id] => 
    [offers_name] => 
    [offers_status] => 
    [offers_start_date] => 
    [offers_end_date] => 
    [pageview] => 
    [offers_slug] => 
    [offers_product_id] => 
    [offers_product_code] => 
    [offers_master_id] => 
    [offer_percentage] => 
    [offers_product_main_cat] => 
)
PA 12 2201000
PA 12 2201000

4-(2-Acrylamido-4-((4-(4-((dimethylamino)methyl)-3-phenyl-1H-pyrazol-1-yl)pyrimidin-2-yl)amino)-5-methoxyphenyl)morpholine 4-oxide


  • Catalogue No.:PA 12 2201000

  • CAS :

    NA

  • Molecular Formula : C30H34N8O4

  • Molecular Weight : 570.65

stdClass Object
(
    [pname] => N-(5-((4-(4-((Dimethylamino)methyl)-3-phenyl-1H-pyrazol-1-yl)pyrimidin-2-yl)amino)-4-hydroxy-2-morpholinophenyl)acrylamide
    [catalogue_number] => PA 12 2201001
    [category_ids] => ,70,78,82,81,121,
    [chemical_name] => 
    [weight] => 540.63
    [form] => C29H32N8O3
    [cas] => NA
    [pslug] => n-5-4-4-dimethylamino-methyl-3-phenyl-1h-pyrazol-1-yl-pyrimidin-2-yl-amino-4-hydroxy-2-morpholinophenyl-acrylamide-pa122201001
    [latest_product] => 0
    [linkproducts] => 0
    [offers_id] => 
    [offers_name] => 
    [offers_status] => 
    [offers_start_date] => 
    [offers_end_date] => 
    [pageview] => 
    [offers_slug] => 
    [offers_product_id] => 
    [offers_product_code] => 
    [offers_master_id] => 
    [offer_percentage] => 
    [offers_product_main_cat] => 
)
PA 12 2201001
PA 12 2201001

N-(5-((4-(4-((Dimethylamino)methyl)-3-phenyl-1H-pyrazol-1-yl)pyrimidin-2-yl)amino)-4-hydroxy-2-morpholinophenyl)acrylamide


  • Catalogue No.:PA 12 2201001

  • CAS :

    NA

  • Molecular Formula : C29H32N8O3

  • Molecular Weight : 540.63

stdClass Object
(
    [pname] => N-(5-((4-(4-((Dimethylamino)methyl)-3-phenyl-1H-pyrazol-1-yl)pyrimidin-2-yl)amino)-4-methoxy-2-morpholinophenyl)-4-hydroxybutanamide
    [catalogue_number] => PA 12 2201002
    [category_ids] => ,70,78,82,81,121,
    [chemical_name] => 
    [weight] => 586.7
    [form] => C31H38N8O4
    [cas] => NA
    [pslug] => n-5-4-4-dimethylamino-methyl-3-phenyl-1h-pyrazol-1-yl-pyrimidin-2-yl-amino-4-methoxy-2-morpholinophenyl-4-hydroxybutanamide-pa122201002
    [latest_product] => 0
    [linkproducts] => 0
    [offers_id] => 
    [offers_name] => 
    [offers_status] => 
    [offers_start_date] => 
    [offers_end_date] => 
    [pageview] => 
    [offers_slug] => 
    [offers_product_id] => 
    [offers_product_code] => 
    [offers_master_id] => 
    [offer_percentage] => 
    [offers_product_main_cat] => 
)
PA 12 2201002
PA 12 2201002

N-(5-((4-(4-((Dimethylamino)methyl)-3-phenyl-1H-pyrazol-1-yl)pyrimidin-2-yl)amino)-4-methoxy-2-morpholinophenyl)-4-hydroxybutanamide


  • Catalogue No.:PA 12 2201002

  • CAS :

    NA

  • Molecular Formula : C31H38N8O4

  • Molecular Weight : 586.7

stdClass Object
(
    [pname] => N-(4-Methoxy-5-((4-(4-((methyl(nitroso)amino)methyl)-3-phenyl-1H-pyrazol-1-yl)pyrimidin-2-yl)amino)-2-morpholinophenyl)acrylamide
    [catalogue_number] => PA 12 2201003
    [category_ids] => ,70,78,82,81,121,162,
    [chemical_name] => 
    [weight] => 569.63
    [form] => C29H31N9O4
    [cas] => NA
    [pslug] => n-4-methoxy-5-4-4-methyl-nitroso-amino-methyl-3-phenyl-1h-pyrazol-1-yl-pyrimidin-2-yl-amino-2-morpholinophenyl-acrylamide-pa122201003
    [latest_product] => 0
    [linkproducts] => 0
    [offers_id] => 
    [offers_name] => 
    [offers_status] => 
    [offers_start_date] => 
    [offers_end_date] => 
    [pageview] => 
    [offers_slug] => 
    [offers_product_id] => 
    [offers_product_code] => 
    [offers_master_id] => 
    [offer_percentage] => 
    [offers_product_main_cat] => 
)
PA 12 2201003
PA 12 2201003

N-(4-Methoxy-5-((4-(4-((methyl(nitroso)amino)methyl)-3-phenyl-1H-pyrazol-1-yl)pyrimidin-2-yl)amino)-2-morpholinophenyl)acrylamide


  • Catalogue No.:PA 12 2201003

  • CAS :

    NA

  • Molecular Formula : C29H31N9O4

  • Molecular Weight : 569.63

stdClass Object
(
    [pname] => N-(5-((4-(4-((Dimethylamino)methyl)-3-phenyl-1H-pyrazol-1-yl)pyrimidin-2-yl)(nitroso)amino)-4-methoxy-2-morpholinophenyl)acrylamide
    [catalogue_number] => PA 12 2201004
    [category_ids] => ,70,78,82,81,121,162,
    [chemical_name] => 
    [weight] => 583.65
    [form] => C30H33N9O4
    [cas] => NA
    [pslug] => n-5-4-4-dimethylamino-methyl-3-phenyl-1h-pyrazol-1-yl-pyrimidin-2-yl-nitroso-amino-4-methoxy-2-morpholinophenyl-acrylamide-pa122201004
    [latest_product] => 0
    [linkproducts] => 0
    [offers_id] => 
    [offers_name] => 
    [offers_status] => 
    [offers_start_date] => 
    [offers_end_date] => 
    [pageview] => 
    [offers_slug] => 
    [offers_product_id] => 
    [offers_product_code] => 
    [offers_master_id] => 
    [offer_percentage] => 
    [offers_product_main_cat] => 
)
PA 12 2201004
PA 12 2201004

N-(5-((4-(4-((Dimethylamino)methyl)-3-phenyl-1H-pyrazol-1-yl)pyrimidin-2-yl)(nitroso)amino)-4-methoxy-2-morpholinophenyl)acrylamide


  • Catalogue No.:PA 12 2201004

  • CAS :

    NA

  • Molecular Formula : C30H33N9O4

  • Molecular Weight : 583.65

stdClass Object
(
    [pname] => 3-Chloro-N-(5-((4-(4-((dimethylamino)methyl)-3-phenyl-1H-pyrazol-1-yl)pyrimidin-2-yl)amino)-4-methoxy-2-morpholinophenyl)propanamide
    [catalogue_number] => PA 12 2201005
    [category_ids] => ,70,78,82,81,121,
    [chemical_name] => 
    [weight] => 591.11
    [form] => C30H35ClN8O3
    [cas] => NA
    [pslug] => 3-chloro-n-5-4-4-dimethylamino-methyl-3-phenyl-1h-pyrazol-1-yl-pyrimidin-2-yl-amino-4-methoxy-2-morpholinophenyl-propanamide-pa122201005
    [latest_product] => 0
    [linkproducts] => 0
    [offers_id] => 
    [offers_name] => 
    [offers_status] => 
    [offers_start_date] => 
    [offers_end_date] => 
    [pageview] => 
    [offers_slug] => 
    [offers_product_id] => 
    [offers_product_code] => 
    [offers_master_id] => 
    [offer_percentage] => 
    [offers_product_main_cat] => 
)
PA 12 2201005
PA 12 2201005

3-Chloro-N-(5-((4-(4-((dimethylamino)methyl)-3-phenyl-1H-pyrazol-1-yl)pyrimidin-2-yl)amino)-4-methoxy-2-morpholinophenyl)propanamide


  • Catalogue No.:PA 12 2201005

  • CAS :

    NA

  • Molecular Formula : C30H35ClN8O3

  • Molecular Weight : 591.11

stdClass Object
(
    [pname] => 1-(2-((2-Methoxy-4-morpholino-5-nitrophenyl)amino)pyrimidin-4-yl)-5-phenyl-1H-pyrazole-4-carbaldehyde
    [catalogue_number] => PA 12 2201007
    [category_ids] => ,70,78,82,81,
    [chemical_name] => 
    [weight] => 501.5
    [form] => C25H23N7O5
    [cas] => NA
    [pslug] => 1-2-2-methoxy-4-morpholino-5-nitrophenyl-amino-pyrimidin-4-yl-5-phenyl-1h-pyrazole-4-carbaldehyde-pa122201007
    [latest_product] => 0
    [linkproducts] => 0
    [offers_id] => 
    [offers_name] => 
    [offers_status] => 
    [offers_start_date] => 
    [offers_end_date] => 
    [pageview] => 
    [offers_slug] => 
    [offers_product_id] => 
    [offers_product_code] => 
    [offers_master_id] => 
    [offer_percentage] => 
    [offers_product_main_cat] => 
)
PA 12 2201007
PA 12 2201007

1-(2-((2-Methoxy-4-morpholino-5-nitrophenyl)amino)pyrimidin-4-yl)-5-phenyl-1H-pyrazole-4-carbaldehyde


  • Catalogue No.:PA 12 2201007

  • CAS :

    NA

  • Molecular Formula : C25H23N7O5

  • Molecular Weight : 501.5

stdClass Object
(
    [pname] => 1-Nitroso-3-phenyl-1H-pyrazole-4-carbaldehyde
    [catalogue_number] => PA 12 2201009
    [category_ids] => ,70,78,82,81,121,162,
    [chemical_name] => 
    [weight] => 201.19
    [form] => C10H7N3O2
    [cas] => NA
    [pslug] => 1-nitroso-3-phenyl-1h-pyrazole-4-carbaldehyde-pa122201009
    [latest_product] => 0
    [linkproducts] => 0
    [offers_id] => 
    [offers_name] => 
    [offers_status] => 
    [offers_start_date] => 
    [offers_end_date] => 
    [pageview] => 
    [offers_slug] => 
    [offers_product_id] => 
    [offers_product_code] => 
    [offers_master_id] => 
    [offer_percentage] => 
    [offers_product_main_cat] => 
)
PA 12 2201009
PA 12 2201009

1-Nitroso-3-phenyl-1H-pyrazole-4-carbaldehyde


  • Catalogue No.:PA 12 2201009

  • CAS :

    NA

  • Molecular Formula : C10H7N3O2

  • Molecular Weight : 201.19

stdClass Object
(
    [pname] => N-(4-Chloropyrimidin-2-yl)-N-(2-methoxy-4-morpholino-5-nitrophenyl)nitrous amide
    [catalogue_number] => PA 12 2201010
    [category_ids] => ,70,78,82,81,121,162,
    [chemical_name] => 
    [weight] => 394.77
    [form] => C15H15ClN6O5
    [cas] => NA
    [pslug] => n-4-chloropyrimidin-2-yl-n-2-methoxy-4-morpholino-5-nitrophenyl-nitrous-amide-pa122201010
    [latest_product] => 0
    [linkproducts] => 0
    [offers_id] => 
    [offers_name] => 
    [offers_status] => 
    [offers_start_date] => 
    [offers_end_date] => 
    [pageview] => 
    [offers_slug] => 
    [offers_product_id] => 
    [offers_product_code] => 
    [offers_master_id] => 
    [offer_percentage] => 
    [offers_product_main_cat] => 
)
PA 12 2201010
PA 12 2201010

N-(4-Chloropyrimidin-2-yl)-N-(2-methoxy-4-morpholino-5-nitrophenyl)nitrous amide


  • Catalogue No.:PA 12 2201010

  • CAS :

    NA

  • Molecular Formula : C15H15ClN6O5

  • Molecular Weight : 394.77

stdClass Object
(
    [pname] => N-(4-(4-Formyl-3-phenyl-1H-pyrazol-1-yl)pyrimidin-2-yl)-N-(2-methoxy-4-morpholino-5-nitrophenyl)nitrous amide
    [catalogue_number] => PA 12 2201011
    [category_ids] => ,70,78,82,81,121,162,
    [chemical_name] => 
    [weight] => 530.5
    [form] => C25H22N8O6
    [cas] => NA
    [pslug] => n-4-4-formyl-3-phenyl-1h-pyrazol-1-yl-pyrimidin-2-yl-n-2-methoxy-4-morpholino-5-nitrophenyl-nitrous-amide-pa122201011
    [latest_product] => 0
    [linkproducts] => 0
    [offers_id] => 
    [offers_name] => 
    [offers_status] => 
    [offers_start_date] => 
    [offers_end_date] => 
    [pageview] => 
    [offers_slug] => 
    [offers_product_id] => 
    [offers_product_code] => 
    [offers_master_id] => 
    [offer_percentage] => 
    [offers_product_main_cat] => 
)
PA 12 2201011
PA 12 2201011

N-(4-(4-Formyl-3-phenyl-1H-pyrazol-1-yl)pyrimidin-2-yl)-N-(2-methoxy-4-morpholino-5-nitrophenyl)nitrous amide


  • Catalogue No.:PA 12 2201011

  • CAS :

    NA

  • Molecular Formula : C25H22N8O6

  • Molecular Weight : 530.5

stdClass Object
(
    [pname] => N-(4-(4-((Dimethylamino)methyl)-3-phenyl-1H-pyrazol-1-yl)pyrimidin-2-yl)-N-(2-methoxy-4-morpholino-5-nitrophenyl)nitrous amide
    [catalogue_number] => PA 12 2201012
    [category_ids] => ,70,78,82,81,121,162,
    [chemical_name] => 
    [weight] => 559.59
    [form] => C27H29N9O5
    [cas] => NA
    [pslug] => n-4-4-dimethylamino-methyl-3-phenyl-1h-pyrazol-1-yl-pyrimidin-2-yl-n-2-methoxy-4-morpholino-5-nitrophenyl-nitrous-amide-pa122201012
    [latest_product] => 0
    [linkproducts] => 0
    [offers_id] => 
    [offers_name] => 
    [offers_status] => 
    [offers_start_date] => 
    [offers_end_date] => 
    [pageview] => 
    [offers_slug] => 
    [offers_product_id] => 
    [offers_product_code] => 
    [offers_master_id] => 
    [offer_percentage] => 
    [offers_product_main_cat] => 
)
PA 12 2201012
PA 12 2201012

N-(4-(4-((Dimethylamino)methyl)-3-phenyl-1H-pyrazol-1-yl)pyrimidin-2-yl)-N-(2-methoxy-4-morpholino-5-nitrophenyl)nitrous amide


  • Catalogue No.:PA 12 2201012

  • CAS :

    NA

  • Molecular Formula : C27H29N9O5

  • Molecular Weight : 559.59

stdClass Object
(
    [pname] => N-(5-Amino-2-methoxy-4-morpholinophenyl)-N-(4-(4-((dimethylamino)methyl)-3-phenyl-1H-pyrazol-1-yl)pyrimidin-2-yl)nitrous amide
    [catalogue_number] => PA 12 2201013
    [category_ids] => ,70,78,82,81,121,162,
    [chemical_name] => 
    [weight] => 529.61
    [form] => C27H31N9O3
    [cas] => NA
    [pslug] => n-5-amino-2-methoxy-4-morpholinophenyl-n-4-4-dimethylamino-methyl-3-phenyl-1h-pyrazol-1-yl-pyrimidin-2-yl-nitrous-amide-pa122201013
    [latest_product] => 0
    [linkproducts] => 0
    [offers_id] => 
    [offers_name] => 
    [offers_status] => 
    [offers_start_date] => 
    [offers_end_date] => 
    [pageview] => 
    [offers_slug] => 
    [offers_product_id] => 
    [offers_product_code] => 
    [offers_master_id] => 
    [offer_percentage] => 
    [offers_product_main_cat] => 
)
PA 12 2201013
PA 12 2201013

N-(5-Amino-2-methoxy-4-morpholinophenyl)-N-(4-(4-((dimethylamino)methyl)-3-phenyl-1H-pyrazol-1-yl)pyrimidin-2-yl)nitrous amide


  • Catalogue No.:PA 12 2201013

  • CAS :

    NA

  • Molecular Formula : C27H31N9O3

  • Molecular Weight : 529.61

stdClass Object
(
    [pname] => N-((1-(2-((2-Methoxy-4-morpholino-5-nitrophenyl)amino)pyrimidin-4-yl)-3-phenyl-1H-pyrazol-4-yl)methyl)-N-methylnitrous amide
    [catalogue_number] => PA 12 2201014
    [category_ids] => ,70,78,82,81,121,162,
    [chemical_name] => 
    [weight] => 545.56
    [form] => C26H27N9O5
    [cas] => NA
    [pslug] => n-1-2-2-methoxy-4-morpholino-5-nitrophenyl-amino-pyrimidin-4-yl-3-phenyl-1h-pyrazol-4-yl-methyl-n-methylnitrous-amide-pa122201014
    [latest_product] => 0
    [linkproducts] => 0
    [offers_id] => 
    [offers_name] => 
    [offers_status] => 
    [offers_start_date] => 
    [offers_end_date] => 
    [pageview] => 
    [offers_slug] => 
    [offers_product_id] => 
    [offers_product_code] => 
    [offers_master_id] => 
    [offer_percentage] => 
    [offers_product_main_cat] => 
)
PA 12 2201014
PA 12 2201014

N-((1-(2-((2-Methoxy-4-morpholino-5-nitrophenyl)amino)pyrimidin-4-yl)-3-phenyl-1H-pyrazol-4-yl)methyl)-N-methylnitrous amide


  • Catalogue No.:PA 12 2201014

  • CAS :

    NA

  • Molecular Formula : C26H27N9O5

  • Molecular Weight : 545.56

stdClass Object
(
    [pname] => N-((1-(2-((5-Amino-2-methoxy-4-morpholinophenyl)amino)pyrimidin-4-yl)-3-phenyl-1H-pyrazol-4-yl)methyl)-N-methylnitrous amide
    [catalogue_number] => PA 12 2201015
    [category_ids] => ,70,78,82,81,121,162,
    [chemical_name] => 
    [weight] => 515.58
    [form] => C26H29N9O3
    [cas] => NA
    [pslug] => n-1-2-5-amino-2-methoxy-4-morpholinophenyl-amino-pyrimidin-4-yl-3-phenyl-1h-pyrazol-4-yl-methyl-n-methylnitrous-amide-pa122201015
    [latest_product] => 0
    [linkproducts] => 0
    [offers_id] => 
    [offers_name] => 
    [offers_status] => 
    [offers_start_date] => 
    [offers_end_date] => 
    [pageview] => 
    [offers_slug] => 
    [offers_product_id] => 
    [offers_product_code] => 
    [offers_master_id] => 
    [offer_percentage] => 
    [offers_product_main_cat] => 
)
PA 12 2201015
PA 12 2201015

N-((1-(2-((5-Amino-2-methoxy-4-morpholinophenyl)amino)pyrimidin-4-yl)-3-phenyl-1H-pyrazol-4-yl)methyl)-N-methylnitrous amide


  • Catalogue No.:PA 12 2201015

  • CAS :

    NA

  • Molecular Formula : C26H29N9O3

  • Molecular Weight : 515.58

stdClass Object
(
    [pname] => Lazertinib Di-N-oxide
    [catalogue_number] => PA 12 2201008
    [category_ids] => ,70,78,82,81,121,
    [chemical_name] => 
    [weight] => 586.65
    [form] => C30H34N8O5
    [cas] => NA
    [pslug] => lazertinib-di-n-oxide-pa122201008
    [latest_product] => 0
    [linkproducts] => 0
    [offers_id] => 
    [offers_name] => 
    [offers_status] => 
    [offers_start_date] => 
    [offers_end_date] => 
    [pageview] => 
    [offers_slug] => 
    [offers_product_id] => 
    [offers_product_code] => 
    [offers_master_id] => 
    [offer_percentage] => 
    [offers_product_main_cat] => 
)
PA 12 2201008
PA 12 2201008

Lazertinib Di-N-oxide


  • Catalogue No.:PA 12 2201008

  • CAS :

    NA

  • Molecular Formula : C30H34N8O5

  • Molecular Weight : 586.65

stdClass Object
(
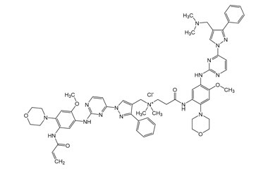
    [pname] => N-((1-(2-((5-Acrylamido-2-methoxy-4-morpholinophenyl)amino)pyrimidin-4-yl)-3-phenyl-1H-pyrazol-4-yl)methyl)-3-((5-((4-(4-((dimethylamino)methyl)-3-phenyl-1H-pyrazol-1-yl)pyrimidin-2-yl)amino)-4-methoxy-2-morpholinophenyl)amino)-N,N-dimethyl-3-oxopropan-1-aminium Chloride
    [catalogue_number] => PA 12 2201016
    [category_ids] => ,70,78,82,81,121,
    [chemical_name] => 
    [weight] => 1145.77
    [form] => C60H69ClN16O6
    [cas] => NA
    [pslug] => n-1-2-5-acrylamido-2-methoxy-4-morpholinophenyl-amino-pyrimidin-4-yl-3-phenyl-1h-pyrazol-4-yl-methyl-3-5-4-4-dimethylamino-methyl-3-phenyl-1h-pyrazol-1-yl-pyrimidin-2-yl-amino-4-methoxy-2-morpholinophenyl-amino-n-n-dimethyl-3-oxopropan-1-aminium-chloride-pa122201016
    [latest_product] => 0
    [linkproducts] => 0
    [offers_id] => 
    [offers_name] => 
    [offers_status] => 
    [offers_start_date] => 
    [offers_end_date] => 
    [pageview] => 
    [offers_slug] => 
    [offers_product_id] => 
    [offers_product_code] => 
    [offers_master_id] => 
    [offer_percentage] => 
    [offers_product_main_cat] => 
)
PA 12 2201016
PA 12 2201016

N-((1-(2-((5-Acrylamido-2-methoxy-4-morpholinophenyl)amino)pyrimidin-4-yl)-3-phenyl-1H-pyrazol-4-yl)methyl)-3-((5-((4-(4-((dimethylamino)methyl)-3-phenyl-1H-pyrazol-1-yl)pyrimidin-2-yl)amino)-4-methoxy-2-morpholinophenyl)amino)-N,N-dimethyl-3-oxopropan-1-aminium Chloride


  • Catalogue No.:PA 12 2201016

  • CAS :

    NA

  • Molecular Formula : C60H69ClN16O6

  • Molecular Weight : 1145.77

stdClass Object
(
    [pname] => 1-(1-(2-((5-Acrylamido-2-methoxy-4-morpholinophenyl)amino)pyrimidin-4-yl)-3-phenyl-1H-pyrazol-4-yl)-N,N-dimethylmethanamine oxide
    [catalogue_number] => PA 12 2201017
    [category_ids] => ,70,78,82,81,121,
    [chemical_name] => 
    [weight] => 570.65
    [form] => C30H34N8O4
    [cas] => NA
    [pslug] => 1-1-2-5-acrylamido-2-methoxy-4-morpholinophenyl-amino-pyrimidin-4-yl-3-phenyl-1h-pyrazol-4-yl-n-n-dimethylmethanamine-oxide-pa122201017
    [latest_product] => 0
    [linkproducts] => 0
    [offers_id] => 
    [offers_name] => 
    [offers_status] => 
    [offers_start_date] => 
    [offers_end_date] => 
    [pageview] => 
    [offers_slug] => 
    [offers_product_id] => 
    [offers_product_code] => 
    [offers_master_id] => 
    [offer_percentage] => 
    [offers_product_main_cat] => 
)
PA 12 2201017
PA 12 2201017

1-(1-(2-((5-Acrylamido-2-methoxy-4-morpholinophenyl)amino)pyrimidin-4-yl)-3-phenyl-1H-pyrazol-4-yl)-N,N-dimethylmethanamine oxide


  • Catalogue No.:PA 12 2201017

  • CAS :

    NA

  • Molecular Formula : C30H34N8O4

  • Molecular Weight : 570.65

stdClass Object
(
    [pname] => N1-((1-(2-((5-Amino-2-methoxy-4-morpholinophenyl)amino)pyrimidin-4-yl)-3-phenyl-1H-pyrazol-4-yl)methyl)-N3-(4-(4-((dimethylamino)methyl)-3-phenyl-1H-pyrazol-1-yl)pyrimidin-2-yl)-4-methoxy-6-morpholinobenzene-1,3-diamine
    [catalogue_number] => PA 12 2201018
    [category_ids] => ,70,78,82,81,121,
    [chemical_name] => 
    [weight] => 956.13
    [form] => C52H57N15O4
    [cas] => NA
    [pslug] => n1-1-2-5-amino-2-methoxy-4-morpholinophenyl-amino-pyrimidin-4-yl-3-phenyl-1h-pyrazol-4-yl-methyl-n3-4-4-dimethylamino-methyl-3-phenyl-1h-pyrazol-1-yl-pyrimidin-2-yl-4-methoxy-6-morpholinobenzene-1-3-diamine-pa122201018
    [latest_product] => 0
    [linkproducts] => 0
    [offers_id] => 
    [offers_name] => 
    [offers_status] => 
    [offers_start_date] => 
    [offers_end_date] => 
    [pageview] => 
    [offers_slug] => 
    [offers_product_id] => 
    [offers_product_code] => 
    [offers_master_id] => 
    [offer_percentage] => 
    [offers_product_main_cat] => 
)
PA 12 2201018
PA 12 2201018

N1-((1-(2-((5-Amino-2-methoxy-4-morpholinophenyl)amino)pyrimidin-4-yl)-3-phenyl-1H-pyrazol-4-yl)methyl)-N3-(4-(4-((dimethylamino)methyl)-3-phenyl-1H-pyrazol-1-yl)pyrimidin-2-yl)-4-methoxy-6-morpholinobenzene-1,3-diamine


  • Catalogue No.:PA 12 2201018

  • CAS :

    NA

  • Molecular Formula : C52H57N15O4

  • Molecular Weight : 956.13