edoxaban and its Impurities
Edoxaban is a member of the Novel Oral Anti-Coagulants class of drugs, and is a rapidly acting, oral, selective factor Xa inhibitor.. Reference standards of Edoxaban API, and its pharmacopeial, non pharmacopeial impurities, and stable isotopes are listed below
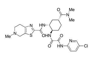
N1-(5-Chloropyridin-2-yl)-N2-((1S,2R,4S)-2-(5-methyl-4,5,6,7-tetrahydrothiazolo[5,4-c]pyridine-2-carboxamido)-4-(methylcarbamoyl)cyclohexyl)oxalamide
N1-(5-Chloropyridin-2-yl)-N2-((1S,2R,4S)-2-(5-methyl-4,5,6,7-tetrahydrothiazolo[5,4-c]pyridine-2-carboxamido)-4-(methylcarbamoyl)cyclohexyl)oxalamide
Catalogue No.:PA 05 82600
CAS :
740794-83-6
Molecular Formula : C23H28ClN7O4S
Molecular Weight : 534.03
5-Chloro-2-(2-(((1S,2R,4S)-4-(dimethylcarbamoyl)-2-(5-methyl-4,5,6,7-tetrahydrothiazolo[5,4-c]pyridine-2-carboxamido)cyclohexyl)amino)-2-oxoacetamido)pyridine 1-oxide
5-Chloro-2-(2-(((1S,2R,4S)-4-(dimethylcarbamoyl)-2-(5-methyl-4,5,6,7-tetrahydrothiazolo[5,4-c]pyridine-2-carboxamido)cyclohexyl)amino)-2-oxoacetamido)pyridine 1-oxide
Catalogue No.:PA 05 82690
CAS :
2803372-49-6
Molecular Formula : C24H30ClN7O5S
Molecular Weight : 564.06
N-((1R,2S,5S)-2-Amino-5-(dimethylcarbamoyl)cyclohexyl)-5-methyl-4,5,6,7-tetrahydrothiazolo[5,4-c]pyridine-2-carboxamide
N-((1R,2S,5S)-2-Amino-5-(dimethylcarbamoyl)cyclohexyl)-5-methyl-4,5,6,7-tetrahydrothiazolo[5,4-c]pyridine-2-carboxamide
Catalogue No.:PA 05 0821010
CAS :
480450-71-3
Molecular Formula : C17H27N5O2S
Molecular Weight : 365.5
N1-(5-Chloropyridin-2-yl)-N2-((1R,2S,5S)-5-(dimethylcarbamoyl)-2-(2-(methylamino)-2-oxoacetamido)cyclohexyl)oxalamide
N1-(5-Chloropyridin-2-yl)-N2-((1R,2S,5S)-5-(dimethylcarbamoyl)-2-(2-(methylamino)-2-oxoacetamido)cyclohexyl)oxalamide
Catalogue No.:PA 05 0821019
CAS :
NA
Molecular Formula : C19H25ClN6O5
Molecular Weight : 452.9
N1-((1S,2R,4S)-2-Amino-4-(dimethylcarbamoyl)cyclohexyl)-N2-(5-chloropyridin-2-yl)oxalamide Methanesulfonate
N1-((1S,2R,4S)-2-Amino-4-(dimethylcarbamoyl)cyclohexyl)-N2-(5-chloropyridin-2-yl)oxalamide Methanesulfonate
Catalogue No.:PA 05 0821020
CAS :
1807315-98-5
Molecular Formula : C17H26ClN5O6S
Molecular Weight : 463.93
tert-Butyl ((1S,2R,5S)-2-(2-((5-chloropyridin-2-yl)amino)-2-oxoacetamido)-5-(dimethylcarbamoyl)cyclohexyl)carbamate
tert-Butyl ((1S,2R,5S)-2-(2-((5-chloropyridin-2-yl)amino)-2-oxoacetamido)-5-(dimethylcarbamoyl)cyclohexyl)carbamate
Catalogue No.:PA 05 0821021
CAS :
2024614-15-9
Molecular Formula : C21H30ClN5O5
Molecular Weight : 467.95
tert-Butyl ((1R,2R,5S)-2-(2-((5-chloropyridin-2-yl)amino)-2-oxoacetamido)-5-(dimethylcarbamoyl)cyclohexyl)carbamate
tert-Butyl ((1R,2R,5S)-2-(2-((5-chloropyridin-2-yl)amino)-2-oxoacetamido)-5-(dimethylcarbamoyl)cyclohexyl)carbamate
Catalogue No.:PA 05 0821022
CAS :
480451-98-7
Molecular Formula : C21H30ClN5O5
Molecular Weight : 467.95
tert-Butyl ((1R,2S,5S)-2-(2-((5-chloropyridin-2-yl)amino)-2-oxoacetamido)-5-(dimethylcarbamoyl)cyclohexyl)carbamate
tert-Butyl ((1R,2S,5S)-2-(2-((5-chloropyridin-2-yl)amino)-2-oxoacetamido)-5-(dimethylcarbamoyl)cyclohexyl)carbamate
Catalogue No.:PA 05 0821023
CAS :
480452-36-6
Molecular Formula : C21H30ClN5O5
Molecular Weight : 467.95
tert-Butyl ((1R,2S,5R)-2-(2-((5-chloropyridin-2-yl)amino)-2-oxoacetamido)-5-(dimethylcarbamoyl)cyclohexyl)carbamate
tert-Butyl ((1R,2S,5R)-2-(2-((5-chloropyridin-2-yl)amino)-2-oxoacetamido)-5-(dimethylcarbamoyl)cyclohexyl)carbamate
Catalogue No.:PA 05 0821024
CAS :
2024614-32-0
Molecular Formula : C21H30ClN5O5
Molecular Weight : 467.95
tert-Butyl ((1S,2S,5R)-2-(2-((5-chloropyridin-2-yl)amino)-2-oxoacetamido)-5-(dimethylcarbamoyl)cyclohexyl)carbamate
tert-Butyl ((1S,2S,5R)-2-(2-((5-chloropyridin-2-yl)amino)-2-oxoacetamido)-5-(dimethylcarbamoyl)cyclohexyl)carbamate
Catalogue No.:PA 05 0821025
CAS :
2024614-21-7
Molecular Formula : C21H30ClN5O5
Molecular Weight : 467.95
tert-Butyl ((1S,2R,5R)-2-(2-((5-chloropyridin-2-yl)amino)-2-oxoacetamido)-5-(dimethylcarbamoyl)cyclohexyl)carbamate
tert-Butyl ((1S,2R,5R)-2-(2-((5-chloropyridin-2-yl)amino)-2-oxoacetamido)-5-(dimethylcarbamoyl)cyclohexyl)carbamate
Catalogue No.:PA 05 0821026
CAS :
1255529-33-9
Molecular Formula : C21H30ClN5O5
Molecular Weight : 467.95
tert-Butyl ((1R,2R,5R)-2-(2-((5-chloropyridin-2-yl)amino)-2-oxoacetamido)-5-(dimethylcarbamoyl)cyclohexyl)carbamate
tert-Butyl ((1R,2R,5R)-2-(2-((5-chloropyridin-2-yl)amino)-2-oxoacetamido)-5-(dimethylcarbamoyl)cyclohexyl)carbamate
Catalogue No.:PA 05 0821027
CAS :
1255529-38-4
Molecular Formula : C21H30ClN5O5
Molecular Weight : 467.95
N1-(3,5-Dichloropyridin-2-yl)-N2-((1S,2R,4S)-4-(dimethylcarbamoyl)-2-(5-methyl-4,5,6,7-tetrahydrothiazolo[5,4-c]pyridine-2-carboxamido)cyclohexyl)oxalamide
N1-(3,5-Dichloropyridin-2-yl)-N2-((1S,2R,4S)-4-(dimethylcarbamoyl)-2-(5-methyl-4,5,6,7-tetrahydrothiazolo[5,4-c]pyridine-2-carboxamido)cyclohexyl)oxalamide
Catalogue No.:PA 05 0821029
CAS :
NA
Molecular Formula : C24H29Cl2N7O4S
Molecular Weight : 582.5
N1-((1S,2R,4S)-2-Amino-4-(dimethylcarbamoyl)cyclohexyl)-N2-(5-chloropyridin-2-yl)oxalamide
N1-((1S,2R,4S)-2-Amino-4-(dimethylcarbamoyl)cyclohexyl)-N2-(5-chloropyridin-2-yl)oxalamide
Catalogue No.:PA 05 0821045
CAS :
480452-37-7
Molecular Formula : C16H22ClN5O3
Molecular Weight : 367.83
(1S,3R,4R)-3-[(tert-Butoxycarbonyl)amino]-4-[(methylsulfonyl)oxy]cyclohexanecarboxylic Acid Ethyl Ester
(1S,3R,4R)-3-[(tert-Butoxycarbonyl)amino]-4-[(methylsulfonyl)oxy]cyclohexanecarboxylic Acid Ethyl Ester
Catalogue No.:PA 05 0821046
CAS :
365997-36-0
Molecular Formula : C15H27NO7S
Molecular Weight : 365.44
(1R,2R,4S)-2-((tert-Butoxycarbonyl)amino)-4-(dimethylcarbamoyl)cyclohexyl methanesulfonate
(1R,2R,4S)-2-((tert-Butoxycarbonyl)amino)-4-(dimethylcarbamoyl)cyclohexyl methanesulfonate
Catalogue No.:PA 05 0821049
CAS :
929693-31-2
Molecular Formula : 15H28N2O6S
Molecular Weight : 364.46
N,N'-((1S,2R,4S)-4-(dimethylcarbamoyl)cyclohexane-1,2-diyl)bis(5-methyl-4,5,6,7-tetrahydrothiazolo[5,4-c]pyridine-2-carboxamide)
N,N'-((1S,2R,4S)-4-(dimethylcarbamoyl)cyclohexane-1,2-diyl)bis(5-methyl-4,5,6,7-tetrahydrothiazolo[5,4-c]pyridine-2-carboxamide)
Catalogue No.:PA 05 0821050
CAS :
NA
Molecular Formula : C25H35N7O3S2
Molecular Weight : 545.72
2-(((1R,2S,5S)-2-(2-((5-Chloro-1-oxidopyridin-2-yl)amino)-2-oxoacetamido)-5-(dimethylcarbamoyl)cyclohexyl)carbamoyl)-5-methyl-4,5,6,7-tetrahydrothiazolo[5,4-c]pyridine 5-oxide
2-(((1R,2S,5S)-2-(2-((5-Chloro-1-oxidopyridin-2-yl)amino)-2-oxoacetamido)-5-(dimethylcarbamoyl)cyclohexyl)carbamoyl)-5-methyl-4,5,6,7-tetrahydrothiazolo[5,4-c]pyridine 5-oxide
Catalogue No.:PA 05 0821052
CAS :
NA
Molecular Formula : C24H30ClN7O6S
Molecular Weight : 580.06
N1-(5-Chloropyridin-2-yl)-N2-((1S,2R,4S)-4-(dimethylcarbamoyl)-2-(5-nitroso-4,5,6,7-tetrahydrothiazolo[5,4-c]pyridine-2-carboxamido)cyclohexyl)oxalamide
N1-(5-Chloropyridin-2-yl)-N2-((1S,2R,4S)-4-(dimethylcarbamoyl)-2-(5-nitroso-4,5,6,7-tetrahydrothiazolo[5,4-c]pyridine-2-carboxamido)cyclohexyl)oxalamide
Catalogue No.:PA 05 0821058
CAS :
3100114-24-4
Molecular Formula : C23H27ClN8O5S
Molecular Weight : 563.03
Ethyl 2-(((1S,2R,4S)-4-(dimethylcarbamoyl)-2-(5-methyl-4,5,6,7-tetrahydrothiazolo[5,4-c]pyridine-2-carboxamido)cyclohexyl)amino)-2-oxoacetate
Ethyl 2-(((1S,2R,4S)-4-(dimethylcarbamoyl)-2-(5-methyl-4,5,6,7-tetrahydrothiazolo[5,4-c]pyridine-2-carboxamido)cyclohexyl)amino)-2-oxoacetate
Catalogue No.:PA 05 0821059
CAS :
480450-85-9
Molecular Formula : C21H31N5O5S
Molecular Weight : 465.57
Ethyl (1S,3R,4S)-4-(2-((5-chloropyridin-2-yl)amino)-2-oxoacetamido)-3-(5-methyl-4,5,6,7-tetrahydrothiazolo[5,4-c]pyridine-2-carboxamido)cyclohexane-1-carboxylate
Ethyl (1S,3R,4S)-4-(2-((5-chloropyridin-2-yl)amino)-2-oxoacetamido)-3-(5-methyl-4,5,6,7-tetrahydrothiazolo[5,4-c]pyridine-2-carboxamido)cyclohexane-1-carboxylate
Catalogue No.:PA 05 0821060
CAS :
1093351-29-1
Molecular Formula : C24H29ClN6O5S
Molecular Weight : 549.04
tert-Butyl ((1S,2S,5S)-2-(2-((5-chloropyridin-2-yl)amino)-2-oxoacetamido)-5-(dimethylcarbamoyl)cyclohexyl)carbamate
tert-Butyl ((1S,2S,5S)-2-(2-((5-chloropyridin-2-yl)amino)-2-oxoacetamido)-5-(dimethylcarbamoyl)cyclohexyl)carbamate
Catalogue No.:PA 05 0821070
CAS :
2024614-20-6
Molecular Formula : C21H30ClN5O5
Molecular Weight : 467.95
Lithium 2-(((1S,2R,4S)-4-(dimethylcarbamoyl)-2-(5-methyl-4,5,6,7-tetrahydrothiazolo[5,4-c]pyridine-2-carboxamido)cyclohexyl)amino)-2-oxoacetate
Lithium 2-(((1S,2R,4S)-4-(dimethylcarbamoyl)-2-(5-methyl-4,5,6,7-tetrahydrothiazolo[5,4-c]pyridine-2-carboxamido)cyclohexyl)amino)-2-oxoacetate
Catalogue No.:PA 05 0821071
CAS :
480450-86-0
Molecular Formula : C19H26LiN5O5S
Molecular Weight : 443.45
N-((1R,2S,5S)-2-Azido-5-(dimethylcarbamoyl)cyclohexyl)-5-methyl-4,5,6,7-tetrahydrothiazolo[5,4-c]pyridine-2-carboxamide
N-((1R,2S,5S)-2-Azido-5-(dimethylcarbamoyl)cyclohexyl)-5-methyl-4,5,6,7-tetrahydrothiazolo[5,4-c]pyridine-2-carboxamide
Catalogue No.:PAI 05 082007
CAS :
480450-70-2
Molecular Formula : C17H25N7O2S
Molecular Weight : 391.49

