ticagrelor

Pharmaceutical standards - A P2Y12 receptor antagonist drug, used as a platelet aggregation inhibitor. Ticagrelor is a nucleoside analogue used in the treatment of heart attacks, myocardial infarction, and other pulmonary diseases. Reference standards of Ticagrelor API,and its pharmacopeial, non pharmacopeial impurities, and stable isotopes are listed below.

stdClass Object
(
    [pname] => (1R,2R,3S,5R)-3-((3-((1R,2S)-2-(3,4-Difluorophenyl)cyclopropyl)-5-(propylthio)-3H-[1,2,3]triazolo[4,5-d]pyrimidin-7-yl)amino)-5-(2-hydroxyethoxy)cyclopentane-1,2-diol
    [catalogue_number] => PA 47 0111137
    [category_ids] => ,80,71,78,70,82,88,
    [chemical_name] => 
    [weight] => 522.57
    [form] => C23H28F2N6O4S
    [cas] => NA
    [pslug] => 1r-2r-3s-5r-3-3-1r-2s-2-3-4-difluorophenyl-cyclopropyl-5-propylthio-3h-1-2-3-triazolo-4-5-d-pyrimidin-7-yl-amino-5-2-hydroxyethoxy-cyclopentane-1-2-diol-pa470111137
    [latest_product] => 0
    [linkproducts] => 0
    [offers_id] => 
    [offers_name] => 
    [offers_status] => 
    [offers_start_date] => 
    [offers_end_date] => 
    [pageview] => 
    [offers_slug] => 
    [offers_product_id] => 
    [offers_product_code] => 
    [offers_master_id] => 
    [offer_percentage] => 
    [offers_product_main_cat] => 
)
PA 47 0111137
PA 47 0111137

(1R,2R,3S,5R)-3-((3-((1R,2S)-2-(3,4-Difluorophenyl)cyclopropyl)-5-(propylthio)-3H-[1,2,3]triazolo[4,5-d]pyrimidin-7-yl)amino)-5-(2-hydroxyethoxy)cyclopentane-1,2-diol


  • Catalogue No.:PA 47 0111137

  • CAS :

    NA

  • Molecular Formula : C23H28F2N6O4S

  • Molecular Weight : 522.57

stdClass Object
(
    [pname] => (1R,2R,3S,5R)-3-((3-((1S,2R)-2-(3,4-Difluorophenyl)cyclopropyl)-5-(propylthio)-3H-[1,2,3]triazolo[4,5-d]pyrimidin-7-yl)amino)-5-(2-hydroxyethoxy)cyclopentane-1,2-diol
    [catalogue_number] => PA 47 0111138
    [category_ids] => ,80,71,78,70,82,88,
    [chemical_name] => 
    [weight] => 522.57
    [form] => C23H28F2N6O4S
    [cas] => NA
    [pslug] => 1r-2r-3s-5r-3-3-1s-2r-2-3-4-difluorophenyl-cyclopropyl-5-propylthio-3h-1-2-3-triazolo-4-5-d-pyrimidin-7-yl-amino-5-2-hydroxyethoxy-cyclopentane-1-2-diol-pa470111138
    [latest_product] => 0
    [linkproducts] => 0
    [offers_id] => 
    [offers_name] => 
    [offers_status] => 
    [offers_start_date] => 
    [offers_end_date] => 
    [pageview] => 
    [offers_slug] => 
    [offers_product_id] => 
    [offers_product_code] => 
    [offers_master_id] => 
    [offer_percentage] => 
    [offers_product_main_cat] => 
)
PA 47 0111138
PA 47 0111138

(1R,2R,3S,5R)-3-((3-((1S,2R)-2-(3,4-Difluorophenyl)cyclopropyl)-5-(propylthio)-3H-[1,2,3]triazolo[4,5-d]pyrimidin-7-yl)amino)-5-(2-hydroxyethoxy)cyclopentane-1,2-diol


  • Catalogue No.:PA 47 0111138

  • CAS :

    NA

  • Molecular Formula : C23H28F2N6O4S

  • Molecular Weight : 522.57

stdClass Object
(
    [pname] => (1S,2S,3R,5S)-3-((3-((1S,2R)-2-(3,4-Difluorophenyl)cyclopropyl)-5-(propylthio)-3H-[1,2,3]triazolo[4,5-d]pyrimidin-7-yl)amino)-5-(2-hydroxyethoxy)cyclopentane-1,2-diol
    [catalogue_number] => PA 47 0111139
    [category_ids] => ,80,71,78,70,82,88,
    [chemical_name] => 
    [weight] => 522.57
    [form] => C23H28F2N6O4S
    [cas] => NA
    [pslug] => 1s-2s-3r-5s-3-3-1s-2r-2-3-4-difluorophenyl-cyclopropyl-5-propylthio-3h-1-2-3-triazolo-4-5-d-pyrimidin-7-yl-amino-5-2-hydroxyethoxy-cyclopentane-1-2-diol-pa470111139
    [latest_product] => 0
    [linkproducts] => 0
    [offers_id] => 
    [offers_name] => 
    [offers_status] => 
    [offers_start_date] => 
    [offers_end_date] => 
    [pageview] => 
    [offers_slug] => 
    [offers_product_id] => 
    [offers_product_code] => 
    [offers_master_id] => 
    [offer_percentage] => 
    [offers_product_main_cat] => 
)
PA 47 0111139
PA 47 0111139

(1S,2S,3R,5S)-3-((3-((1S,2R)-2-(3,4-Difluorophenyl)cyclopropyl)-5-(propylthio)-3H-[1,2,3]triazolo[4,5-d]pyrimidin-7-yl)amino)-5-(2-hydroxyethoxy)cyclopentane-1,2-diol


  • Catalogue No.:PA 47 0111139

  • CAS :

    NA

  • Molecular Formula : C23H28F2N6O4S

  • Molecular Weight : 522.57

stdClass Object
(
    [pname] => (1R,2S)-2-(2,6-Difluorophenyl)cyclopropan-1-amine Hydrochloride
    [catalogue_number] => PA 47 0111140
    [category_ids] => ,75,76,78,70,82,
    [chemical_name] => 
    [weight] => 205.63
    [form] => C9H10ClF2N
    [cas] => 1643378-55-5
    [pslug] => 1643378-55-5-1r-2s-2-2-6-difluorophenyl-cyclopropan-1-amine-hydrochloride-pa470111140
    [latest_product] => 0
    [linkproducts] => 0
    [offers_id] => 
    [offers_name] => 
    [offers_status] => 
    [offers_start_date] => 
    [offers_end_date] => 
    [pageview] => 
    [offers_slug] => 
    [offers_product_id] => 
    [offers_product_code] => 
    [offers_master_id] => 
    [offer_percentage] => 
    [offers_product_main_cat] => 
)
PA 47 0111140
PA 47 0111140

(1R,2S)-2-(2,6-Difluorophenyl)cyclopropan-1-amine Hydrochloride


  • Catalogue No.:PA 47 0111140

  • CAS :

    1643378-55-5

  • Molecular Formula : C9H10ClF2N

  • Molecular Weight : 205.63

stdClass Object
(
    [pname] => (1R,2S)-2-(2-Fluorophenyl)cyclopropan-1-amine Hydrochloride
    [catalogue_number] => PA 47 0111141
    [category_ids] => ,75,76,78,70,82,
    [chemical_name] => 
    [weight] => 187.64
    [form] => C9H11ClFN
    [cas] => 1643378-57-7
    [pslug] => 1643378-57-7-1r-2s-2-2-fluorophenyl-cyclopropan-1-amine-hydrochloride-pa470111141
    [latest_product] => 0
    [linkproducts] => 0
    [offers_id] => 
    [offers_name] => 
    [offers_status] => 
    [offers_start_date] => 
    [offers_end_date] => 
    [pageview] => 
    [offers_slug] => 
    [offers_product_id] => 
    [offers_product_code] => 
    [offers_master_id] => 
    [offer_percentage] => 
    [offers_product_main_cat] => 
)
PA 47 0111141
PA 47 0111141

(1R,2S)-2-(2-Fluorophenyl)cyclopropan-1-amine Hydrochloride


  • Catalogue No.:PA 47 0111141

  • CAS :

    1643378-57-7

  • Molecular Formula : C9H11ClFN

  • Molecular Weight : 187.64

stdClass Object
(
    [pname] => (1R,2S)-2-(2,5-Difluorophenyl)cyclopropan-1-amine Hydrochloride
    [catalogue_number] => PA 47 0111142
    [category_ids] => ,75,76,78,70,82,
    [chemical_name] => 
    [weight] => 205.63
    [form] => C9H10ClF2N
    [cas] => 1643378-54-4
    [pslug] => 1643378-54-4-1r-2s-2-2-5-difluorophenyl-cyclopropan-1-amine-hydrochloride-pa470111142
    [latest_product] => 0
    [linkproducts] => 0
    [offers_id] => 
    [offers_name] => 
    [offers_status] => 
    [offers_start_date] => 
    [offers_end_date] => 
    [pageview] => 
    [offers_slug] => 
    [offers_product_id] => 
    [offers_product_code] => 
    [offers_master_id] => 
    [offer_percentage] => 
    [offers_product_main_cat] => 
)
PA 47 0111142
PA 47 0111142

(1R,2S)-2-(2,5-Difluorophenyl)cyclopropan-1-amine Hydrochloride


  • Catalogue No.:PA 47 0111142

  • CAS :

    1643378-54-4

  • Molecular Formula : C9H10ClF2N

  • Molecular Weight : 205.63

stdClass Object
(
    [pname] => (1R,2S)-2-(2,4-Difluorophenyl)cyclopropan-1-amine Hydrochloride
    [catalogue_number] => PA 47 0111143
    [category_ids] => ,75,76,78,70,82,
    [chemical_name] => 
    [weight] => 205.63
    [form] => C9H10ClF2N
    [cas] => 1643378-53-3
    [pslug] => 1643378-53-3-1r-2s-2-2-4-difluorophenyl-cyclopropan-1-amine-hydrochloride-pa470111143
    [latest_product] => 0
    [linkproducts] => 0
    [offers_id] => 
    [offers_name] => 
    [offers_status] => 
    [offers_start_date] => 
    [offers_end_date] => 
    [pageview] => 
    [offers_slug] => 
    [offers_product_id] => 
    [offers_product_code] => 
    [offers_master_id] => 
    [offer_percentage] => 
    [offers_product_main_cat] => 
)
PA 47 0111143
PA 47 0111143

(1R,2S)-2-(2,4-Difluorophenyl)cyclopropan-1-amine Hydrochloride


  • Catalogue No.:PA 47 0111143

  • CAS :

    1643378-53-3

  • Molecular Formula : C9H10ClF2N

  • Molecular Weight : 205.63

stdClass Object
(
    [pname] => rel-(1R,2S)-2-(2,6-Difluorophenyl)cyclopropan-1-amine Hydrochloride
    [catalogue_number] => PA 47 0111144
    [category_ids] => ,80,71,78,70,82,88,
    [chemical_name] => 
    [weight] => 205.63
    [form] => C9H10ClF2N
    [cas] => 1807938-34-6
    [pslug] => 1807938-34-6-rel-1r-2s-2-2-6-difluorophenyl-cyclopropan-1-amine-hydrochloride-pa470111144
    [latest_product] => 0
    [linkproducts] => 0
    [offers_id] => 
    [offers_name] => 
    [offers_status] => 
    [offers_start_date] => 
    [offers_end_date] => 
    [pageview] => 
    [offers_slug] => 
    [offers_product_id] => 
    [offers_product_code] => 
    [offers_master_id] => 
    [offer_percentage] => 
    [offers_product_main_cat] => 
)
PA 47 0111144
PA 47 0111144

rel-(1R,2S)-2-(2,6-Difluorophenyl)cyclopropan-1-amine Hydrochloride


  • Catalogue No.:PA 47 0111144

  • CAS :

    1807938-34-6

  • Molecular Formula : C9H10ClF2N

  • Molecular Weight : 205.63

stdClass Object
(
    [pname] => rel-(1R,2S)-2-(2,5-Difluorophenyl)cyclopropan-1-amine Hydrochloride
    [catalogue_number] => PA 47 0111145
    [category_ids] => ,80,71,78,70,82,88,
    [chemical_name] => 
    [weight] => 205.63
    [form] => C9H10ClF2N
    [cas] => 1807920-89-3
    [pslug] => 1807920-89-3-rel-1r-2s-2-2-5-difluorophenyl-cyclopropan-1-amine-hydrochloride-pa470111145
    [latest_product] => 0
    [linkproducts] => 0
    [offers_id] => 
    [offers_name] => 
    [offers_status] => 
    [offers_start_date] => 
    [offers_end_date] => 
    [pageview] => 
    [offers_slug] => 
    [offers_product_id] => 
    [offers_product_code] => 
    [offers_master_id] => 
    [offer_percentage] => 
    [offers_product_main_cat] => 
)
PA 47 0111145
PA 47 0111145

rel-(1R,2S)-2-(2,5-Difluorophenyl)cyclopropan-1-amine Hydrochloride


  • Catalogue No.:PA 47 0111145

  • CAS :

    1807920-89-3

  • Molecular Formula : C9H10ClF2N

  • Molecular Weight : 205.63

stdClass Object
(
    [pname] => rel-(1R,2S)-2-(2,3-Difluorophenyl)cyclopropan-1-amine Hydrochloride
    [catalogue_number] => PA 47 0111146
    [category_ids] => ,80,71,78,70,82,88,
    [chemical_name] => 
    [weight] => 205.63
    [form] => C9H10ClF2N
    [cas] => 1807939-83-8
    [pslug] => 1807939-83-8-rel-1r-2s-2-2-3-difluorophenyl-cyclopropan-1-amine-hydrochloride-pa470111146
    [latest_product] => 0
    [linkproducts] => 0
    [offers_id] => 
    [offers_name] => 
    [offers_status] => 
    [offers_start_date] => 
    [offers_end_date] => 
    [pageview] => 
    [offers_slug] => 
    [offers_product_id] => 
    [offers_product_code] => 
    [offers_master_id] => 
    [offer_percentage] => 
    [offers_product_main_cat] => 
)
PA 47 0111146
PA 47 0111146

rel-(1R,2S)-2-(2,3-Difluorophenyl)cyclopropan-1-amine Hydrochloride


  • Catalogue No.:PA 47 0111146

  • CAS :

    1807939-83-8

  • Molecular Formula : C9H10ClF2N

  • Molecular Weight : 205.63

stdClass Object
(
    [pname] => rel-(1R,2S)-2-(2,4-Difluorophenyl)cyclopropan-1-amine Hydrochloride
    [catalogue_number] => PA 47 0111147
    [category_ids] => ,80,71,78,70,82,88,
    [chemical_name] => 
    [weight] => 205.63
    [form] => C9H10ClF2N
    [cas] => 1156491-08-5
    [pslug] => 1156491-08-5-rel-1r-2s-2-2-4-difluorophenyl-cyclopropan-1-amine-hydrochloride-pa470111147
    [latest_product] => 0
    [linkproducts] => 0
    [offers_id] => 
    [offers_name] => 
    [offers_status] => 
    [offers_start_date] => 
    [offers_end_date] => 
    [pageview] => 
    [offers_slug] => 
    [offers_product_id] => 
    [offers_product_code] => 
    [offers_master_id] => 
    [offer_percentage] => 
    [offers_product_main_cat] => 
)
PA 47 0111147
PA 47 0111147

rel-(1R,2S)-2-(2,4-Difluorophenyl)cyclopropan-1-amine Hydrochloride


  • Catalogue No.:PA 47 0111147

  • CAS :

    1156491-08-5

  • Molecular Formula : C9H10ClF2N

  • Molecular Weight : 205.63

stdClass Object
(
    [pname] => Cyclopent-4-ene-1,3-diol
    [catalogue_number] => PA 47 0111148
    [category_ids] => ,80,71,78,70,82,
    [chemical_name] => 
    [weight] => 100.12
    [form] => C5H8O2
    [cas] => 4157-01-1
    [pslug] => 4157-01-1-cyclopent-4-ene-1-3-diol-pa470111148
    [latest_product] => 0
    [linkproducts] => 0
    [offers_id] => 
    [offers_name] => 
    [offers_status] => 
    [offers_start_date] => 
    [offers_end_date] => 
    [pageview] => 
    [offers_slug] => 
    [offers_product_id] => 
    [offers_product_code] => 
    [offers_master_id] => 
    [offer_percentage] => 
    [offers_product_main_cat] => 
)
PA 47 0111148
PA 47 0111148

Cyclopent-4-ene-1,3-diol


  • Catalogue No.:PA 47 0111148

  • CAS :

    4157-01-1

  • Molecular Formula : C5H8O2

  • Molecular Weight : 100.12

stdClass Object
(
    [pname] => rel-(1R,3S)-4-Cyclopentene-1,3-diol
    [catalogue_number] => PA 47 0111149
    [category_ids] => ,80,71,78,70,82,
    [chemical_name] => 
    [weight] => 100.12
    [form] => C5H8O2
    [cas] => 29783-26-4
    [pslug] => 29783-26-4-rel-1r-3s-4-cyclopentene-1-3-diol-pa470111149
    [latest_product] => 0
    [linkproducts] => 0
    [offers_id] => 
    [offers_name] => 
    [offers_status] => 
    [offers_start_date] => 
    [offers_end_date] => 
    [pageview] => 
    [offers_slug] => 
    [offers_product_id] => 
    [offers_product_code] => 
    [offers_master_id] => 
    [offer_percentage] => 
    [offers_product_main_cat] => 
)
PA 47 0111149
PA 47 0111149

rel-(1R,3S)-4-Cyclopentene-1,3-diol


  • Catalogue No.:PA 47 0111149

  • CAS :

    29783-26-4

  • Molecular Formula : C5H8O2

  • Molecular Weight : 100.12

stdClass Object
(
    [pname] => 2-(((3aS,4R,6S,6aR)-6-(7-(((1R,2S)-2-(3,4-difluorophenyl)cyclopropyl)amino)-5-(propylthio)-3H-[1,2,3]triazolo[4,5-d]pyrimidin-3-yl)-2,2-dimethyltetrahydro-4H-cyclopenta[d][1,3]dioxol-4-yl)oxy)ethan-1-ol
    [catalogue_number] => PA 47 0111150
    [category_ids] => ,78,70,82,88,
    [chemical_name] => 
    [weight] => 562.64
    [form] => C26H32F2N6O4S
    [cas] => 2803420-77-9
    [pslug] => 2803420-77-9-2-3as-4r-6s-6ar-6-7-1r-2s-2-3-4-difluorophenyl-cyclopropyl-amino-5-propylthio-3h-1-2-3-triazolo-4-5-d-pyrimidin-3-yl-2-2-dimethyltetrahydro-4h-cyclopenta-d-1-3-dioxol-4-yl-oxy-ethan-1-ol-pa470111150
    [latest_product] => 0
    [linkproducts] => 0
    [offers_id] => 
    [offers_name] => 
    [offers_status] => 
    [offers_start_date] => 
    [offers_end_date] => 
    [pageview] => 
    [offers_slug] => 
    [offers_product_id] => 
    [offers_product_code] => 
    [offers_master_id] => 
    [offer_percentage] => 
    [offers_product_main_cat] => 
)
PA 47 0111150
PA 47 0111150

2-(((3aS,4R,6S,6aR)-6-(7-(((1R,2S)-2-(3,4-difluorophenyl)cyclopropyl)amino)-5-(propylthio)-3H-[1,2,3]triazolo[4,5-d]pyrimidin-3-yl)-2,2-dimethyltetrahydro-4H-cyclopenta[d][1,3]dioxol-4-yl)oxy)ethan-1-ol


  • Catalogue No.:PA 47 0111150

  • CAS :

    2803420-77-9

  • Molecular Formula : C26H32F2N6O4S

  • Molecular Weight : 562.64

stdClass Object
(
    [pname] => 2-(((3aR,4R,6R,6aS)-6-(7-amino-5-(propylthio)-3H-[1,2,3]triazolo[4,5-d]pyrimidin-3-yl)-2,2-dimethyltetrahydro-4H-cyclopenta[d][1,3]dioxol-4-yl)oxy)ethan-1-ol
    [catalogue_number] => PA 47 0111151
    [category_ids] => ,78,70,82,88,
    [chemical_name] => 
    [weight] => 410.49
    [form] => C17H26N6O4S
    [cas] => NA
    [pslug] => 2-3ar-4r-6r-6as-6-7-amino-5-propylthio-3h-1-2-3-triazolo-4-5-d-pyrimidin-3-yl-2-2-dimethyltetrahydro-4h-cyclopenta-d-1-3-dioxol-4-yl-oxy-ethan-1-ol-pa470111151
    [latest_product] => 0
    [linkproducts] => 0
    [offers_id] => 
    [offers_name] => 
    [offers_status] => 
    [offers_start_date] => 
    [offers_end_date] => 
    [pageview] => 
    [offers_slug] => 
    [offers_product_id] => 
    [offers_product_code] => 
    [offers_master_id] => 
    [offer_percentage] => 
    [offers_product_main_cat] => 
)
PA 47 0111151
PA 47 0111151

2-(((3aR,4R,6R,6aS)-6-(7-amino-5-(propylthio)-3H-[1,2,3]triazolo[4,5-d]pyrimidin-3-yl)-2,2-dimethyltetrahydro-4H-cyclopenta[d][1,3]dioxol-4-yl)oxy)ethan-1-ol


  • Catalogue No.:PA 47 0111151

  • CAS :

    NA

  • Molecular Formula : C17H26N6O4S

  • Molecular Weight : 410.49

stdClass Object
(
    [pname] => (1S,2S,3R,5S)-3-(7-(bis((1R,2S)-2-(3,4-Difluorophenyl)cyclopropyl)amino)-5-(propylthio)-3H-[1,2,3]triazolo[4,5-d]pyrimidin-3-yl)-5-(2-hydroxyethoxy)cyclopentane-1,2-diol
    [catalogue_number] => PA 47 0111152
    [category_ids] => ,80,71,78,70,82,88,
    [chemical_name] => 
    [weight] => 674.72
    [form] => C32H34F4N6O4S
    [cas] => NA
    [pslug] => 1s-2s-3r-5s-3-7-bis-1r-2s-2-3-4-difluorophenyl-cyclopropyl-amino-5-propylthio-3h-1-2-3-triazolo-4-5-d-pyrimidin-3-yl-5-2-hydroxyethoxy-cyclopentane-1-2-diol-pa470111152
    [latest_product] => 0
    [linkproducts] => 0
    [offers_id] => 
    [offers_name] => 
    [offers_status] => 
    [offers_start_date] => 
    [offers_end_date] => 
    [pageview] => 
    [offers_slug] => 
    [offers_product_id] => 
    [offers_product_code] => 
    [offers_master_id] => 
    [offer_percentage] => 
    [offers_product_main_cat] => 
)
PA 47 0111152
PA 47 0111152

(1S,2S,3R,5S)-3-(7-(bis((1R,2S)-2-(3,4-Difluorophenyl)cyclopropyl)amino)-5-(propylthio)-3H-[1,2,3]triazolo[4,5-d]pyrimidin-3-yl)-5-(2-hydroxyethoxy)cyclopentane-1,2-diol


  • Catalogue No.:PA 47 0111152

  • CAS :

    NA

  • Molecular Formula : C32H34F4N6O4S

  • Molecular Weight : 674.72

stdClass Object
(
    [pname] => N-((R)-3-(3,4-Difluorophenyl)-4,5-dihydroisoxazol-5-yl)-N-(3-((1R,2S,3S,4S)-2,3-dihydroxy-4-(2-hydroxyethoxy)cyclopentyl)-5-(propylthio)-3H-[1,2,3]triazolo[4,5-d]pyrimidin-7-yl)nitrous amide
    [catalogue_number] => PA 47 0111153
    [category_ids] => ,80,71,78,70,82,88,162,
    [chemical_name] => 
    [weight] => 580.57
    [form] => C23H26F2N8O6S
    [cas] => NA
    [pslug] => n-r-3-3-4-difluorophenyl-4-5-dihydroisoxazol-5-yl-n-3-1r-2s-3s-4s-2-3-dihydroxy-4-2-hydroxyethoxy-cyclopentyl-5-propylthio-3h-1-2-3-triazolo-4-5-d-pyrimidin-7-yl-nitrous-amide-pa470111153
    [latest_product] => 0
    [linkproducts] => 0
    [offers_id] => 
    [offers_name] => 
    [offers_status] => 
    [offers_start_date] => 
    [offers_end_date] => 
    [pageview] => 
    [offers_slug] => 
    [offers_product_id] => 
    [offers_product_code] => 
    [offers_master_id] => 
    [offer_percentage] => 
    [offers_product_main_cat] => 
)
PA 47 0111153
PA 47 0111153

N-((R)-3-(3,4-Difluorophenyl)-4,5-dihydroisoxazol-5-yl)-N-(3-((1R,2S,3S,4S)-2,3-dihydroxy-4-(2-hydroxyethoxy)cyclopentyl)-5-(propylthio)-3H-[1,2,3]triazolo[4,5-d]pyrimidin-7-yl)nitrous amide


  • Catalogue No.:PA 47 0111153

  • CAS :

    NA

  • Molecular Formula : C23H26F2N8O6S

  • Molecular Weight : 580.57

stdClass Object
(
    [pname] => 4-Desfluoro Ticagrelor
    [catalogue_number] => PA 47 0111154
    [category_ids] => ,78,70,82,
    [chemical_name] => 
    [weight] => 504.58
    [form] => C23H29FN6O4S
    [cas] => 1643378-46-4
    [pslug] => 1643378-46-4-4-desfluoro-ticagrelor-pa470111154
    [latest_product] => 0
    [linkproducts] => 0
    [offers_id] => 
    [offers_name] => 
    [offers_status] => 
    [offers_start_date] => 
    [offers_end_date] => 
    [pageview] => 
    [offers_slug] => 
    [offers_product_id] => 
    [offers_product_code] => 
    [offers_master_id] => 
    [offer_percentage] => 
    [offers_product_main_cat] => 
)
PA 47 0111154
PA 47 0111154

4-Desfluoro Ticagrelor


  • Catalogue No.:PA 47 0111154

  • CAS :

    1643378-46-4

  • Molecular Formula : C23H29FN6O4S

  • Molecular Weight : 504.58

stdClass Object
(
    [pname] => Ethyl (3-((1R,2S,3S,4S)-2,3-dihydroxy-4-(2-hydroxyethoxy)cyclopentyl)-5-(propylthio)-3H-[1,2,3]triazolo[4,5-d]pyrimidin-7-yl)glycinate
    [catalogue_number] => PA 47 0111155
    [category_ids] => ,80,71,78,70,82,88,
    [chemical_name] => 
    [weight] => 456.52
    [form] => C18H28N6O6S
    [cas] => NA
    [pslug] => ethyl-3-1r-2s-3s-4s-2-3-dihydroxy-4-2-hydroxyethoxy-cyclopentyl-5-propylthio-3h-1-2-3-triazolo-4-5-d-pyrimidin-7-yl-glycinate-pa470111155
    [latest_product] => 0
    [linkproducts] => 0
    [offers_id] => 
    [offers_name] => 
    [offers_status] => 
    [offers_start_date] => 
    [offers_end_date] => 
    [pageview] => 
    [offers_slug] => 
    [offers_product_id] => 
    [offers_product_code] => 
    [offers_master_id] => 
    [offer_percentage] => 
    [offers_product_main_cat] => 
)
PA 47 0111155
PA 47 0111155

Ethyl (3-((1R,2S,3S,4S)-2,3-dihydroxy-4-(2-hydroxyethoxy)cyclopentyl)-5-(propylthio)-3H-[1,2,3]triazolo[4,5-d]pyrimidin-7-yl)glycinate


  • Catalogue No.:PA 47 0111155

  • CAS :

    NA

  • Molecular Formula : C18H28N6O6S

  • Molecular Weight : 456.52

stdClass Object
(
    [pname] => Ethyl 2-(2-(((1S,2S,3S,4R)-4-(7-amino-5-(propylthio)-3H-[1,2,3]triazolo[4,5-d]pyrimidin-3-yl)-2,3-dihydroxycyclopentyl)oxy)ethoxy)acetate
    [catalogue_number] => PA 47 0111156
    [category_ids] => ,80,71,78,70,82,88,
    [chemical_name] => 
    [weight] => 456.52
    [form] => C18H28N6O6S
    [cas] => NA
    [pslug] => ethyl-2-2-1s-2s-3s-4r-4-7-amino-5-propylthio-3h-1-2-3-triazolo-4-5-d-pyrimidin-3-yl-2-3-dihydroxycyclopentyl-oxy-ethoxy-acetate-pa470111156
    [latest_product] => 0
    [linkproducts] => 0
    [offers_id] => 
    [offers_name] => 
    [offers_status] => 
    [offers_start_date] => 
    [offers_end_date] => 
    [pageview] => 
    [offers_slug] => 
    [offers_product_id] => 
    [offers_product_code] => 
    [offers_master_id] => 
    [offer_percentage] => 
    [offers_product_main_cat] => 
)
PA 47 0111156
PA 47 0111156

Ethyl 2-(2-(((1S,2S,3S,4R)-4-(7-amino-5-(propylthio)-3H-[1,2,3]triazolo[4,5-d]pyrimidin-3-yl)-2,3-dihydroxycyclopentyl)oxy)ethoxy)acetate


  • Catalogue No.:PA 47 0111156

  • CAS :

    NA

  • Molecular Formula : C18H28N6O6S

  • Molecular Weight : 456.52

stdClass Object
(
    [pname] => 2,2'-(((3aR,3a'R,4S,4'S,6R,6aS,6'R,6a'S)-((5-Nitro-2-(propylthio)pyrimidine-4,6-diyl)bis(azanediyl))bis(2,2-dimethyltetrahydro-4H-cyclopenta[d][1,3]dioxole-6,4-diyl))bis(oxy))bis(ethan-1-ol)
    [catalogue_number] => PA 47 0111157
    [category_ids] => ,80,71,78,70,82,88,
    [chemical_name] => 
    [weight] => 629.73
    [form] => C27H43N5O10S
    [cas] => 1882095-50-2
    [pslug] => 1882095-50-2-2-2-3ar-3ar-4s-4s-6r-6as-6r-6as-5-nitro-2-propylthio-pyrimidine-4-6-diyl-bis-azanediyl-bis-2-2-dimethyltetrahydro-4h-cyclopenta-d-1-3-dioxole-6-4-diyl-bis-oxy-bis-ethan-1-ol-pa470111157
    [latest_product] => 0
    [linkproducts] => 0
    [offers_id] => 
    [offers_name] => 
    [offers_status] => 
    [offers_start_date] => 
    [offers_end_date] => 
    [pageview] => 
    [offers_slug] => 
    [offers_product_id] => 
    [offers_product_code] => 
    [offers_master_id] => 
    [offer_percentage] => 
    [offers_product_main_cat] => 
)
PA 47 0111157
PA 47 0111157

2,2'-(((3aR,3a'R,4S,4'S,6R,6aS,6'R,6a'S)-((5-Nitro-2-(propylthio)pyrimidine-4,6-diyl)bis(azanediyl))bis(2,2-dimethyltetrahydro-4H-cyclopenta[d][1,3]dioxole-6,4-diyl))bis(oxy))bis(ethan-1-ol)


  • Catalogue No.:PA 47 0111157

  • CAS :

    1882095-50-2

  • Molecular Formula : C27H43N5O10S

  • Molecular Weight : 629.73

stdClass Object
(
    [pname] => 2,2'-(((3aR,3a'R,4S,4'S,6R,6aS,6'R,6a'S)-((5-Amino-2-(propylthio)pyrimidine-4,6-diyl)bis(azanediyl))bis(2,2-dimethyltetrahydro-4H-cyclopenta[d][1,3]dioxole-6,4-diyl))bis(oxy))bis(ethan-1-ol)
    [catalogue_number] => PA 47 0111158
    [category_ids] => ,80,71,78,70,82,88,
    [chemical_name] => 
    [weight] => 599.74
    [form] => C27H45N5O8S
    [cas] => 1882095-51-3
    [pslug] => 1882095-51-3-2-2-3ar-3ar-4s-4s-6r-6as-6r-6as-5-amino-2-propylthio-pyrimidine-4-6-diyl-bis-azanediyl-bis-2-2-dimethyltetrahydro-4h-cyclopenta-d-1-3-dioxole-6-4-diyl-bis-oxy-bis-ethan-1-ol-pa470111158
    [latest_product] => 0
    [linkproducts] => 0
    [offers_id] => 
    [offers_name] => 
    [offers_status] => 
    [offers_start_date] => 
    [offers_end_date] => 
    [pageview] => 
    [offers_slug] => 
    [offers_product_id] => 
    [offers_product_code] => 
    [offers_master_id] => 
    [offer_percentage] => 
    [offers_product_main_cat] => 
)
PA 47 0111158
PA 47 0111158

2,2'-(((3aR,3a'R,4S,4'S,6R,6aS,6'R,6a'S)-((5-Amino-2-(propylthio)pyrimidine-4,6-diyl)bis(azanediyl))bis(2,2-dimethyltetrahydro-4H-cyclopenta[d][1,3]dioxole-6,4-diyl))bis(oxy))bis(ethan-1-ol)


  • Catalogue No.:PA 47 0111158

  • CAS :

    1882095-51-3

  • Molecular Formula : C27H45N5O8S

  • Molecular Weight : 599.74

stdClass Object
(
    [pname] => 2-(((4S,6R)-6-((5-Amino-6-azido-2-(propylthio)pyrimidin-4-yl)amino)-2,2-dimethyltetrahydro-4H-cyclopenta[d][1,3]dioxol-4-yl)oxy)ethan-1-ol
    [catalogue_number] => PA 47 0111161
    [category_ids] => ,80,71,78,70,82,88,
    [chemical_name] => 
    [weight] => 425.51
    [form] => C17H27N7O4S
    [cas] => NA
    [pslug] => 2-4s-6r-6-5-amino-6-azido-2-propylthio-pyrimidin-4-yl-amino-2-2-dimethyltetrahydro-4h-cyclopenta-d-1-3-dioxol-4-yl-oxy-ethan-1-ol-pa470111161
    [latest_product] => 0
    [linkproducts] => 0
    [offers_id] => 
    [offers_name] => 
    [offers_status] => 
    [offers_start_date] => 
    [offers_end_date] => 
    [pageview] => 
    [offers_slug] => 
    [offers_product_id] => 
    [offers_product_code] => 
    [offers_master_id] => 
    [offer_percentage] => 
    [offers_product_main_cat] => 
)
PA 47 0111161
PA 47 0111161

2-(((4S,6R)-6-((5-Amino-6-azido-2-(propylthio)pyrimidin-4-yl)amino)-2,2-dimethyltetrahydro-4H-cyclopenta[d][1,3]dioxol-4-yl)oxy)ethan-1-ol


  • Catalogue No.:PA 47 0111161

  • CAS :

    NA

  • Molecular Formula : C17H27N7O4S

  • Molecular Weight : 425.51

stdClass Object
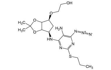
(
    [pname] => 2-(((4S,6R)-6-(7-Azido-5-(propylthio)-3H-[1,2,3]triazolo[4,5-d]pyrimidin-3-yl)-2,2-dimethyltetrahydro-4H-cyclopenta[d][1,3]dioxol-4-yl)oxy)ethan-1-ol
    [catalogue_number] => PA 47 0111162
    [category_ids] => ,80,71,78,70,82,88,
    [chemical_name] => 
    [weight] => 436.49
    [form] => C17H24N8O4S
    [cas] => NA
    [pslug] => 2-4s-6r-6-7-azido-5-propylthio-3h-1-2-3-triazolo-4-5-d-pyrimidin-3-yl-2-2-dimethyltetrahydro-4h-cyclopenta-d-1-3-dioxol-4-yl-oxy-ethan-1-ol-pa470111162
    [latest_product] => 0
    [linkproducts] => 0
    [offers_id] => 
    [offers_name] => 
    [offers_status] => 
    [offers_start_date] => 
    [offers_end_date] => 
    [pageview] => 
    [offers_slug] => 
    [offers_product_id] => 
    [offers_product_code] => 
    [offers_master_id] => 
    [offer_percentage] => 
    [offers_product_main_cat] => 
)
PA 47 0111162
PA 47 0111162

2-(((4S,6R)-6-(7-Azido-5-(propylthio)-3H-[1,2,3]triazolo[4,5-d]pyrimidin-3-yl)-2,2-dimethyltetrahydro-4H-cyclopenta[d][1,3]dioxol-4-yl)oxy)ethan-1-ol


  • Catalogue No.:PA 47 0111162

  • CAS :

    NA

  • Molecular Formula : C17H24N8O4S

  • Molecular Weight : 436.49

stdClass Object
(
    [pname] => Ticagrelor Form- I
    [catalogue_number] => PA 47 0111163
    [category_ids] => ,80,71,78,70,82,88,
    [chemical_name] => 
    [weight] => 522.57
    [form] => C23H28F2N6O4S
    [cas] => 274693-27-5
    [pslug] => 274693-27-5-ticagrelor-form-i-pa470111163
    [latest_product] => 0
    [linkproducts] => 0
    [offers_id] => 
    [offers_name] => 
    [offers_status] => 
    [offers_start_date] => 
    [offers_end_date] => 
    [pageview] => 
    [offers_slug] => 
    [offers_product_id] => 
    [offers_product_code] => 
    [offers_master_id] => 
    [offer_percentage] => 
    [offers_product_main_cat] => 
)
PA 47 0111163
PA 47 0111163

Ticagrelor Form- I


  • Catalogue No.:PA 47 0111163

  • CAS :

    274693-27-5

  • Molecular Formula : C23H28F2N6O4S

  • Molecular Weight : 522.57

stdClass Object
(
    [pname] => Ticagrelor Form- III
    [catalogue_number] => PA 47 0111164
    [category_ids] => ,80,71,78,70,82,88,
    [chemical_name] => 
    [weight] => 522.57
    [form] => C23H28F2N6O4S
    [cas] => 274693-27-5
    [pslug] => 274693-27-5-ticagrelor-form-iii-pa470111164
    [latest_product] => 0
    [linkproducts] => 0
    [offers_id] => 
    [offers_name] => 
    [offers_status] => 
    [offers_start_date] => 
    [offers_end_date] => 
    [pageview] => 
    [offers_slug] => 
    [offers_product_id] => 
    [offers_product_code] => 
    [offers_master_id] => 
    [offer_percentage] => 
    [offers_product_main_cat] => 
)
PA 47 0111164
PA 47 0111164

Ticagrelor Form- III


  • Catalogue No.:PA 47 0111164

  • CAS :

    274693-27-5

  • Molecular Formula : C23H28F2N6O4S

  • Molecular Weight : 522.57

stdClass Object
(
    [pname] =>  Ticagrelor Form- IV
    [catalogue_number] => PA 47 0111165
    [category_ids] => ,80,71,78,70,82,88,
    [chemical_name] => 
    [weight] => 522.57
    [form] => C23H28F2N6O4S
    [cas] => 274693-27-5
    [pslug] => 274693-27-5-ticagrelor-form-iv-pa470111165
    [latest_product] => 0
    [linkproducts] => 0
    [offers_id] => 
    [offers_name] => 
    [offers_status] => 
    [offers_start_date] => 
    [offers_end_date] => 
    [pageview] => 
    [offers_slug] => 
    [offers_product_id] => 
    [offers_product_code] => 
    [offers_master_id] => 
    [offer_percentage] => 
    [offers_product_main_cat] => 
)
PA 47 0111165
PA 47 0111165

 Ticagrelor Form- IV


  • Catalogue No.:PA 47 0111165

  • CAS :

    274693-27-5

  • Molecular Formula : C23H28F2N6O4S

  • Molecular Weight : 522.57

stdClass Object
(
    [pname] => Ticagrelor Novel Form
    [catalogue_number] => PA 47 0111166
    [category_ids] => ,80,71,78,70,82,88,
    [chemical_name] => 
    [weight] => 522.57
    [form] => C23H28F2N6O4S
    [cas] => 274693-27-5
    [pslug] => 274693-27-5-ticagrelor-novel-form-pa470111166
    [latest_product] => 0
    [linkproducts] => 0
    [offers_id] => 
    [offers_name] => 
    [offers_status] => 
    [offers_start_date] => 
    [offers_end_date] => 
    [pageview] => 
    [offers_slug] => 
    [offers_product_id] => 
    [offers_product_code] => 
    [offers_master_id] => 
    [offer_percentage] => 
    [offers_product_main_cat] => 
)
PA 47 0111166
PA 47 0111166

Ticagrelor Novel Form


  • Catalogue No.:PA 47 0111166

  • CAS :

    274693-27-5

  • Molecular Formula : C23H28F2N6O4S

  • Molecular Weight : 522.57

stdClass Object
(
    [pname] => Ticagrelor (Amorphous form)
    [catalogue_number] => PA 47 0111167
    [category_ids] => ,80,71,78,70,82,88,
    [chemical_name] => 
    [weight] => 522.57
    [form] => C23H28F2N6O4S
    [cas] => 274693-27-5
    [pslug] => 274693-27-5-ticagrelor-amorphous-form-pa470111167
    [latest_product] => 0
    [linkproducts] => 0
    [offers_id] => 
    [offers_name] => 
    [offers_status] => 
    [offers_start_date] => 
    [offers_end_date] => 
    [pageview] => 
    [offers_slug] => 
    [offers_product_id] => 
    [offers_product_code] => 
    [offers_master_id] => 
    [offer_percentage] => 
    [offers_product_main_cat] => 
)
PA 47 0111167
PA 47 0111167

Ticagrelor (Amorphous form)


  • Catalogue No.:PA 47 0111167

  • CAS :

    274693-27-5

  • Molecular Formula : C23H28F2N6O4S

  • Molecular Weight : 522.57

stdClass Object
(
    [pname] => (1R,2S,5R)-2-Isopropyl-5-methylcyclohexyl (1R,2R)-2-(3,4-difluorophenyl)cyclopropane-1-carboxylate
    [catalogue_number] => PA 47 0111168
    [category_ids] => ,80,71,78,70,82,88,
    [chemical_name] => 
    [weight] => 336.42
    [form] => C20H26F2O2
    [cas] => 376608-68-3
    [pslug] => 376608-68-3-1r-2s-5r-2-isopropyl-5-methylcyclohexyl-1r-2r-2-3-4-difluorophenyl-cyclopropane-1-carboxylate-pa470111168
    [latest_product] => 0
    [linkproducts] => 0
    [offers_id] => 
    [offers_name] => 
    [offers_status] => 
    [offers_start_date] => 
    [offers_end_date] => 
    [pageview] => 
    [offers_slug] => 
    [offers_product_id] => 
    [offers_product_code] => 
    [offers_master_id] => 
    [offer_percentage] => 
    [offers_product_main_cat] => 
)
PA 47 0111168
PA 47 0111168

(1R,2S,5R)-2-Isopropyl-5-methylcyclohexyl (1R,2R)-2-(3,4-difluorophenyl)cyclopropane-1-carboxylate


  • Catalogue No.:PA 47 0111168

  • CAS :

    376608-68-3

  • Molecular Formula : C20H26F2O2

  • Molecular Weight : 336.42

stdClass Object
(
    [pname] => N4,N6-Bis((1R,2S)-2-(3,4-difluorophenyl)cyclopropyl)-5-nitro-2-(propylthio)pyrimidine-4,6-diamine
    [catalogue_number] => PA 47 0111169
    [category_ids] => ,80,71,78,70,82,88,
    [chemical_name] => 
    [weight] => 533.55
    [form] => C25H23F4N5O2S
    [cas] => NA
    [pslug] => n4-n6-bis-1r-2s-2-3-4-difluorophenyl-cyclopropyl-5-nitro-2-propylthio-pyrimidine-4-6-diamine-pa470111169
    [latest_product] => 0
    [linkproducts] => 0
    [offers_id] => 
    [offers_name] => 
    [offers_status] => 
    [offers_start_date] => 
    [offers_end_date] => 
    [pageview] => 
    [offers_slug] => 
    [offers_product_id] => 
    [offers_product_code] => 
    [offers_master_id] => 
    [offer_percentage] => 
    [offers_product_main_cat] => 
)
PA 47 0111169
PA 47 0111169

N4,N6-Bis((1R,2S)-2-(3,4-difluorophenyl)cyclopropyl)-5-nitro-2-(propylthio)pyrimidine-4,6-diamine


  • Catalogue No.:PA 47 0111169

  • CAS :

    NA

  • Molecular Formula : C25H23F4N5O2S

  • Molecular Weight : 533.55

stdClass Object
(
    [pname] => (1S,2S)-2-(3,4-Difluorophenyl)cyclopropan-1-amine Hydrochloride
    [catalogue_number] => PA 47 0111170
    [category_ids] => ,80,71,78,70,82,88,
    [chemical_name] => 
    [weight] => 205.63
    [form] => C9H10ClF2N
    [cas] => 3094994-75-6
    [pslug] => 3094994-75-6-1s-2s-2-3-4-difluorophenyl-cyclopropan-1-amine-hydrochloride-pa470111170
    [latest_product] => 0
    [linkproducts] => 1
    [offers_id] => 
    [offers_name] => 
    [offers_status] => 
    [offers_start_date] => 
    [offers_end_date] => 
    [pageview] => 
    [offers_slug] => 
    [offers_product_id] => 
    [offers_product_code] => 
    [offers_master_id] => 
    [offer_percentage] => 
    [offers_product_main_cat] => 
)
PA 47 0111170
PA 47 0111170

(1S,2S)-2-(3,4-Difluorophenyl)cyclopropan-1-amine Hydrochloride


  • Catalogue No.:PA 47 0111170

  • CAS :

    3094994-75-6

  • Molecular Formula : C9H10ClF2N

  • Molecular Weight : 205.63

stdClass Object
(
    [pname] => 2-(((3aS,4R,6S,6aR)-6-Amino-2,2-dimethyltetrahydro-4H-cyclopenta[d][1,3]dioxol-4-yl)oxy)ethan-1-ol 2,3-dihydroxysuccinate
    [catalogue_number] => PA 47 0111171
    [category_ids] => ,78,75,70,76,82,
    [chemical_name] => 
    [weight] => 367.35
    [form] => C14H25NO10
    [cas] => NA
    [pslug] => 2-3as-4r-6s-6ar-6-amino-2-2-dimethyltetrahydro-4h-cyclopenta-d-1-3-dioxol-4-yl-oxy-ethan-1-ol-2-3-dihydroxysuccinate-pa470111171
    [latest_product] => 0
    [linkproducts] => 0
    [offers_id] => 
    [offers_name] => 
    [offers_status] => 
    [offers_start_date] => 
    [offers_end_date] => 
    [pageview] => 
    [offers_slug] => 
    [offers_product_id] => 
    [offers_product_code] => 
    [offers_master_id] => 
    [offer_percentage] => 
    [offers_product_main_cat] => 
)
PA 47 0111171
PA 47 0111171

2-(((3aS,4R,6S,6aR)-6-Amino-2,2-dimethyltetrahydro-4H-cyclopenta[d][1,3]dioxol-4-yl)oxy)ethan-1-ol 2,3-dihydroxysuccinate


  • Catalogue No.:PA 47 0111171

  • CAS :

    NA

  • Molecular Formula : C14H25NO10

  • Molecular Weight : 367.35