benzocaine
										 Stable isotopes
  - Benzocaine is indicated to treat a variety of pain-related conditions. Benzocaine, sold under the brand name Orajel.. Reference standards of Benzocaine API, and its pharmacopeial, non pharmacopeial impurities, and stable isotopes are listed below
					
																		
			stdClass Object
(
    [pname] => Benzocaine-d4
    [catalogue_number] => PA STI 010570
    [category_ids] => ,79,80,78,70,82,98,
    [chemical_name] => 
    [weight] => 169.21
    [form] => C9H7D4NO2
    [cas] => 342611-08-9
    [pslug] => 342611-08-9-benzocaine-d4-pasti010570
    [latest_product] => 0
    [linkproducts] => 0
    [offers_id] => 
    [offers_name] => 
    [offers_status] => 
    [offers_start_date] => 
    [offers_end_date] => 
    [pageview] => 
    [offers_slug] => 
    [offers_product_id] => 
    [offers_product_code] => 
    [offers_master_id] => 
    [offer_percentage] => 
    [offers_product_main_cat] => 
)
				 
													
							
								
								
									
																		
									
										- Catalogue No.:PA STI 010570 
- Molecular Formula : C9H7D4NO2 
- Molecular Weight : 169.21 
 
			                  
						 
										
									
			stdClass Object
(
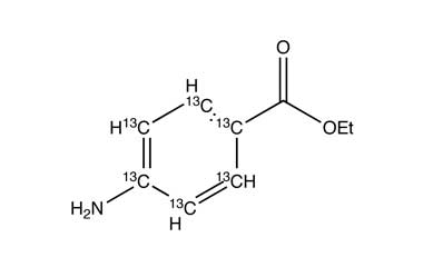
    [pname] => Benzocaine-13C6
    [catalogue_number] => PA STI 010610
    [category_ids] => ,79,80,78,70,82,98,
    [chemical_name] => 
    [weight] => 171.15
    [form] => C313C6H11NO2
    [cas] => 1391054-61-7
    [pslug] => 1391054-61-7-benzocaine-13c6
-pasti010610
    [latest_product] => 0
    [linkproducts] => 0
    [offers_id] => 
    [offers_name] => 
    [offers_status] => 
    [offers_start_date] => 
    [offers_end_date] => 
    [pageview] => 
    [offers_slug] => 
    [offers_product_id] => 
    [offers_product_code] => 
    [offers_master_id] => 
    [offer_percentage] => 
    [offers_product_main_cat] => 
)
				 
													
							
								
								
									
																		
									
										- Catalogue No.:PA STI 010610 
- Molecular Formula : C313C6H11NO2 
- Molecular Weight : 171.15 
 
			                  
						 
										
									
			stdClass Object
(
    [pname] => (4-Aminophenyl-2,3,5,6-d4)methan-d2-ol
    [catalogue_number] => PA STI 089842
    [category_ids] => ,98,
    [chemical_name] => 
    [weight] => 129.19
    [form] => C7H3D6NO
    [cas] => 1080632-97-8
    [pslug] => 1080632-97-8-4-aminophenyl-2-3-5-6-d4-methan-d2-ol-pasti089842
    [latest_product] => 0
    [linkproducts] => 0
    [offers_id] => 
    [offers_name] => 
    [offers_status] => 
    [offers_start_date] => 
    [offers_end_date] => 
    [pageview] => 
    [offers_slug] => 
    [offers_product_id] => 
    [offers_product_code] => 
    [offers_master_id] => 
    [offer_percentage] => 
    [offers_product_main_cat] => 
)
				 
													
							
								
								
									
									
										(4-Aminophenyl-2,3,5,6-d4)methan-d2-ol
										
										
									 
																		 
																		
									
										- Catalogue No.:PA STI 089842 
- Molecular Formula : C7H3D6NO 
- Molecular Weight : 129.19 
 
			                  
						 
										
									
			stdClass Object
(
    [pname] => Methyl 4-aminobenzoate-2,3,5,6-d4
    [catalogue_number] => PA STI 089843
    [category_ids] => ,98,
    [chemical_name] => 
    [weight] => 155.19
    [form] => C8H5D4NO2
    [cas] => 1080632-96-7
    [pslug] => 1080632-96-7-methyl-4-aminobenzoate-2-3-5-6-d4-pasti089843
    [latest_product] => 0
    [linkproducts] => 0
    [offers_id] => 
    [offers_name] => 
    [offers_status] => 
    [offers_start_date] => 
    [offers_end_date] => 
    [pageview] => 
    [offers_slug] => 
    [offers_product_id] => 
    [offers_product_code] => 
    [offers_master_id] => 
    [offer_percentage] => 
    [offers_product_main_cat] => 
)
				 
													
							
								
								
									
									
										Methyl 4-aminobenzoate-2,3,5,6-d4
										
										
									 
																		 
																		
									
										- Catalogue No.:PA STI 089843 
- Molecular Formula : C8H5D4NO2 
- Molecular Weight : 155.19