teneligliptin
										 Stable isotopes
  - Teneligliptin belongs to the  dipeptidyl peptidase-4 inhibitors class of drugs. This anti-diabetic drug is used for the treatment of type 2 diabetes mellitus. Reference standards of Teneligliptin API,and its pharmacopeial, non pharmacopeial impurities, and stable isotopes are listed below.
					
																		
			stdClass Object
(
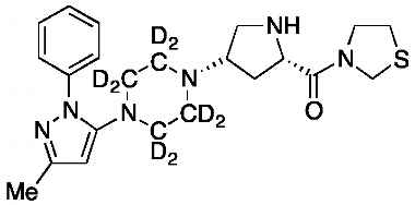
    [pname] => Teneligliptin-d8
    [catalogue_number] => PA STI 081401
    [category_ids] => ,79,80,69,74,71,81,78,70,82,88,98,
    [chemical_name] => 
    [weight] => 434.63
    [form] => C22H22D8N6OS
    [cas] => 1391012-95-5
    [pslug] => 1391012-95-5-teneligliptin-d8-pasti081401
    [latest_product] => 0
    [linkproducts] => 0
    [offers_id] => 
    [offers_name] => 
    [offers_status] => 
    [offers_start_date] => 
    [offers_end_date] => 
    [pageview] => 
    [offers_slug] => 
    [offers_product_id] => 
    [offers_product_code] => 
    [offers_master_id] => 
    [offer_percentage] => 
    [offers_product_main_cat] => 
)
				 
													
							
								
								
									
																		
									
										- Catalogue No.:PA STI 081401 
- Molecular Formula : C22H22D8N6OS 
- Molecular Weight : 434.63