vitamin d3
										 Stable isotopes
  - Vitamin D3 is a group of fat-soluble secosteroids responsible for increasing intestinal absorption of calcium, magnesium, and phosphate, and multiple other biological effects.Reference standards of Vitamin D3 API,and its pharmacopeial, non pharmacopeial impurities, and stable isotopes are listed below.
					
																		
			stdClass Object
(
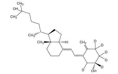
    [pname] => Calcitriol-d6
    [catalogue_number] => PA STI 017000
    [category_ids] => ,82,78,70,69,98,
    [chemical_name] => 
    [weight] => 422.67
    [form] => C27H38D6O3
    [cas] => 78782-99-7
    [pslug] => 78782-99-7-calcitriol-d6-pasti017000
    [latest_product] => 0
    [linkproducts] => 0
    [offers_id] => 
    [offers_name] => 
    [offers_status] => 
    [offers_start_date] => 
    [offers_end_date] => 
    [pageview] => 
    [offers_slug] => 
    [offers_product_id] => 
    [offers_product_code] => 
    [offers_master_id] => 
    [offer_percentage] => 
    [offers_product_main_cat] => 
)
				 
													
							
								
								
									
																		
									
										- Catalogue No.:PA STI 017000 
- Molecular Formula : C27H38D6O3 
- Molecular Weight : 422.67 
 
			                  
						 
										
									
			stdClass Object
(
    [pname] => 5,6-trans-Calcitriol-d6
    [catalogue_number] => PA STI 017010
    [category_ids] => ,69,75,78,70,82,98,
    [chemical_name] => 
    [weight] => 422.67
    [form] => C27H38D6O3
    [cas] => 2432010-01-8
    [pslug] => 2432010-01-8-5-6-trans-calcitriol-d6-pasti017010
    [latest_product] => 0
    [linkproducts] => 0
    [offers_id] => 
    [offers_name] => 
    [offers_status] => 
    [offers_start_date] => 
    [offers_end_date] => 
    [pageview] => 
    [offers_slug] => 
    [offers_product_id] => 
    [offers_product_code] => 
    [offers_master_id] => 
    [offer_percentage] => 
    [offers_product_main_cat] => 
)
				 
													
							
								
								
									
																		
									
										- Catalogue No.:PA STI 017010 
- Molecular Formula : C27H38D6O3 
- Molecular Weight : 422.67 
 
			                  
						 
										
									
			stdClass Object
(
    [pname] => 25-Hydroxyvitamin D3 3-Hemisuccinate-13C4
    [catalogue_number] => PA STI 052140
    [category_ids] => ,98,82,78,70,69,
    [chemical_name] => 
    [weight] => 504.68
    [form] => C2713C4H48O5
    [cas] => NA
    [pslug] => 25-hydroxyvitamin-d3-3-hemisuccinate-13c4-pasti052140
    [latest_product] => 0
    [linkproducts] => 0
    [offers_id] => 
    [offers_name] => 
    [offers_status] => 
    [offers_start_date] => 
    [offers_end_date] => 
    [pageview] => 
    [offers_slug] => 
    [offers_product_id] => 
    [offers_product_code] => 
    [offers_master_id] => 
    [offer_percentage] => 
    [offers_product_main_cat] => 
)
				 
													
							
								
								
									
									
										25-Hydroxyvitamin D3 3-Hemisuccinate-13C4
										
										
									 
																		 
																		
									
										- Catalogue No.:PA STI 052140 
- Molecular Formula : C2713C4H48O5 
- Molecular Weight : 504.68 
 
			                  
						 
										
									
			stdClass Object
(
    [pname] => 3-epi-25-Hydroxy Vitamin D3-d6
    [catalogue_number] => PA STI 052150
    [category_ids] => ,69,98,76,75,78,70,82,
    [chemical_name] => 
    [weight] => 406.67
    [form] => C27H38D6O2
    [cas] => NA
    [pslug] => 3-epi-25-hydroxy-vitamin-d3-d6-pasti052150
    [latest_product] => 0
    [linkproducts] => 0
    [offers_id] => 
    [offers_name] => 
    [offers_status] => 
    [offers_start_date] => 
    [offers_end_date] => 
    [pageview] => 
    [offers_slug] => 
    [offers_product_id] => 
    [offers_product_code] => 
    [offers_master_id] => 
    [offer_percentage] => 
    [offers_product_main_cat] => 
)
				 
													
							
								
								
									
									
										3-epi-25-Hydroxy Vitamin D3-d6
										
										
									 
																		 
																		
									
										- Catalogue No.:PA STI 052150 
- Molecular Formula : C27H38D6O2 
- Molecular Weight : 406.67 
 
			                  
						 
										
									
			stdClass Object
(
    [pname] => 25-Hydroxy Vitamin D3-d6 3-Sulfate Sodium Salt (80%)
    [catalogue_number] => PA STI 052160
    [category_ids] => ,98,76,75,78,70,82,
    [chemical_name] => 
    [weight] => 508.72
    [form] => C27H37D6NaO5S
    [cas] => NA
    [pslug] => 25-hydroxy-vitamin-d3-d6-3-sulfate-sodium-salt-80-pasti052160
    [latest_product] => 0
    [linkproducts] => 0
    [offers_id] => 
    [offers_name] => 
    [offers_status] => 
    [offers_start_date] => 
    [offers_end_date] => 
    [pageview] => 
    [offers_slug] => 
    [offers_product_id] => 
    [offers_product_code] => 
    [offers_master_id] => 
    [offer_percentage] => 
    [offers_product_main_cat] => 
)
				 
													
							
								
								
									
									
										25-Hydroxy Vitamin D3-d6 3-Sulfate Sodium Salt (80%)
										
										
									 
																		 
																		
									
										- Catalogue No.:PA STI 052160 
- Molecular Formula : C27H37D6NaO5S 
- Molecular Weight : 508.72 
 
			                  
						 
										
									
			stdClass Object
(
    [pname] => 5-Hydroxyvitamin D3 25-Glucuronide-d6
    [catalogue_number] => PA STI 052170
    [category_ids] => ,69,70,78,82,98,95,
    [chemical_name] => 
    [weight] => 582.80
    [form] => C33H46D6O8
    [cas] => NA
    [pslug] => 5-hydroxyvitamin-d3-25-glucuronide-d6-pasti052170
    [latest_product] => 0
    [linkproducts] => 0
    [offers_id] => 
    [offers_name] => 
    [offers_status] => 
    [offers_start_date] => 
    [offers_end_date] => 
    [pageview] => 
    [offers_slug] => 
    [offers_product_id] => 
    [offers_product_code] => 
    [offers_master_id] => 
    [offer_percentage] => 
    [offers_product_main_cat] => 
)
				 
													
							
								
								
									
									
										5-Hydroxyvitamin D3 25-Glucuronide-d6
										
										
									 
																		 
																		
									
										- Catalogue No.:PA STI 052170 
- Molecular Formula : C33H46D6O8 
- Molecular Weight : 582.80 
 
			                  
						 
										
									
			stdClass Object
(
    [pname] => 5-Hydroxyvitamin D3 3-Glucuronide-d6
    [catalogue_number] => PA STI 052180
    [category_ids] => ,69,70,78,82,98,95,
    [chemical_name] => 
    [weight] => 582.80
    [form] => C33H46D6O8
    [cas] => NA
    [pslug] => 5-hydroxyvitamin-d3-3-glucuronide-d6-pasti052180
    [latest_product] => 0
    [linkproducts] => 0
    [offers_id] => 
    [offers_name] => 
    [offers_status] => 
    [offers_start_date] => 
    [offers_end_date] => 
    [pageview] => 
    [offers_slug] => 
    [offers_product_id] => 
    [offers_product_code] => 
    [offers_master_id] => 
    [offer_percentage] => 
    [offers_product_main_cat] => 
)
				 
													
							
								
								
									
									
										5-Hydroxyvitamin D3 3-Glucuronide-d6
										
										
									 
																		 
																		
									
										- Catalogue No.:PA STI 052180 
- Molecular Formula : C33H46D6O8 
- Molecular Weight : 582.80 
 
			                  
						 
										
									
			stdClass Object
(
    [pname] => 25-Hydroxyvitamin D3 25-Sulfate-d6 Sodium Salt
    [catalogue_number] => PA STI 052190
    [category_ids] => ,69,98,78,70,82,
    [chemical_name] => 
    [weight] => 508.72
    [form] => C27H37D6NaO5S
    [cas] => NA
    [pslug] => 25-hydroxyvitamin-d3-25-sulfate-d6-sodium-salt-pasti052190
    [latest_product] => 0
    [linkproducts] => 0
    [offers_id] => 
    [offers_name] => 
    [offers_status] => 
    [offers_start_date] => 
    [offers_end_date] => 
    [pageview] => 
    [offers_slug] => 
    [offers_product_id] => 
    [offers_product_code] => 
    [offers_master_id] => 
    [offer_percentage] => 
    [offers_product_main_cat] => 
)
				 
													
							
								
								
									
									
										25-Hydroxyvitamin D3 25-Sulfate-d6 Sodium Salt
										
										
									 
																		 
																		
									
										- Catalogue No.:PA STI 052190 
- Molecular Formula : C27H37D6NaO5S 
- Molecular Weight : 508.72