levocarnitine

Pharmaceutical standards - It is a drug used to treat lack of carnitine(an amino acid derivative used to metabolise lipids in mammals). Levocarnitine is a prescription nutritional supplement given to patients who do not have enough carnitine in their body. Reference standards of Levocarnitine API,and its pharmacopeial, non pharmacopeial impurities, and stable isotopes are listed below.

stdClass Object
(
    [pname] => Levocarnitine
    [catalogue_number] => PA 12 30000
    [category_ids] => ,92,97,78,70,82,
    [chemical_name] => 
    [weight] => 161.20
    [form] => C7H15NO3
    [cas] => 541-15-1
    [pslug] => 541-15-1-levocarnitine-api-pa1230000
    [latest_product] => 0
    [linkproducts] => 1
    [offers_id] => 
    [offers_name] => 
    [offers_status] => 
    [offers_start_date] => 
    [offers_end_date] => 
    [pageview] => 
    [offers_slug] => 
    [offers_product_id] => 
    [offers_product_code] => 
    [offers_master_id] => 
    [offer_percentage] => 
    [offers_product_main_cat] => 
)
PA 12 30000
PA 12 30000

Levocarnitine


  • Catalogue No.:PA 12 30000

  • CAS :

    541-15-1

  • Molecular Formula : C7H15NO3

  • Molecular Weight : 161.20

stdClass Object
(
    [pname] => L-Carnitine-L-tartrate
    [catalogue_number] => PA 12 30510
    [category_ids] => ,78,92,70,
    [chemical_name] => 
    [weight] => 472.48
    [form] => C18H36N2O12
    [cas] => 36687-82-8
    [pslug] => 36687-82-8-l-carnitine-l-tartrate-pa1230510
    [latest_product] => 0
    [linkproducts] => 1
    [offers_id] => 
    [offers_name] => 
    [offers_status] => 
    [offers_start_date] => 
    [offers_end_date] => 
    [pageview] => 
    [offers_slug] => 
    [offers_product_id] => 
    [offers_product_code] => 
    [offers_master_id] => 
    [offer_percentage] => 
    [offers_product_main_cat] => 
)
PA 12 30510
PA 12 30510

L-Carnitine-L-tartrate


  • Catalogue No.:PA 12 30510

  • CAS :

    36687-82-8

  • Molecular Formula : C18H36N2O12

  • Molecular Weight : 472.48

stdClass Object
(
    [pname] => L-Carnitine Hydrochloride
    [catalogue_number] => PA 12 30520
    [category_ids] => ,78,92,
    [chemical_name] => 
    [weight] => 197.66
    [form] => C7H16ClNO3
    [cas] => 6645-46-1
    [pslug] => 6645-46-1-l-carnitine-hydrochloride-pa1230520
    [latest_product] => 0
    [linkproducts] => 1
    [offers_id] => 
    [offers_name] => 
    [offers_status] => 
    [offers_start_date] => 
    [offers_end_date] => 
    [pageview] => 
    [offers_slug] => 
    [offers_product_id] => 
    [offers_product_code] => 
    [offers_master_id] => 
    [offer_percentage] => 
    [offers_product_main_cat] => 
)
PA 12 30520
PA 12 30520

L-Carnitine Hydrochloride


  • Catalogue No.:PA 12 30520

  • CAS :

    6645-46-1

  • Molecular Formula : C7H16ClNO3

  • Molecular Weight : 197.66

stdClass Object
(
    [pname] => L-Carnitine Fumarate
    [catalogue_number] => PA 12 30540
    [category_ids] => ,78,92,75,
    [chemical_name] => 
    [weight] => 277.27
    [form] => C11H19NO7
    [cas] => 90471-79-7
    [pslug] => 90471-79-7-l-carnitine-fumarate-pa1230540
    [latest_product] => 0
    [linkproducts] => 1
    [offers_id] => 
    [offers_name] => 
    [offers_status] => 
    [offers_start_date] => 
    [offers_end_date] => 
    [pageview] => 
    [offers_slug] => 
    [offers_product_id] => 
    [offers_product_code] => 
    [offers_master_id] => 
    [offer_percentage] => 
    [offers_product_main_cat] => 
)
PA 12 30540
PA 12 30540

L-Carnitine Fumarate


  • Catalogue No.:PA 12 30540

  • CAS :

    90471-79-7

  • Molecular Formula : C11H19NO7

  • Molecular Weight : 277.27

stdClass Object
(
    [pname] => Acetyl-L-carnitine Hydrochloride
    [catalogue_number] => PA 12 30550
    [category_ids] => ,82,79,78,70,
    [chemical_name] => 
    [weight] => 239.7
    [form] => C9H18ClNO4
    [cas] => 5080-50-2
    [pslug] => 5080-50-2-acetyl-l-carnitinehydrochloride-pa1230550
    [latest_product] => 0
    [linkproducts] => 0
    [offers_id] => 
    [offers_name] => 
    [offers_status] => 
    [offers_start_date] => 
    [offers_end_date] => 
    [pageview] => 
    [offers_slug] => 
    [offers_product_id] => 
    [offers_product_code] => 
    [offers_master_id] => 
    [offer_percentage] => 
    [offers_product_main_cat] => 
)
PA 12 30550
PA 12 30550

Acetyl-L-carnitine Hydrochloride


  • Catalogue No.:PA 12 30550

  • CAS :

    5080-50-2

  • Molecular Formula : C9H18ClNO4

  • Molecular Weight : 239.7

stdClass Object
(
    [pname] => L-Glutaryl Carnitine-d9 Chloride
    [catalogue_number] => PA STI 045280
    [category_ids] => ,69,76,75,78,70,82,98,
    [chemical_name] => 
    [weight] => 284.35
    [form] => C12H13D9ClNO6
    [cas] => NA
    [pslug] => l-glutaryl-carnitine-d9-chloride-pasti045280
    [latest_product] => 0
    [linkproducts] => 0
    [offers_id] => 
    [offers_name] => 
    [offers_status] => 
    [offers_start_date] => 
    [offers_end_date] => 
    [pageview] => 
    [offers_slug] => 
    [offers_product_id] => 
    [offers_product_code] => 
    [offers_master_id] => 
    [offer_percentage] => 
    [offers_product_main_cat] => 
)
PA STI 045280
PA STI 045280

L-Glutaryl Carnitine-d9 Chloride


  • Catalogue No.:PA STI 045280

  • CAS :

    NA

  • Molecular Formula : C12H13D9ClNO6

  • Molecular Weight : 284.35

stdClass Object
(
    [pname] => 2-Methylbutyryl-L-Carnitine-d3 Chloride
    [catalogue_number] => PA STI 060740
    [category_ids] => ,92,130,98,78,70,82,
    [chemical_name] => 
    [weight] => 284.79
    [form] => C12H21D3ClNO4
    [cas] => NA
    [pslug] => 2-methylbutyryl-l-carnitine-d3-chloride-pasti060740
    [latest_product] => 0
    [linkproducts] => 0
    [offers_id] => 
    [offers_name] => 
    [offers_status] => 
    [offers_start_date] => 
    [offers_end_date] => 
    [pageview] => 
    [offers_slug] => 
    [offers_product_id] => 
    [offers_product_code] => 
    [offers_master_id] => 
    [offer_percentage] => 
    [offers_product_main_cat] => 
)
PA STI 060740
PA STI 060740

2-Methylbutyryl-L-Carnitine-d3 Chloride


  • Catalogue No.:PA STI 060740

  • CAS :

    NA

  • Molecular Formula : C12H21D3ClNO4

  • Molecular Weight : 284.79

stdClass Object
(
    [pname] => 2-Methylbutyryl-L-Carnitine-d9 Chloride
    [catalogue_number] => PA STI 060750
    [category_ids] => ,92,130,98,78,70,82,
    [chemical_name] => 
    [weight] => 290.83
    [form] => C12H15D9ClNO4
    [cas] => NA
    [pslug] => 2-methylbutyryl-l-carnitine-d9-chloride-pasti060750
    [latest_product] => 0
    [linkproducts] => 0
    [offers_id] => 
    [offers_name] => 
    [offers_status] => 
    [offers_start_date] => 
    [offers_end_date] => 
    [pageview] => 
    [offers_slug] => 
    [offers_product_id] => 
    [offers_product_code] => 
    [offers_master_id] => 
    [offer_percentage] => 
    [offers_product_main_cat] => 
)
PA STI 060750
PA STI 060750

2-Methylbutyryl-L-Carnitine-d9 Chloride


  • Catalogue No.:PA STI 060750

  • CAS :

    NA

  • Molecular Formula : C12H15D9ClNO4

  • Molecular Weight : 290.83

stdClass Object
(
    [pname] => (2R)-3-Hydroxyisovaleroyl carnitine tert-butyl ester
    [catalogue_number] => PA 12 0301000
    [category_ids] => ,75,76,78,70,82,
    [chemical_name] => 
    [weight] => 353.88
    [form] => C16H32ClNO5
    [cas] => 1058635-94-1
    [pslug] => 1058635-94-1-2r-3-hydroxyisovaleroyl-carnitine-tert-butyl-ester-pa120301000
    [latest_product] => 0
    [linkproducts] => 0
    [offers_id] => 
    [offers_name] => 
    [offers_status] => 
    [offers_start_date] => 
    [offers_end_date] => 
    [pageview] => 
    [offers_slug] => 
    [offers_product_id] => 
    [offers_product_code] => 
    [offers_master_id] => 
    [offer_percentage] => 
    [offers_product_main_cat] => 
)
PA 12 0301000
PA 12 0301000

(2R)-3-Hydroxyisovaleroyl carnitine tert-butyl ester


  • Catalogue No.:PA 12 0301000

  • CAS :

    1058635-94-1

  • Molecular Formula : C16H32ClNO5

  • Molecular Weight : 353.88

stdClass Object
(
    [pname] => 3-Hydroxyhexadecanoic acid ethyl ester
    [catalogue_number] => PA 12 0301001
    [category_ids] => ,75,76,78,70,82,
    [chemical_name] => 
    [weight] => 300.48
    [form] => C18H36O3
    [cas] => 105918-27-2
    [pslug] => 105918-27-2-3-hydroxyhexadecanoic-acid-ethyl-ester-pa120301001
    [latest_product] => 0
    [linkproducts] => 0
    [offers_id] => 
    [offers_name] => 
    [offers_status] => 
    [offers_start_date] => 
    [offers_end_date] => 
    [pageview] => 
    [offers_slug] => 
    [offers_product_id] => 
    [offers_product_code] => 
    [offers_master_id] => 
    [offer_percentage] => 
    [offers_product_main_cat] => 
)
PA 12 0301001
PA 12 0301001

3-Hydroxyhexadecanoic acid ethyl ester


  • Catalogue No.:PA 12 0301001

  • CAS :

    105918-27-2

  • Molecular Formula : C18H36O3

  • Molecular Weight : 300.48

stdClass Object
(
    [pname] => Levocarnitine - Impuriy B
    [catalogue_number] => PA 12 0300020
    [category_ids] => ,78,75,76,82,
    [chemical_name] => 
    [weight] => 200.23
    [form] => C10H16O4
    [cas] => 306279-95-8
    [pslug] => 306279-95-8-camphoric-acid-pa120300020
    [latest_product] => 0
    [linkproducts] => 0
    [offers_id] => 
    [offers_name] => 
    [offers_status] => 
    [offers_start_date] => 
    [offers_end_date] => 
    [pageview] => 
    [offers_slug] => 
    [offers_product_id] => 
    [offers_product_code] => 
    [offers_master_id] => 
    [offer_percentage] => 
    [offers_product_main_cat] => 
)
PA 12 0300020
PA 12 0300020

Levocarnitine - Impuriy B


  • Catalogue No.:PA 12 0300020

  • CAS :

    306279-95-8

  • Molecular Formula : C10H16O4

  • Molecular Weight : 200.23

stdClass Object
(
    [pname] => Levocarnitine - Impuriy C (Chloride)
    [catalogue_number] => PA 12 0300031
    [category_ids] => ,70,75,76,78,82,
    [chemical_name] => 
    [weight] => 196.68
    [form] => C7H17ClN2O2
    [cas] => 6490-20-6
    [pslug] => 6490-20-6-levocarnitine-impuriy-c-chloride-pa120300031
    [latest_product] => 0
    [linkproducts] => 0
    [offers_id] => 
    [offers_name] => 
    [offers_status] => 
    [offers_start_date] => 
    [offers_end_date] => 
    [pageview] => 
    [offers_slug] => 
    [offers_product_id] => 
    [offers_product_code] => 
    [offers_master_id] => 
    [offer_percentage] => 
    [offers_product_main_cat] => 
)
PA 12 0300031
PA 12 0300031

Levocarnitine - Impuriy C (Chloride)


  • Catalogue No.:PA 12 0300031

  • CAS :

    6490-20-6

  • Molecular Formula : C7H17ClN2O2

  • Molecular Weight : 196.68

stdClass Object
(
    [pname] => Levocarnitine - Impuriy D
    [catalogue_number] => PA 12 0300040
    [category_ids] => ,82,78,76,75,70,
    [chemical_name] => 
    [weight] => 143.21
    [form] => C7H15N2O
    [cas] => 857162-57-3
    [pslug] => 857162-57-3-levocarnitine-impuriy-d-pa120300040
    [latest_product] => 0
    [linkproducts] => 0
    [offers_id] => 
    [offers_name] => 
    [offers_status] => 
    [offers_start_date] => 
    [offers_end_date] => 
    [pageview] => 
    [offers_slug] => 
    [offers_product_id] => 
    [offers_product_code] => 
    [offers_master_id] => 
    [offer_percentage] => 
    [offers_product_main_cat] => 
)
PA 12 0300040
PA 12 0300040

Levocarnitine - Impuriy D


  • Catalogue No.:PA 12 0300040

  • CAS :

    857162-57-3

  • Molecular Formula : C7H15N2O

  • Molecular Weight : 143.21

stdClass Object
(
    [pname] => L-Carnitinenitrile Chloride
    [catalogue_number] => PA 12 0301002
    [category_ids] => ,75,76,78,70,82,
    [chemical_name] => 
    [weight] => 178.66
    [form] => C7H15ClN2O
    [cas] => 2788-28-5
    [pslug] => 2788-28-5-l-carnitinenitrile-chloride-pa120301002
    [latest_product] => 0
    [linkproducts] => 0
    [offers_id] => 
    [offers_name] => 
    [offers_status] => 
    [offers_start_date] => 
    [offers_end_date] => 
    [pageview] => 
    [offers_slug] => 
    [offers_product_id] => 
    [offers_product_code] => 
    [offers_master_id] => 
    [offer_percentage] => 
    [offers_product_main_cat] => 
)
PA 12 0301002
PA 12 0301002

L-Carnitinenitrile Chloride


  • Catalogue No.:PA 12 0301002

  • CAS :

    2788-28-5

  • Molecular Formula : C7H15ClN2O

  • Molecular Weight : 178.66

stdClass Object
(
    [pname] => (Z)-3-carboxy-N,N,N-trimethylprop-2-en-1-aminium chloride
    [catalogue_number] => PA 12 0301003
    [category_ids] => ,75,76,78,70,82,
    [chemical_name] => 
    [weight] => 179.64
    [form] =>  C7H14ClNO2
    [cas] => 835638-57-8
    [pslug] => 835638-57-8-z-3-carboxy-n-n-n-trimethylprop-2-en-1-aminium-chloride-pa120301003
    [latest_product] => 0
    [linkproducts] => 0
    [offers_id] => 
    [offers_name] => 
    [offers_status] => 
    [offers_start_date] => 
    [offers_end_date] => 
    [pageview] => 
    [offers_slug] => 
    [offers_product_id] => 
    [offers_product_code] => 
    [offers_master_id] => 
    [offer_percentage] => 
    [offers_product_main_cat] => 
)
PA 12 0301003
PA 12 0301003

(Z)-3-carboxy-N,N,N-trimethylprop-2-en-1-aminium chloride


  • Catalogue No.:PA 12 0301003

  • CAS :

    835638-57-8

  • Molecular Formula : C7H14ClNO2

  • Molecular Weight : 179.64

stdClass Object
(
    [pname] => (Z)-4-(Trimethylammonio)but-2-enoate
    [catalogue_number] => PA 12 0301004
    [category_ids] => ,75,76,78,70,82,
    [chemical_name] => 
    [weight] => 143.19
    [form] => C7H13NO2
    [cas] => 1440950-65-1
    [pslug] => 1440950-65-1-z-4-trimethylammonio-but-2-enoate-pa120301004
    [latest_product] => 0
    [linkproducts] => 0
    [offers_id] => 
    [offers_name] => 
    [offers_status] => 
    [offers_start_date] => 
    [offers_end_date] => 
    [pageview] => 
    [offers_slug] => 
    [offers_product_id] => 
    [offers_product_code] => 
    [offers_master_id] => 
    [offer_percentage] => 
    [offers_product_main_cat] => 
)
PA 12 0301004
PA 12 0301004

(Z)-4-(Trimethylammonio)but-2-enoate


  • Catalogue No.:PA 12 0301004

  • CAS :

    1440950-65-1

  • Molecular Formula : C7H13NO2

  • Molecular Weight : 143.19

stdClass Object
(
    [pname] => 1-Propanaminium, 3-chloro-2-hydroxy-N,N,N-trimethyl-, chloride, (2S)-, compd. with (1R)-[1,1′-binaphthalene]-2,2′-diol
    [catalogue_number] => PA 12 0301006
    [category_ids] => ,75,76,78,70,82,
    [chemical_name] => 
    [weight] => 474.42
    [form] => C26H29Cl2NO3
    [cas] => 765950-50-3
    [pslug] => 765950-50-3-1-propanaminium-3-chloro-2-hydroxy-n-n-n-trimethyl-chloride-2s-compd-with-1r-1-1-binaphthalene-2-2-diol-pa120301006
    [latest_product] => 0
    [linkproducts] => 0
    [offers_id] => 
    [offers_name] => 
    [offers_status] => 
    [offers_start_date] => 
    [offers_end_date] => 
    [pageview] => 
    [offers_slug] => 
    [offers_product_id] => 
    [offers_product_code] => 
    [offers_master_id] => 
    [offer_percentage] => 
    [offers_product_main_cat] => 
)
PA 12 0301006
PA 12 0301006

1-Propanaminium, 3-chloro-2-hydroxy-N,N,N-trimethyl-, chloride, (2S)-, compd. with (1R)-[1,1′-binaphthalene]-2,2′-diol


  • Catalogue No.:PA 12 0301006

  • CAS :

    765950-50-3

  • Molecular Formula : C26H29Cl2NO3

  • Molecular Weight : 474.42

stdClass Object
(
    [pname] => Propionylcarnitine
    [catalogue_number] => PA 12 0301007
    [category_ids] => ,173,70,75,76,78,82,
    [chemical_name] => 
    [weight] => 217.27
    [form] => C10H19NO4
    [cas] => 17298-37-2
    [pslug] => 17298-37-2-propionylcarnitine-pa120301007
    [latest_product] => 0
    [linkproducts] => 0
    [offers_id] => 
    [offers_name] => 
    [offers_status] => 
    [offers_start_date] => 
    [offers_end_date] => 
    [pageview] => 
    [offers_slug] => 
    [offers_product_id] => 
    [offers_product_code] => 
    [offers_master_id] => 
    [offer_percentage] => 
    [offers_product_main_cat] => 
)
PA 12 0301007
PA 12 0301007

Propionylcarnitine


  • Catalogue No.:PA 12 0301007

  • CAS :

    17298-37-2

  • Molecular Formula : C10H19NO4

  • Molecular Weight : 217.27

stdClass Object
(
    [pname] => (±)-Propionylcarnitine Chloride
    [catalogue_number] => PA 12 0301008
    [category_ids] => ,75,76,78,70,82,
    [chemical_name] => 
    [weight] => 253.72
    [form] => C10H20ClNO4
    [cas] => 18828-58-5
    [pslug] => 18828-58-5-propionylcarnitine-chloride-pa120301008
    [latest_product] => 0
    [linkproducts] => 0
    [offers_id] => 
    [offers_name] => 
    [offers_status] => 
    [offers_start_date] => 
    [offers_end_date] => 
    [pageview] => 
    [offers_slug] => 
    [offers_product_id] => 
    [offers_product_code] => 
    [offers_master_id] => 
    [offer_percentage] => 
    [offers_product_main_cat] => 
)
PA 12 0301008
PA 12 0301008

(±)-Propionylcarnitine Chloride


  • Catalogue No.:PA 12 0301008

  • CAS :

    18828-58-5

  • Molecular Formula : C10H20ClNO4

  • Molecular Weight : 253.72

stdClass Object
(
    [pname] => L-Carnitine-d9
    [catalogue_number] => PA STI 089212
    [category_ids] => ,98,75,76,78,70,82,
    [chemical_name] => 
    [weight] => 170.26
    [form] => C7H6D9NO3
    [cas] => 126827-79-0
    [pslug] => 126827-79-0-l-carnitine-d9-pasti089212
    [latest_product] => 0
    [linkproducts] => 0
    [offers_id] => 
    [offers_name] => 
    [offers_status] => 
    [offers_start_date] => 
    [offers_end_date] => 
    [pageview] => 
    [offers_slug] => 
    [offers_product_id] => 
    [offers_product_code] => 
    [offers_master_id] => 
    [offer_percentage] => 
    [offers_product_main_cat] => 
)
PA STI 089212
PA STI 089212

L-Carnitine-d9


  • Catalogue No.:PA STI 089212

  • CAS :

    126827-79-0

  • Molecular Formula : C7H6D9NO3

  • Molecular Weight : 170.26

stdClass Object
(
    [pname] => Isovalerylcarnitine
    [catalogue_number] => PA 12 0301009
    [category_ids] => ,75,76,78,70,82,
    [chemical_name] => 
    [weight] => 245.32
    [form] => C12H23NO4
    [cas] => 31023-24-2
    [pslug] => 31023-24-2-isovalerylcarnitine-pa120301009
    [latest_product] => 0
    [linkproducts] => 0
    [offers_id] => 
    [offers_name] => 
    [offers_status] => 
    [offers_start_date] => 
    [offers_end_date] => 
    [pageview] => 
    [offers_slug] => 
    [offers_product_id] => 
    [offers_product_code] => 
    [offers_master_id] => 
    [offer_percentage] => 
    [offers_product_main_cat] => 
)
PA 12 0301009
PA 12 0301009

Isovalerylcarnitine


  • Catalogue No.:PA 12 0301009

  • CAS :

    31023-24-2

  • Molecular Formula : C12H23NO4

  • Molecular Weight : 245.32

stdClass Object
(
    [pname] => Decanoyl-L-carnitine-d3 Chloride
    [catalogue_number] => PA STI 089282
    [category_ids] => ,98,75,76,78,70,82,
    [chemical_name] => 
    [weight] => 354.93
    [form] => C17H31D3ClNO4
    [cas] => 2483831-87-2
    [pslug] => 2483831-87-2-decanoyl-l-carnitine-d3-chloride-pasti089282
    [latest_product] => 0
    [linkproducts] => 0
    [offers_id] => 
    [offers_name] => 
    [offers_status] => 
    [offers_start_date] => 
    [offers_end_date] => 
    [pageview] => 
    [offers_slug] => 
    [offers_product_id] => 
    [offers_product_code] => 
    [offers_master_id] => 
    [offer_percentage] => 
    [offers_product_main_cat] => 
)
PA STI 089282
PA STI 089282

Decanoyl-L-carnitine-d3 Chloride


  • Catalogue No.:PA STI 089282

  • CAS :

    2483831-87-2

  • Molecular Formula : C17H31D3ClNO4

  • Molecular Weight : 354.93

stdClass Object
(
    [pname] => (2E)-3-Carboxy-N,N,N-trimethyl-2-propen-1-aminium Chloride
    [catalogue_number] => PA 12 0301010
    [category_ids] => ,92,97,78,70,82,
    [chemical_name] => 
    [weight] => 179.64
    [form] => C7H14ClNO2
    [cas] => 144205-67-4
    [pslug] => 144205-67-4-2e-3-carboxy-n-n-n-trimethyl-2-propen-1-aminium-chloride-pa120301010
    [latest_product] => 0
    [linkproducts] => 0
    [offers_id] => 
    [offers_name] => 
    [offers_status] => 
    [offers_start_date] => 
    [offers_end_date] => 
    [pageview] => 
    [offers_slug] => 
    [offers_product_id] => 
    [offers_product_code] => 
    [offers_master_id] => 
    [offer_percentage] => 
    [offers_product_main_cat] => 
)
PA 12 0301010
PA 12 0301010

(2E)-3-Carboxy-N,N,N-trimethyl-2-propen-1-aminium Chloride


  • Catalogue No.:PA 12 0301010

  • CAS :

    144205-67-4

  • Molecular Formula : C7H14ClNO2

  • Molecular Weight : 179.64

stdClass Object
(
    [pname] => D-Camphoric Acid
    [catalogue_number] => PA 12 0301011
    [category_ids] => ,78,75,76,82,
    [chemical_name] => 
    [weight] => 200.23
    [form] => C10H16O4
    [cas] => 124-83-4
    [pslug] => 124-83-4-d-camphoric-acid-pa120301011
    [latest_product] => 0
    [linkproducts] => 0
    [offers_id] => 
    [offers_name] => 
    [offers_status] => 
    [offers_start_date] => 
    [offers_end_date] => 
    [pageview] => 
    [offers_slug] => 
    [offers_product_id] => 
    [offers_product_code] => 
    [offers_master_id] => 
    [offer_percentage] => 
    [offers_product_main_cat] => 
)
PA 12 0301011
PA 12 0301011

D-Camphoric Acid


  • Catalogue No.:PA 12 0301011

  • CAS :

    124-83-4

  • Molecular Formula : C10H16O4

  • Molecular Weight : 200.23

stdClass Object
(
    [pname] => L-Acetylcarnitine
    [catalogue_number] => PA 12 0301012
    [category_ids] => ,173,70,78,82,92,97,
    [chemical_name] => 
    [weight] => 203.24
    [form] => C9H17NO4
    [cas] => 3040-38-8
    [pslug] => 3040-38-8-l-acetylcarnitine-pa120301012
    [latest_product] => 0
    [linkproducts] => 0
    [offers_id] => 
    [offers_name] => 
    [offers_status] => 
    [offers_start_date] => 
    [offers_end_date] => 
    [pageview] => 
    [offers_slug] => 
    [offers_product_id] => 
    [offers_product_code] => 
    [offers_master_id] => 
    [offer_percentage] => 
    [offers_product_main_cat] => 
)
PA 12 0301012
PA 12 0301012

L-Acetylcarnitine


  • Catalogue No.:PA 12 0301012

  • CAS :

    3040-38-8

  • Molecular Formula : C9H17NO4

  • Molecular Weight : 203.24

stdClass Object
(
    [pname] => Propionyl-L-carnitine
    [catalogue_number] => PA 12 0301013
    [category_ids] => ,92,97,78,70,82,
    [chemical_name] => 
    [weight] => 217.27
    [form] => C10H19NO4
    [cas] => 20064-19-1
    [pslug] => 20064-19-1-propionyl-l-carnitine-pa120301013
    [latest_product] => 0
    [linkproducts] => 0
    [offers_id] => 
    [offers_name] => 
    [offers_status] => 
    [offers_start_date] => 
    [offers_end_date] => 
    [pageview] => 
    [offers_slug] => 
    [offers_product_id] => 
    [offers_product_code] => 
    [offers_master_id] => 
    [offer_percentage] => 
    [offers_product_main_cat] => 
)
PA 12 0301013
PA 12 0301013

Propionyl-L-carnitine


  • Catalogue No.:PA 12 0301013

  • CAS :

    20064-19-1

  • Molecular Formula : C10H19NO4

  • Molecular Weight : 217.27

stdClass Object
(
    [pname] => Tiglylcarnitine
    [catalogue_number] => PA 12 0301014
    [category_ids] => ,92,97,78,70,82,
    [chemical_name] => 
    [weight] => 243.3
    [form] => C12H21NO4
    [cas] => 64681-36-3
    [pslug] => 64681-36-3-tiglylcarnitine-pa120301014
    [latest_product] => 0
    [linkproducts] => 0
    [offers_id] => 
    [offers_name] => 
    [offers_status] => 
    [offers_start_date] => 
    [offers_end_date] => 
    [pageview] => 
    [offers_slug] => 
    [offers_product_id] => 
    [offers_product_code] => 
    [offers_master_id] => 
    [offer_percentage] => 
    [offers_product_main_cat] => 
)
PA 12 0301014
PA 12 0301014

Tiglylcarnitine


  • Catalogue No.:PA 12 0301014

  • CAS :

    64681-36-3

  • Molecular Formula : C12H21NO4

  • Molecular Weight : 243.3

stdClass Object
(
    [pname] => Glutarylcarnitine
    [catalogue_number] => PA 12 0301015
    [category_ids] => ,92,97,78,70,82,
    [chemical_name] => 
    [weight] => 275.3
    [form] => C12H21NO6
    [cas] => 102636-82-8
    [pslug] => 102636-82-8-glutarylcarnitine-pa120301015
    [latest_product] => 0
    [linkproducts] => 0
    [offers_id] => 
    [offers_name] => 
    [offers_status] => 
    [offers_start_date] => 
    [offers_end_date] => 
    [pageview] => 
    [offers_slug] => 
    [offers_product_id] => 
    [offers_product_code] => 
    [offers_master_id] => 
    [offer_percentage] => 
    [offers_product_main_cat] => 
)
PA 12 0301015
PA 12 0301015

Glutarylcarnitine


  • Catalogue No.:PA 12 0301015

  • CAS :

    102636-82-8

  • Molecular Formula : C12H21NO6

  • Molecular Weight : 275.3

stdClass Object
(
    [pname] => L-Octanoylcarnitine
    [catalogue_number] => PA 12 0301016
    [category_ids] => ,92,97,78,70,82,
    [chemical_name] => 
    [weight] => 287.4
    [form] => C15H29NO4
    [cas] => 25243-95-2
    [pslug] => 25243-95-2-l-octanoylcarnitine-pa120301016
    [latest_product] => 0
    [linkproducts] => 0
    [offers_id] => 
    [offers_name] => 
    [offers_status] => 
    [offers_start_date] => 
    [offers_end_date] => 
    [pageview] => 
    [offers_slug] => 
    [offers_product_id] => 
    [offers_product_code] => 
    [offers_master_id] => 
    [offer_percentage] => 
    [offers_product_main_cat] => 
)
PA 12 0301016
PA 12 0301016

L-Octanoylcarnitine


  • Catalogue No.:PA 12 0301016

  • CAS :

    25243-95-2

  • Molecular Formula : C15H29NO4

  • Molecular Weight : 287.4

stdClass Object
(
    [pname] => Decanoyl-L-carnitine Chloride
    [catalogue_number] => PA 12 0301017
    [category_ids] => ,92,97,78,70,82,
    [chemical_name] => 
    [weight] => 351.91
    [form] => C17H34ClNO4
    [cas] => 369651-88-7
    [pslug] => 369651-88-7-decanoyl-l-carnitine-chloride-pa120301017
    [latest_product] => 0
    [linkproducts] => 0
    [offers_id] => 
    [offers_name] => 
    [offers_status] => 
    [offers_start_date] => 
    [offers_end_date] => 
    [pageview] => 
    [offers_slug] => 
    [offers_product_id] => 
    [offers_product_code] => 
    [offers_master_id] => 
    [offer_percentage] => 
    [offers_product_main_cat] => 
)
PA 12 0301017
PA 12 0301017

Decanoyl-L-carnitine Chloride


  • Catalogue No.:PA 12 0301017

  • CAS :

    369651-88-7

  • Molecular Formula : C17H34ClNO4

  • Molecular Weight : 351.91

stdClass Object
(
    [pname] => 2-Carbamoylbenzenesulfonic Acid
    [catalogue_number] => PA 12 0301018
    [category_ids] => ,92,97,78,70,82,
    [chemical_name] => 
    [weight] => 201.2
    [form] => C7H7NO4S
    [cas] => 41363-39-7
    [pslug] => 41363-39-7-2-carbamoylbenzenesulfonic-acid-pa120301018
    [latest_product] => 0
    [linkproducts] => 0
    [offers_id] => 
    [offers_name] => 
    [offers_status] => 
    [offers_start_date] => 
    [offers_end_date] => 
    [pageview] => 
    [offers_slug] => 
    [offers_product_id] => 
    [offers_product_code] => 
    [offers_master_id] => 
    [offer_percentage] => 
    [offers_product_main_cat] => 
)
PA 12 0301018
PA 12 0301018

2-Carbamoylbenzenesulfonic Acid


  • Catalogue No.:PA 12 0301018

  • CAS :

    41363-39-7

  • Molecular Formula : C7H7NO4S

  • Molecular Weight : 201.2

stdClass Object
(
    [pname] => trans-Crotonobetaine
    [catalogue_number] => PA 12 0301019
    [category_ids] => ,75,76,78,70,82,
    [chemical_name] => 
    [weight] => 143.19
    [form] => C7H13NO2
    [cas] => 6778-30-9
    [pslug] => 6778-30-9-trans-crotonobetaine-pa120301019
    [latest_product] => 0
    [linkproducts] => 0
    [offers_id] => 
    [offers_name] => 
    [offers_status] => 
    [offers_start_date] => 
    [offers_end_date] => 
    [pageview] => 
    [offers_slug] => 
    [offers_product_id] => 
    [offers_product_code] => 
    [offers_master_id] => 
    [offer_percentage] => 
    [offers_product_main_cat] => 
)
PA 12 0301019
PA 12 0301019

trans-Crotonobetaine


  • Catalogue No.:PA 12 0301019

  • CAS :

    6778-30-9

  • Molecular Formula : C7H13NO2

  • Molecular Weight : 143.19

stdClass Object
(
    [pname] => Oleoylcarnitine
    [catalogue_number] => PA 12 0301020
    [category_ids] => ,92,97,78,70,82,
    [chemical_name] => 
    [weight] => 425.65
    [form] => C25H47NO4
    [cas] => 38677-66-6
    [pslug] => 38677-66-6-oleoylcarnitine-pa120301020
    [latest_product] => 0
    [linkproducts] => 0
    [offers_id] => 
    [offers_name] => 
    [offers_status] => 
    [offers_start_date] => 
    [offers_end_date] => 
    [pageview] => 
    [offers_slug] => 
    [offers_product_id] => 
    [offers_product_code] => 
    [offers_master_id] => 
    [offer_percentage] => 
    [offers_product_main_cat] => 
)
PA 12 0301020
PA 12 0301020

Oleoylcarnitine


  • Catalogue No.:PA 12 0301020

  • CAS :

    38677-66-6

  • Molecular Formula : C25H47NO4

  • Molecular Weight : 425.65

stdClass Object
(
    [pname] => (S)-2,3-Dihydroxy-N,N,N-trimethylpropan-1-aminium Chloride
    [catalogue_number] => PA 12 0301021
    [category_ids] => ,92,97,78,70,82,
    [chemical_name] => 
    [weight] => 169.65
    [form] => C6H16ClNO2
    [cas] => 115589-48-5
    [pslug] => 115589-48-5-s-2-3-dihydroxy-n-n-n-trimethylpropan-1-aminium-chloride-pa120301021
    [latest_product] => 0
    [linkproducts] => 0
    [offers_id] => 
    [offers_name] => 
    [offers_status] => 
    [offers_start_date] => 
    [offers_end_date] => 
    [pageview] => 
    [offers_slug] => 
    [offers_product_id] => 
    [offers_product_code] => 
    [offers_master_id] => 
    [offer_percentage] => 
    [offers_product_main_cat] => 
)
PA 12 0301021
PA 12 0301021

(S)-2,3-Dihydroxy-N,N,N-trimethylpropan-1-aminium Chloride


  • Catalogue No.:PA 12 0301021

  • CAS :

    115589-48-5

  • Molecular Formula : C6H16ClNO2

  • Molecular Weight : 169.65

stdClass Object
(
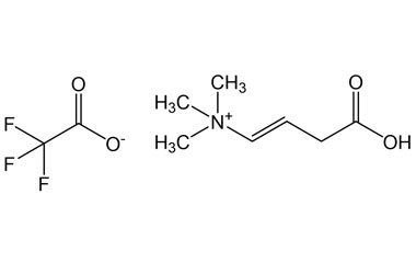
    [pname] => (E)-3-Carboxy-N,N,N-trimethylprop-1-en-1-aminium 2,2,2-trifluoroacetate
    [catalogue_number] => PA 12 0301022
    [category_ids] => ,92,97,78,70,82,
    [chemical_name] => 
    [weight] => 257.21
    [form] => C9H14F3NO4
    [cas] => NA
    [pslug] => e-3-carboxy-n-n-n-trimethylprop-1-en-1-aminium-2-2-2-trifluoroacetate-pa120301022
    [latest_product] => 0
    [linkproducts] => 0
    [offers_id] => 
    [offers_name] => 
    [offers_status] => 
    [offers_start_date] => 
    [offers_end_date] => 
    [pageview] => 
    [offers_slug] => 
    [offers_product_id] => 
    [offers_product_code] => 
    [offers_master_id] => 
    [offer_percentage] => 
    [offers_product_main_cat] => 
)
PA 12 0301022
PA 12 0301022

(E)-3-Carboxy-N,N,N-trimethylprop-1-en-1-aminium 2,2,2-trifluoroacetate


  • Catalogue No.:PA 12 0301022

  • CAS :

    NA

  • Molecular Formula : C9H14F3NO4

  • Molecular Weight : 257.21

stdClass Object
(
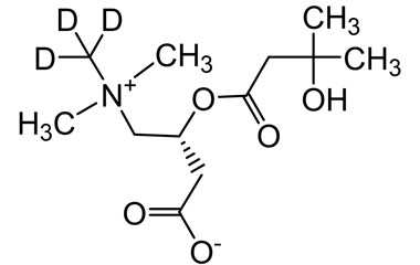
    [pname] => (2R)-3-Hydroxyisovaleroyl-d3 Carnitine
    [catalogue_number] => PA STI 090233
    [category_ids] => ,98,75,76,78,70,82,
    [chemical_name] => 
    [weight] => 264.34
    [form] => C12H20D3NO5
    [cas] => 1058636-00-2
    [pslug] => 1058636-00-2-2r-3-hydroxyisovaleroyl-d3-carnitine-pasti090233
    [latest_product] => 0
    [linkproducts] => 0
    [offers_id] => 
    [offers_name] => 
    [offers_status] => 
    [offers_start_date] => 
    [offers_end_date] => 
    [pageview] => 
    [offers_slug] => 
    [offers_product_id] => 
    [offers_product_code] => 
    [offers_master_id] => 
    [offer_percentage] => 
    [offers_product_main_cat] => 
)
PA STI 090233
PA STI 090233

(2R)-3-Hydroxyisovaleroyl-d3 Carnitine


  • Catalogue No.:PA STI 090233

  • CAS :

    1058636-00-2

  • Molecular Formula : C12H20D3NO5

  • Molecular Weight : 264.34

stdClass Object
(
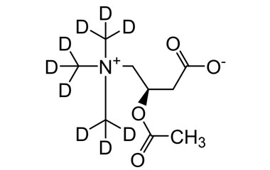
    [pname] => Acetyl-L-carnitine-d9
    [catalogue_number] => PA STI 090214
    [category_ids] => ,173,98,75,76,78,70,82,
    [chemical_name] => 
    [weight] => 212.29
    [form] =>  C9H8D9NO4
    [cas] => 203805-90-7
    [pslug] => 203805-90-7-acetyl-l-carnitine-d9-pasti090214
    [latest_product] => 0
    [linkproducts] => 0
    [offers_id] => 
    [offers_name] => 
    [offers_status] => 
    [offers_start_date] => 
    [offers_end_date] => 
    [pageview] => 
    [offers_slug] => 
    [offers_product_id] => 
    [offers_product_code] => 
    [offers_master_id] => 
    [offer_percentage] => 
    [offers_product_main_cat] => 
)
PA STI 090214
PA STI 090214

Acetyl-L-carnitine-d9


  • Catalogue No.:PA STI 090214

  • CAS :

    203805-90-7

  • Molecular Formula : C9H8D9NO4

  • Molecular Weight : 212.29

stdClass Object
(
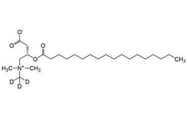
    [pname] => Stearoyl-L-carnitine-d3
    [catalogue_number] => PA STI 090217
    [category_ids] => ,173,98,75,76,78,70,82,
    [chemical_name] => 
    [weight] => 430.69
    [form] => C25H46D3NO4
    [cas] => 1021439-31-5
    [pslug] => 1021439-31-5-stearoyl-l-carnitine-d3-pasti090217
    [latest_product] => 0
    [linkproducts] => 0
    [offers_id] => 
    [offers_name] => 
    [offers_status] => 
    [offers_start_date] => 
    [offers_end_date] => 
    [pageview] => 
    [offers_slug] => 
    [offers_product_id] => 
    [offers_product_code] => 
    [offers_master_id] => 
    [offer_percentage] => 
    [offers_product_main_cat] => 
)
PA STI 090217
PA STI 090217

Stearoyl-L-carnitine-d3


  • Catalogue No.:PA STI 090217

  • CAS :

    1021439-31-5

  • Molecular Formula : C25H46D3NO4

  • Molecular Weight : 430.69

stdClass Object
(
    [pname] => Carnitine palmitoyltransferase 2
    [catalogue_number] => PA 12 0301024
    [category_ids] => ,173,97,81,98,78,70,82,
    [chemical_name] => 
    [weight] => NA
    [form] => NA
    [cas] => 1670277-66-3
    [pslug] => 1670277-66-3-carnitine-palmitoyltransferase-2-pa120301024
    [latest_product] => 0
    [linkproducts] => 0
    [offers_id] => 
    [offers_name] => 
    [offers_status] => 
    [offers_start_date] => 
    [offers_end_date] => 
    [pageview] => 
    [offers_slug] => 
    [offers_product_id] => 
    [offers_product_code] => 
    [offers_master_id] => 
    [offer_percentage] => 
    [offers_product_main_cat] => 
)
PA 12 0301024
PA 12 0301024

Carnitine palmitoyltransferase 2


  • Catalogue No.:PA 12 0301024

  • CAS :

    1670277-66-3

  • Molecular Formula : NA

  • Molecular Weight : NA

stdClass Object
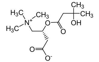
(
    [pname] => 3-Hydroxyisovalerylcarnitine
    [catalogue_number] => PA 12 0301025
    [category_ids] => ,173,97,81,98,78,70,82,
    [chemical_name] => 
    [weight] => 261.32
    [form] => C12H23NO5
    [cas] => 99159-87-2
    [pslug] => 99159-87-2-3-hydroxyisovalerylcarnitine-pa120301025
    [latest_product] => 0
    [linkproducts] => 0
    [offers_id] => 
    [offers_name] => 
    [offers_status] => 
    [offers_start_date] => 
    [offers_end_date] => 
    [pageview] => 
    [offers_slug] => 
    [offers_product_id] => 
    [offers_product_code] => 
    [offers_master_id] => 
    [offer_percentage] => 
    [offers_product_main_cat] => 
)
PA 12 0301025
PA 12 0301025

3-Hydroxyisovalerylcarnitine


  • Catalogue No.:PA 12 0301025

  • CAS :

    99159-87-2

  • Molecular Formula : C12H23NO5

  • Molecular Weight : 261.32

stdClass Object
(
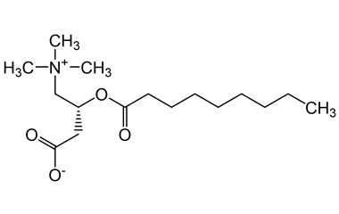
    [pname] => Nonanoylcarnitine
    [catalogue_number] => PA 12 0301023
    [category_ids] => ,173,97,81,98,78,70,82,
    [chemical_name] => 
    [weight] => 301.43
    [form] =>  C16H31NO4
    [cas] => 151109-67-0
    [pslug] => 151109-67-0-nonanoylcarnitine-pa120301023
    [latest_product] => 0
    [linkproducts] => 0
    [offers_id] => 
    [offers_name] => 
    [offers_status] => 
    [offers_start_date] => 
    [offers_end_date] => 
    [pageview] => 
    [offers_slug] => 
    [offers_product_id] => 
    [offers_product_code] => 
    [offers_master_id] => 
    [offer_percentage] => 
    [offers_product_main_cat] => 
)
PA 12 0301023
PA 12 0301023

Nonanoylcarnitine


  • Catalogue No.:PA 12 0301023

  • CAS :

    151109-67-0

  • Molecular Formula : C16H31NO4

  • Molecular Weight : 301.43