cyclopamine
										 Stable isotopes
  - Cyclopamine is currently being investigated as a treatment agent in basal cell carcinoma, medulloblastoma, and rhabdomyosarcoma, tumors that commonly result from excessive SHh activity, glioblastoma, and as a treatment agent for multiple myeloma. Reference standards of Cyclopamine API,and its pharmacopeial, non pharmacopeial impurities, and stable isotopes are listed below.
					
																		
			stdClass Object
(
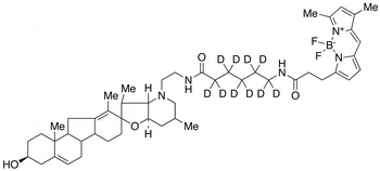
    [pname] => Bodipy Cyclopamine-d10
    [catalogue_number] => PA STI 014190
    [category_ids] => ,89,81,78,70,82,87,98,
    [chemical_name] => 
    [weight] => 851.98
    [form] => C49H60D10BF2N5O4
    [cas] => NA
    [pslug] => bodipy-cyclopamine-d10-pasti014190
    [latest_product] => 0
    [linkproducts] => 0
    [offers_id] => 
    [offers_name] => 
    [offers_status] => 
    [offers_start_date] => 
    [offers_end_date] => 
    [pageview] => 
    [offers_slug] => 
    [offers_product_id] => 
    [offers_product_code] => 
    [offers_master_id] => 
    [offer_percentage] => 
    [offers_product_main_cat] => 
)
				 
													
							
								
								
									
																		
									
										- Catalogue No.:PA STI 014190 
- Molecular Formula : C49H60D10BF2N5O4 
- Molecular Weight : 851.98