glycocholic acid hydrate sodium salt

Steroids - Glycocholic Acid Hydrate Sodium Salt is used to measure total bile acids through fluorometric and enzymatic assays. It is an ionic biologic detergent formed through the conjugation of cholic acid with glycine. Reference standards of Glycocholic Acid Hydrate Sodium Salt API,and its pharmacopeial, non pharmacopeial impurities, and stable isotopes are listed below.

stdClass Object
(
    [pname] => Glycocholic Acid Hydrate Sodium Salt
    [catalogue_number] => PA 07 56000
    [category_ids] => ,79,78,70,82,87,
    [chemical_name] => 
    [weight] => 487.6
    [form] => C26H42NO6Na·xH2O
    [cas] => 338950-81-5
    [pslug] => 338950-81-5-glycocholic-acid-hydrate-sodium-salt-api-pa0756000
    [latest_product] => 0
    [linkproducts] => 0
    [offers_id] => 
    [offers_name] => 
    [offers_status] => 
    [offers_start_date] => 
    [offers_end_date] => 
    [pageview] => 
    [offers_slug] => 
    [offers_product_id] => 
    [offers_product_code] => 
    [offers_master_id] => 
    [offer_percentage] => 
    [offers_product_main_cat] => 
)
PA 07 56000
PA 07 56000

Glycocholic Acid Hydrate Sodium Salt


  • Catalogue No.:PA 07 56000

  • CAS :

    338950-81-5

  • Molecular Formula : C26H42NO6Na·xH2O

  • Molecular Weight : 487.6

stdClass Object
(
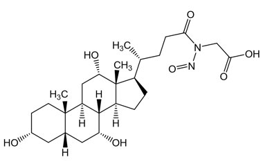
    [pname] => N-Nitrosoglycocholic Acid
    [catalogue_number] => PA 07 0561000
    [category_ids] => ,79,78,70,82,87,162,
    [chemical_name] => 
    [weight] => 494.63
    [form] => C26H42N2O7
    [cas] => 76757-85-2
    [pslug] => 76757-85-2-n-nitrosoglycocholic-acid-pa070561000
    [latest_product] => 0
    [linkproducts] => 0
    [offers_id] => 
    [offers_name] => 
    [offers_status] => 
    [offers_start_date] => 
    [offers_end_date] => 
    [pageview] => 
    [offers_slug] => 
    [offers_product_id] => 
    [offers_product_code] => 
    [offers_master_id] => 
    [offer_percentage] => 
    [offers_product_main_cat] => 
)
PA 07 0561000
PA 07 0561000

N-Nitrosoglycocholic Acid


  • Catalogue No.:PA 07 0561000

  • CAS :

    76757-85-2

  • Molecular Formula : C26H42N2O7

  • Molecular Weight : 494.63

pharmaffiliates