cyclophosphamide and its Impurities
Cyclophosphamide is used to treat cancers and autoimmune diseases. It is used to quickly control the disease.. Reference standards of Cyclophosphamide API, and its pharmacopeial, non pharmacopeial impurities, and stable isotopes are listed below
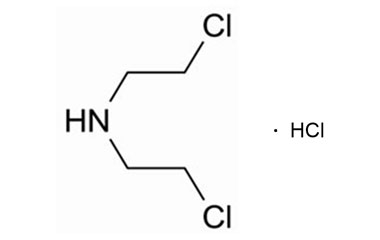
Cyclophosphamide Related Compound D (3-[2-(2-chloroethylamino)ethylamino]propyl dihydrogen phosphat (1157046)
Cyclophosphamide Related Compound D (3-[2-(2-chloroethylamino)ethylamino]propyl dihydrogen phosphat (1157046)
Catalogue No.:PA USP1157046
CAS :
158401-51-5
Molecular Formula : NA
Molecular Weight : NA
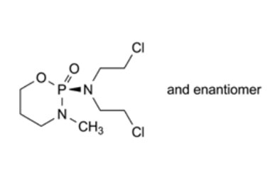
Cyclophosphamide Related Compound B (3-(2-chloroethyl)-2-oxo-2-hydroxy-1,3,6,2-oxadiazaphosphonane) (1157024)
Cyclophosphamide Related Compound B (3-(2-chloroethyl)-2-oxo-2-hydroxy-1,3,6,2-oxadiazaphosphonane) (1157024)
Catalogue No.:PA USP1157024
CAS :
158401-52-6
Molecular Formula : NA
Molecular Weight : NA
N-(2-(Aziridin-1-yl)ethyl)-4-methyl-N-(3-((tetrahydro-2H-pyran-2-yl)oxy)propyl)benzenesulfonamide
N-(2-(Aziridin-1-yl)ethyl)-4-methyl-N-(3-((tetrahydro-2H-pyran-2-yl)oxy)propyl)benzenesulfonamide
Catalogue No.:PAI 03 014040
CAS :
NA
Molecular Formula : C19H30N2O4S
Molecular Weight : 382.52
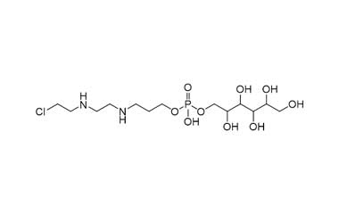
3-((2-((2-Chloroethyl)amino)ethyl)amino)propyl (2,3,4,5,6-pentahydroxyhexyl) Hydrogen Phosphate
3-((2-((2-Chloroethyl)amino)ethyl)amino)propyl (2,3,4,5,6-pentahydroxyhexyl) Hydrogen Phosphate
Catalogue No.:PA 03 83750
CAS :
NA
Molecular Formula : C13H30ClN2O9P
Molecular Weight : 424.81
Azanediylbis(propane-3,1-diyl) bis (hydrogen (2-aminoethyl) (2-chloroethyl) phosphoramidate)
Azanediylbis(propane-3,1-diyl) bis (hydrogen (2-aminoethyl) (2-chloroethyl) phosphoramidate)
Catalogue No.:PA 03 0831002
CAS :
NA
Molecular Formula : C14H35Cl2N5O6P2
Molecular Weight : 502.31

