methotrexate and its Impurities
An antimetabolite of the antifolate type, Methotrexate is an chemotherapy drug and used for treating autoimmune diseases like psoriasis, rheumatoid arthritis. It causes life threatening side effects. Reference standards of Methotrexate API,and its pharmacopeial, non pharmacopeial impurities, and stable isotopes are listed below.
 
	
			                                   
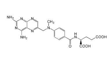
																				R-Methotrexate ((R)-2-(4-{[(2,4-diaminopteridin-6-yl)methyl](methyl)amino}benzamido)pentanedioic ac (1413988)
R-Methotrexate ((R)-2-(4-{[(2,4-diaminopteridin-6-yl)methyl](methyl)amino}benzamido)pentanedioic ac (1413988)
- Catalogue No.:PA USP1413988 
- CAS : - 59-05-2
- Molecular Formula : NA 
- Molecular Weight : NA 
 
	
			                                   
																				Methotrexate Related Compound B ((S)-2-{4-[(2,4-diaminopteridin-6-yl)methylamino]benzamido}pentaned (1414025)
Methotrexate Related Compound B ((S)-2-{4-[(2,4-diaminopteridin-6-yl)methylamino]benzamido}pentaned (1414025)
- Catalogue No.:PA USP1414025 
- CAS : - 54-62-6
- Molecular Formula : NA 
- Molecular Weight : NA 
 
	
			                                   
																				Methotrexate Related Compound C ((S)-2-(4-{[(2-amino-4-oxo-1,4-dihydropteridin-6-yl)methyl](methyl) (1414036)
Methotrexate Related Compound C ((S)-2-(4-{[(2-amino-4-oxo-1,4-dihydropteridin-6-yl)methyl](methyl) (1414036)
- Catalogue No.:PA USP1414036 
- CAS : - 2410-93-7
- Molecular Formula : NA 
- Molecular Weight : NA 
 
	
			                                   
																				Methotrexate Related Compound E (4-{[(2,4-Diaminopteridin-6-yl)methyl](methyl)amino}benzoic acid, h (1414058)
Methotrexate Related Compound E (4-{[(2,4-Diaminopteridin-6-yl)methyl](methyl)amino}benzoic acid, h (1414058)
- Catalogue No.:PA USP1414058 
- CAS : - 70844-48-3
- Molecular Formula : NA 
- Molecular Weight : NA 
 
	
			                                   
																				Sodium (S)-2-(4-(((2,4-diaminopteridin-6-yl)methyl)(methyl)amino)-N-nitrosobenzamido)-2-methylpentanedioate
Sodium (S)-2-(4-(((2,4-diaminopteridin-6-yl)methyl)(methyl)amino)-N-nitrosobenzamido)-2-methylpentanedioate
- Catalogue No.:PA 13 0281012 
- CAS : - NA
- Molecular Formula : C21H21N9Na2O6 
- Molecular Weight : 541.44 
 
	
			                                   
																				(S)-2-(4-(((2,4-Diaminopteridin-6-yl)methyl)(methyl)amino)benzamido)-5-ethoxy-5-oxopentanoic Acid
(S)-2-(4-(((2,4-Diaminopteridin-6-yl)methyl)(methyl)amino)benzamido)-5-ethoxy-5-oxopentanoic Acid
- Catalogue No.:PA 13 0281027 
- CAS : - 65148-64-3
- Molecular Formula : C22H26N8O5 
- Molecular Weight : 482.5 
 
	
			                                   
																				(S)-4-(4-(((2,4-Diaminopteridin-6-yl)methyl)(methyl)amino)benzamido)-5-ethoxy-5-oxopentanoic Acid
(S)-4-(4-(((2,4-Diaminopteridin-6-yl)methyl)(methyl)amino)benzamido)-5-ethoxy-5-oxopentanoic Acid
- Catalogue No.:PA 13 0281028 
- CAS : - 65148-63-2
- Molecular Formula : C22H26N8O5 
- Molecular Weight : 482.5 

 
																				 
																				 
																				 
																				 
																				 
																				 
																				 
																				 
																				 
																				 
																				 
																				 
																				 
																				 
																				 
																				 
																				 
																				 
																				 
																				 
																				 
																				 
																				 
																				 
																				 
																				 
																				 
																				 
																				 
																				 
																				 
																				 
																				 
																				 
																				 
																				 
																				 
																				 
																				 
																				 
																				 
																				 
																				 
																				 
																				 
																				 
																				 
																				 
																				 
																				 
																				 
																				 
																				 
																				 
																				 
																				 
																				 
																				 
																				 
																				 
																				 
																				 
																				 
																				 
																				 
																				 
																				 
																				 
																				 
																				 
																				 
																				 
																				 
																				 
																				 
																				 
																				 
																				 
																				 
																				 
																				 
																				 
																				 
 
 
 
