Luteolin

Pharmaceutical standards - Luteolin is a common flavonoid that exists in many types of plants including fruits, vegetables, and medicinal herbs. It is a flavone, a type of flavonoid, with a yellow crystalline appearance.Reference standards of Luteolin API, and its pharmacopeial, non pharmacopeial impurities, and stable isotopes are listed below.

stdClass Object
(
    [pname] => Luteolin
    [catalogue_number] => PA 65 03000
    [category_ids] => ,78,117,81,
    [chemical_name] => 
    [weight] => 286.24
    [form] => C15H10O6
    [cas] => 491-70-3
    [pslug] => 491-70-3-luteolin-api-pa6503000
    [latest_product] => 0
    [linkproducts] => 0
    [offers_id] => 
    [offers_name] => 
    [offers_status] => 
    [offers_start_date] => 
    [offers_end_date] => 
    [pageview] => 
    [offers_slug] => 
    [offers_product_id] => 
    [offers_product_code] => 
    [offers_master_id] => 
    [offer_percentage] => 
    [offers_product_main_cat] => 
)
PA 65 03000
PA 65 03000

Luteolin


  • Catalogue No.:PA 65 03000

  • CAS :

    491-70-3

  • Molecular Formula : C15H10O6

  • Molecular Weight : 286.24

stdClass Object
(
    [pname] => 2-(3,4-Dihydroxyphenyl)-5,7-dihydroxy-8-((2S,3S,5R,6R)-5-hydroxy-6-methyl-4-oxo-3-(((2S,3R,4R,5R,6S)-3,4,5-trihydroxy-6-methyltetrahydro-2H-pyran-2-yl)oxy)tetrahydro-2H-pyran-2-yl)-4H-chromen-4-one
    [catalogue_number] => PA 65 03510
    [category_ids] => ,78,70,82,
    [chemical_name] => 
    [weight] => 576.51
    [form] => C27H28O14
    [cas] => 933463-03-7
    [pslug] => 933463-03-7-2-3-4-dihydroxyphenyl-5-7-dihydroxy-8-2s-3s-5r-6r-5-hydroxy-6-methyl-4-oxo-3-2s-3r-4r-5r-6s-3-4-5-trihydroxy-6-methyltetrahydro-2h-pyran-2-yl-oxy-tetrahydro-2h-pyran-2-yl-4h-chromen-4-one-pa6503510
    [latest_product] => 0
    [linkproducts] => 0
    [offers_id] => 
    [offers_name] => 
    [offers_status] => 
    [offers_start_date] => 
    [offers_end_date] => 
    [pageview] => 
    [offers_slug] => 
    [offers_product_id] => 
    [offers_product_code] => 
    [offers_master_id] => 
    [offer_percentage] => 
    [offers_product_main_cat] => 
)
PA 65 03510
PA 65 03510

2-(3,4-Dihydroxyphenyl)-5,7-dihydroxy-8-((2S,3S,5R,6R)-5-hydroxy-6-methyl-4-oxo-3-(((2S,3R,4R,5R,6S)-3,4,5-trihydroxy-6-methyltetrahydro-2H-pyran-2-yl)oxy)tetrahydro-2H-pyran-2-yl)-4H-chromen-4-one


  • Catalogue No.:PA 65 03510

  • CAS :

    933463-03-7

  • Molecular Formula : C27H28O14

  • Molecular Weight : 576.51

stdClass Object
(
    [pname] => 2-(3,4-Dihydroxyphenyl)-5,7-dimethoxy-4H-chromen-4-one
    [catalogue_number] => PA 65 03520
    [category_ids] => ,78,70,82,
    [chemical_name] => 
    [weight] => 314.29
    [form] => C17H14O6
    [cas] => 90363-40-9
    [pslug] => 90363-40-9-2-3-4-dihydroxyphenyl-5-7-dimethoxy-4h-chromen-4-one-pa6503520
    [latest_product] => 0
    [linkproducts] => 0
    [offers_id] => 
    [offers_name] => 
    [offers_status] => 
    [offers_start_date] => 
    [offers_end_date] => 
    [pageview] => 
    [offers_slug] => 
    [offers_product_id] => 
    [offers_product_code] => 
    [offers_master_id] => 
    [offer_percentage] => 
    [offers_product_main_cat] => 
)
PA 65 03520
PA 65 03520

2-(3,4-Dihydroxyphenyl)-5,7-dimethoxy-4H-chromen-4-one


  • Catalogue No.:PA 65 03520

  • CAS :

    90363-40-9

  • Molecular Formula : C17H14O6

  • Molecular Weight : 314.29

stdClass Object
(
    [pname] => 2-(3-Hydroxy-4-methoxyphenyl)-5,7-dimethoxy-4H-chromen-4-one
    [catalogue_number] => PA 65 03530
    [category_ids] => ,78,70,82,
    [chemical_name] => 
    [weight] => 328.32
    [form] => C18H16O6
    [cas] => 33554-52-8
    [pslug] => 33554-52-8-2-3-hydroxy-4-methoxyphenyl-5-7-dimethoxy-4h-chromen-4-one-pa6503530
    [latest_product] => 0
    [linkproducts] => 0
    [offers_id] => 
    [offers_name] => 
    [offers_status] => 
    [offers_start_date] => 
    [offers_end_date] => 
    [pageview] => 
    [offers_slug] => 
    [offers_product_id] => 
    [offers_product_code] => 
    [offers_master_id] => 
    [offer_percentage] => 
    [offers_product_main_cat] => 
)
PA 65 03530
PA 65 03530

2-(3-Hydroxy-4-methoxyphenyl)-5,7-dimethoxy-4H-chromen-4-one


  • Catalogue No.:PA 65 03530

  • CAS :

    33554-52-8

  • Molecular Formula : C18H16O6

  • Molecular Weight : 328.32

stdClass Object
(
    [pname] => 2-(4-Hydroxy-3-methoxyphenyl)-5,7-dimethoxy-4H-chromen-4-one
    [catalogue_number] => PA 65 03540
    [category_ids] => ,78,70,82,
    [chemical_name] => 
    [weight] => 328.32
    [form] => C18H16O6
    [cas] => 1239-68-5
    [pslug] => 1239-68-5-2-4-hydroxy-3-methoxyphenyl-5-7-dimethoxy-4h-chromen-4-one-pa6503540
    [latest_product] => 0
    [linkproducts] => 0
    [offers_id] => 
    [offers_name] => 
    [offers_status] => 
    [offers_start_date] => 
    [offers_end_date] => 
    [pageview] => 
    [offers_slug] => 
    [offers_product_id] => 
    [offers_product_code] => 
    [offers_master_id] => 
    [offer_percentage] => 
    [offers_product_main_cat] => 
)
PA 65 03540
PA 65 03540

2-(4-Hydroxy-3-methoxyphenyl)-5,7-dimethoxy-4H-chromen-4-one


  • Catalogue No.:PA 65 03540

  • CAS :

    1239-68-5

  • Molecular Formula : C18H16O6

  • Molecular Weight : 328.32

stdClass Object
(
    [pname] => Luteolin Tetramethylether
    [catalogue_number] => PA 65 03550
    [category_ids] => ,78,70,82,
    [chemical_name] => 
    [weight] => 342.35
    [form] => C19H18O6
    [cas] => 855-97-0
    [pslug] => 855-97-0-luteolin-tetramethylether-pa6503550
    [latest_product] => 0
    [linkproducts] => 0
    [offers_id] => 
    [offers_name] => 
    [offers_status] => 
    [offers_start_date] => 
    [offers_end_date] => 
    [pageview] => 
    [offers_slug] => 
    [offers_product_id] => 
    [offers_product_code] => 
    [offers_master_id] => 
    [offer_percentage] => 
    [offers_product_main_cat] => 
)
PA 65 03550
PA 65 03550

Luteolin Tetramethylether


  • Catalogue No.:PA 65 03550

  • CAS :

    855-97-0

  • Molecular Formula : C19H18O6

  • Molecular Weight : 342.35

stdClass Object
(
    [pname] => 2-(3,4-Dihydroxyphenyl)-7-hydroxy-5-methoxy-4H-chromen-4-one
    [catalogue_number] => PA 65 03560
    [category_ids] => ,78,70,82,
    [chemical_name] => 
    [weight] => 300.27
    [form] => C16H12O6
    [cas] => 58115-29-0
    [pslug] => 58115-29-0-2-3-4-dihydroxyphenyl-7-hydroxy-5-methoxy-4h-chromen-4-one-pa6503560
    [latest_product] => 0
    [linkproducts] => 0
    [offers_id] => 
    [offers_name] => 
    [offers_status] => 
    [offers_start_date] => 
    [offers_end_date] => 
    [pageview] => 
    [offers_slug] => 
    [offers_product_id] => 
    [offers_product_code] => 
    [offers_master_id] => 
    [offer_percentage] => 
    [offers_product_main_cat] => 
)
PA 65 03560
PA 65 03560

2-(3,4-Dihydroxyphenyl)-7-hydroxy-5-methoxy-4H-chromen-4-one


  • Catalogue No.:PA 65 03560

  • CAS :

    58115-29-0

  • Molecular Formula : C16H12O6

  • Molecular Weight : 300.27

stdClass Object
(
    [pname] => 7-Hydroxy-2-(3-hydroxy-4-methoxyphenyl)-5-methoxy-4H-chromen-4-one
    [catalogue_number] => PA 65 03570
    [category_ids] => ,78,70,82,
    [chemical_name] => 
    [weight] => 314.29
    [form] => C17H14O6
    [cas] => 72629-61-9
    [pslug] => 72629-61-9-7-hydroxy-2-3-hydroxy-4-methoxyphenyl-5-methoxy-4h-chromen-4-one-pa6503570
    [latest_product] => 0
    [linkproducts] => 0
    [offers_id] => 
    [offers_name] => 
    [offers_status] => 
    [offers_start_date] => 
    [offers_end_date] => 
    [pageview] => 
    [offers_slug] => 
    [offers_product_id] => 
    [offers_product_code] => 
    [offers_master_id] => 
    [offer_percentage] => 
    [offers_product_main_cat] => 
)
PA 65 03570
PA 65 03570

7-Hydroxy-2-(3-hydroxy-4-methoxyphenyl)-5-methoxy-4H-chromen-4-one


  • Catalogue No.:PA 65 03570

  • CAS :

    72629-61-9

  • Molecular Formula : C17H14O6

  • Molecular Weight : 314.29

stdClass Object
(
    [pname] => 7-Hydroxy-2-(4-hydroxy-3-methoxyphenyl)-5-methoxy-4H-chromen-4-one
    [catalogue_number] => PA 65 03580
    [category_ids] => ,78,70,82,
    [chemical_name] => 
    [weight] => 314.29
    [form] => C17H14O6
    [cas] => 62346-14-9
    [pslug] => 62346-14-9-7-hydroxy-2-4-hydroxy-3-methoxyphenyl-5-methoxy-4h-chromen-4-one-pa6503580
    [latest_product] => 0
    [linkproducts] => 0
    [offers_id] => 
    [offers_name] => 
    [offers_status] => 
    [offers_start_date] => 
    [offers_end_date] => 
    [pageview] => 
    [offers_slug] => 
    [offers_product_id] => 
    [offers_product_code] => 
    [offers_master_id] => 
    [offer_percentage] => 
    [offers_product_main_cat] => 
)
PA 65 03580
PA 65 03580

7-Hydroxy-2-(4-hydroxy-3-methoxyphenyl)-5-methoxy-4H-chromen-4-one


  • Catalogue No.:PA 65 03580

  • CAS :

    62346-14-9

  • Molecular Formula : C17H14O6

  • Molecular Weight : 314.29

stdClass Object
(
    [pname] => 2-(3,4-Dimethoxyphenyl)-7-hydroxy-5-methoxy-4H-chromen-4-one
    [catalogue_number] => PA 65 03590
    [category_ids] => ,78,70,82,
    [chemical_name] => 
    [weight] => 328.32
    [form] => C18H16O6
    [cas] => 10544-05-5
    [pslug] => 10544-05-5-2-3-4-dimethoxyphenyl-7-hydroxy-5-methoxy-4h-chromen-4-one-pa6503590
    [latest_product] => 0
    [linkproducts] => 0
    [offers_id] => 
    [offers_name] => 
    [offers_status] => 
    [offers_start_date] => 
    [offers_end_date] => 
    [pageview] => 
    [offers_slug] => 
    [offers_product_id] => 
    [offers_product_code] => 
    [offers_master_id] => 
    [offer_percentage] => 
    [offers_product_main_cat] => 
)
PA 65 03590
PA 65 03590

2-(3,4-Dimethoxyphenyl)-7-hydroxy-5-methoxy-4H-chromen-4-one


  • Catalogue No.:PA 65 03590

  • CAS :

    10544-05-5

  • Molecular Formula : C18H16O6

  • Molecular Weight : 328.32

stdClass Object
(
    [pname] => 2-(3,4-Dimethoxyphenyl)-5,7-dihydroxy-4H-chromen-4-one
    [catalogue_number] => PA 65 03600
    [category_ids] => ,70,78,82,
    [chemical_name] => 
    [weight] => 314.29
    [form] => C17H14O6
    [cas] => 4712-12-3
    [pslug] => 4712-12-3-2-3-4-dimethoxyphenyl-5-7-dihydroxy-4h-chromen-4-one-pa6503600
    [latest_product] => 0
    [linkproducts] => 0
    [offers_id] => 
    [offers_name] => 
    [offers_status] => 
    [offers_start_date] => 
    [offers_end_date] => 
    [pageview] => 
    [offers_slug] => 
    [offers_product_id] => 
    [offers_product_code] => 
    [offers_master_id] => 
    [offer_percentage] => 
    [offers_product_main_cat] => 
)
PA 65 03600
PA 65 03600

2-(3,4-Dimethoxyphenyl)-5,7-dihydroxy-4H-chromen-4-one


  • Catalogue No.:PA 65 03600

  • CAS :

    4712-12-3

  • Molecular Formula : C17H14O6

  • Molecular Weight : 314.29

stdClass Object
(
    [pname] => 3,4-Diphenylmethylidene Luteolin
    [catalogue_number] => PA 65 0031000
    [category_ids] => ,75,76,78,70,82,
    [chemical_name] => 
    [weight] => 450.45
    [form] => C28H18O6
    [cas] => 1201808-21-0
    [pslug] => 1201808-21-0-3-4-diphenylmethylidene-luteolin-pa650031000
    [latest_product] => 0
    [linkproducts] => 0
    [offers_id] => 
    [offers_name] => 
    [offers_status] => 
    [offers_start_date] => 
    [offers_end_date] => 
    [pageview] => 
    [offers_slug] => 
    [offers_product_id] => 
    [offers_product_code] => 
    [offers_master_id] => 
    [offer_percentage] => 
    [offers_product_main_cat] => 
)
PA 65 0031000
PA 65 0031000

3,4-Diphenylmethylidene Luteolin


  • Catalogue No.:PA 65 0031000

  • CAS :

    1201808-21-0

  • Molecular Formula : C28H18O6

  • Molecular Weight : 450.45

stdClass Object
(
    [pname] => 7-O-Benzyl Luteolin
    [catalogue_number] => PA 65 0031001
    [category_ids] => ,75,76,78,70,82,
    [chemical_name] => 
    [weight] => 376.36
    [form] => C22H16O6
    [cas] => 1201808-24-3
    [pslug] => 1201808-24-3-7-o-benzyl-luteolin-pa650031001
    [latest_product] => 0
    [linkproducts] => 0
    [offers_id] => 
    [offers_name] => 
    [offers_status] => 
    [offers_start_date] => 
    [offers_end_date] => 
    [pageview] => 
    [offers_slug] => 
    [offers_product_id] => 
    [offers_product_code] => 
    [offers_master_id] => 
    [offer_percentage] => 
    [offers_product_main_cat] => 
)
PA 65 0031001
PA 65 0031001

7-O-Benzyl Luteolin


  • Catalogue No.:PA 65 0031001

  • CAS :

    1201808-24-3

  • Molecular Formula : C22H16O6

  • Molecular Weight : 376.36

stdClass Object
(
    [pname] => Luteolin-7-glucuronide
    [catalogue_number] => PA 65 0031002
    [category_ids] => ,78,117,81,95,
    [chemical_name] => 
    [weight] => 638.49
    [form] => C27H26O18
    [cas] => 96400-45-2
    [pslug] => 96400-45-2-luteolin-7-glucuronide-pa650031002
    [latest_product] => 0
    [linkproducts] => 0
    [offers_id] => 
    [offers_name] => 
    [offers_status] => 
    [offers_start_date] => 
    [offers_end_date] => 
    [pageview] => 
    [offers_slug] => 
    [offers_product_id] => 
    [offers_product_code] => 
    [offers_master_id] => 
    [offer_percentage] => 
    [offers_product_main_cat] => 
)
PA 65 0031002
PA 65 0031002

Luteolin-7-glucuronide


  • Catalogue No.:PA 65 0031002

  • CAS :

    96400-45-2

  • Molecular Formula : C27H26O18

  • Molecular Weight : 638.49

stdClass Object
(
    [pname] => 7-Methoxy-2-(3,4,5-trimethoxyphenyl)chroman-4-one
    [catalogue_number] => PA 65 0031003
    [category_ids] => ,78,117,81,
    [chemical_name] => 
    [weight] => 344.36
    [form] => C19H20O6
    [cas] => 138469-47-3
    [pslug] => 138469-47-3-7-methoxy-2-3-4-5-trimethoxyphenyl-chroman-4-one-pa650031003
    [latest_product] => 0
    [linkproducts] => 0
    [offers_id] => 
    [offers_name] => 
    [offers_status] => 
    [offers_start_date] => 
    [offers_end_date] => 
    [pageview] => 
    [offers_slug] => 
    [offers_product_id] => 
    [offers_product_code] => 
    [offers_master_id] => 
    [offer_percentage] => 
    [offers_product_main_cat] => 
)
PA 65 0031003
PA 65 0031003

7-Methoxy-2-(3,4,5-trimethoxyphenyl)chroman-4-one


  • Catalogue No.:PA 65 0031003

  • CAS :

    138469-47-3

  • Molecular Formula : C19H20O6

  • Molecular Weight : 344.36

stdClass Object
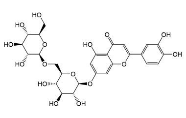
(
    [pname] => 2-(3,4-Dihydroxyphenyl)-5-hydroxy-7-(((2S,3R,4S,5S,6R)-3,4,5-trihydroxy-6-((((2R,3R,4S,5S,6R)-3,4,5-trihydroxy-6-(hydroxymethyl)tetrahydro-2H-pyran-2-yl)oxy)methyl)tetrahydro-2H-pyran-2-yl)oxy)-4H-chromen-4-one
    [catalogue_number] => PA 65 0031004
    [category_ids] => ,78,117,81,
    [chemical_name] => 
    [weight] => 610.52
    [form] => C27H30O16
    [cas] => 70855-41-3
    [pslug] => 70855-41-3-2-3-4-dihydroxyphenyl-5-hydroxy-7-2s-3r-4s-5s-6r-3-4-5-trihydroxy-6-2r-3r-4s-5s-6r-3-4-5-trihydroxy-6-hydroxymethyl-tetrahydro-2h-pyran-2-yl-oxy-methyl-tetrahydro-2h-pyran-2-yl-oxy-4h-chromen-4-one-pa650031004
    [latest_product] => 0
    [linkproducts] => 0
    [offers_id] => 
    [offers_name] => 
    [offers_status] => 
    [offers_start_date] => 
    [offers_end_date] => 
    [pageview] => 
    [offers_slug] => 
    [offers_product_id] => 
    [offers_product_code] => 
    [offers_master_id] => 
    [offer_percentage] => 
    [offers_product_main_cat] => 
)
PA 65 0031004
PA 65 0031004

2-(3,4-Dihydroxyphenyl)-5-hydroxy-7-(((2S,3R,4S,5S,6R)-3,4,5-trihydroxy-6-((((2R,3R,4S,5S,6R)-3,4,5-trihydroxy-6-(hydroxymethyl)tetrahydro-2H-pyran-2-yl)oxy)methyl)tetrahydro-2H-pyran-2-yl)oxy)-4H-chromen-4-one


  • Catalogue No.:PA 65 0031004

  • CAS :

    70855-41-3

  • Molecular Formula : C27H30O16

  • Molecular Weight : 610.52

stdClass Object
(
    [pname] => Luteolin-D4
    [catalogue_number] => PA STI 090283
    [category_ids] => ,98,78,117,81,
    [chemical_name] => 
    [weight] => 290.26
    [form] => C15H6D4O6
    [cas] => 263711-77-9
    [pslug] => 263711-77-9-luteolin-d4-pasti090283
    [latest_product] => 0
    [linkproducts] => 0
    [offers_id] => 
    [offers_name] => 
    [offers_status] => 
    [offers_start_date] => 
    [offers_end_date] => 
    [pageview] => 
    [offers_slug] => 
    [offers_product_id] => 
    [offers_product_code] => 
    [offers_master_id] => 
    [offer_percentage] => 
    [offers_product_main_cat] => 
)
PA STI 090283
PA STI 090283

Luteolin-D4


  • Catalogue No.:PA STI 090283

  • CAS :

    263711-77-9

  • Molecular Formula : C15H6D4O6

  • Molecular Weight : 290.26

stdClass Object
(
    [pname] => Luteolin 3′-O-glucuronide
    [catalogue_number] => PA 65 0031005
    [category_ids] => ,78,117,81,
    [chemical_name] => 
    [weight] => 462.36
    [form] => C21H18O12
    [cas] => 53527-42-7
    [pslug] => 53527-42-7-luteolin-3-o-glucuronide-pa650031005
    [latest_product] => 0
    [linkproducts] => 0
    [offers_id] => 
    [offers_name] => 
    [offers_status] => 
    [offers_start_date] => 
    [offers_end_date] => 
    [pageview] => 
    [offers_slug] => 
    [offers_product_id] => 
    [offers_product_code] => 
    [offers_master_id] => 
    [offer_percentage] => 
    [offers_product_main_cat] => 
)
PA 65 0031005
PA 65 0031005

Luteolin 3′-O-glucuronide


  • Catalogue No.:PA 65 0031005

  • CAS :

    53527-42-7

  • Molecular Formula : C21H18O12

  • Molecular Weight : 462.36

stdClass Object
(
    [pname] => Luteolin-3'-O-Sulfate
    [catalogue_number] => PA 65 0031006
    [category_ids] => ,78,117,81,
    [chemical_name] => 
    [weight] => 366.3
    [form] => C15H10O9S
    [cas] => 59176-61-3
    [pslug] => 59176-61-3-luteolin-3-o-sulfate-pa650031006
    [latest_product] => 0
    [linkproducts] => 0
    [offers_id] => 
    [offers_name] => 
    [offers_status] => 
    [offers_start_date] => 
    [offers_end_date] => 
    [pageview] => 
    [offers_slug] => 
    [offers_product_id] => 
    [offers_product_code] => 
    [offers_master_id] => 
    [offer_percentage] => 
    [offers_product_main_cat] => 
)
PA 65 0031006
PA 65 0031006

Luteolin-3'-O-Sulfate


  • Catalogue No.:PA 65 0031006

  • CAS :

    59176-61-3

  • Molecular Formula : C15H10O9S

  • Molecular Weight : 366.3

stdClass Object
(
    [pname] => Luteolin 4′-O-glucuronide
    [catalogue_number] => PA 65 0031007
    [category_ids] => ,78,117,81,95,
    [chemical_name] => 
    [weight] => 462.36
    [form] => C21H18O12
    [cas] => 53527-43-8
    [pslug] => 53527-43-8-luteolin-4-o-glucuronide-pa650031007
    [latest_product] => 0
    [linkproducts] => 0
    [offers_id] => 
    [offers_name] => 
    [offers_status] => 
    [offers_start_date] => 
    [offers_end_date] => 
    [pageview] => 
    [offers_slug] => 
    [offers_product_id] => 
    [offers_product_code] => 
    [offers_master_id] => 
    [offer_percentage] => 
    [offers_product_main_cat] => 
)
PA 65 0031007
PA 65 0031007

Luteolin 4′-O-glucuronide


  • Catalogue No.:PA 65 0031007

  • CAS :

    53527-43-8

  • Molecular Formula : C21H18O12

  • Molecular Weight : 462.36