mertansine and its Impurities
Mertansine is a thiol-containing maytansinoid which is used for therapeutic purposes is attached to a monoclonal antibody through reaction of the thiol group with a linker structure to create an antibody-drug conjugate. It is also called DM1. Reference standards of Mertansine API,and its pharmacopeial, non pharmacopeial impurities, and stable isotopes are listed below.
 
	
			                                   
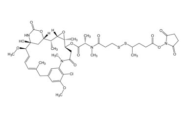
																				2,5-Dioxopyrrolidin-1-yl 4-((3-((3-(((2S)-1-(((14S,16S,33S,2R,4R,10E,12Z,14R)-86-chloro-14-hydroxy-85,14-dimethoxy-33,2,7,10-tetramethyl-12,6-dioxo-7-aza-1(6,4)-oxazinana-3(2,3)-oxirana-8(1,3)-benzenacyclotetradecaphane-10,12-dien-4-yl)oxy)-1-oxopropan-2-yl)(methyl)amino)-3-oxopropyl)thio)-2,5-dioxopyrrolidin-1-yl)methyl)cyclohexane-1-carboxylate
2,5-Dioxopyrrolidin-1-yl 4-((3-((3-(((2S)-1-(((14S,16S,33S,2R,4R,10E,12Z,14R)-86-chloro-14-hydroxy-85,14-dimethoxy-33,2,7,10-tetramethyl-12,6-dioxo-7-aza-1(6,4)-oxazinana-3(2,3)-oxirana-8(1,3)-benzenacyclotetradecaphane-10,12-dien-4-yl)oxy)-1-oxopropan-2-yl)(methyl)amino)-3-oxopropyl)thio)-2,5-dioxopyrrolidin-1-yl)methyl)cyclohexane-1-carboxylate
- Catalogue No.:PA 40 42510 
- CAS : - 1228105-51-8
- Molecular Formula : C51H66ClN5O16S 
- Molecular Weight : 1072.61 

 
																				 
																				 
																				 
																				 
																				 
																				 
 
 
 
