rapamycin and its Impurities
Rapamycin is also known as Sirolimus which is a naturally occurring triene macrolide antibiotic , used to prevent organ transplant rejection and for the treatment of lymphangioleiomyomatosis (LAM). Rapamycin was also initially used as anti fungal agent. It works by inhibiting the activation of T cells and B cells by reducing the production of interleukin-2.Reference standards of Rapamycin API,and its pharmacopeial, non pharmacopeial impurities, and stable isotopes are listed below.
(9aS)-3-Hydroxy-3-((2R,3R,6S)-2-hydroxy-6-((2S,3E,5E,7E,9S,11R,13S,14R,15E)-14-hydroxy-2,13-dimethoxy-3,9,11,15-tetramethyl-12,17-dioxooctadeca-3,5,7,15-tetraen-1-yl)-3-methyltetrahydro-2H-pyran-2-yl)tetrahydropyrido[2,1-c][1,4]oxazine-1,4(3H,6H)-dione
(9aS)-3-Hydroxy-3-((2R,3R,6S)-2-hydroxy-6-((2S,3E,5E,7E,9S,11R,13S,14R,15E)-14-hydroxy-2,13-dimethoxy-3,9,11,15-tetramethyl-12,17-dioxooctadeca-3,5,7,15-tetraen-1-yl)-3-methyltetrahydro-2H-pyran-2-yl)tetrahydropyrido[2,1-c][1,4]oxazine-1,4(3H,6H)-dione
Catalogue No.:PA 18 0261012
CAS :
NA
Molecular Formula : C38H57NO11
Molecular Weight : 703.87
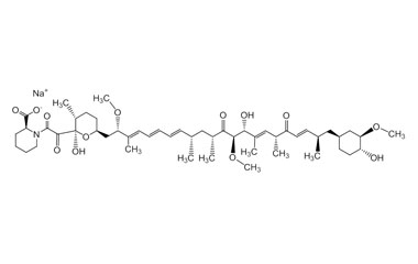
(3R,9aS)-3-Hydroxy-3-((2R,3R,6S)-2-hydroxy-6-((2S,3E,5E,7E,9S,11R,13R,14R,15E,17R,19E,21R)-14-hydroxy-22-((1S,3R,4R)-4-hydroxy-3-methoxycyclohexyl)-2,13-dimethoxy-3,9,11,15,17,21-hexamethyl-12,18-dioxodocosa-3,5,7,15,19-pentaen-1-yl)-3-methyltetrahydro-2H-pyran-2-yl)tetrahydropyrido[2,1-c][1,4]oxazine-1,4(3H,6H)-dione
(3R,9aS)-3-Hydroxy-3-((2R,3R,6S)-2-hydroxy-6-((2S,3E,5E,7E,9S,11R,13R,14R,15E,17R,19E,21R)-14-hydroxy-22-((1S,3R,4R)-4-hydroxy-3-methoxycyclohexyl)-2,13-dimethoxy-3,9,11,15,17,21-hexamethyl-12,18-dioxodocosa-3,5,7,15,19-pentaen-1-yl)-3-methyltetrahydro-2H-pyran-2-yl)tetrahydropyrido[2,1-c][1,4]oxazine-1,4(3H,6H)-dione
Catalogue No.:PA 18 0261015
CAS :
NA
Molecular Formula : C51H79NO13
Molecular Weight : 914.19
(9aS)-3-Hydroxy-3-((2R,3R,6S)-2-hydroxy-6-((2S,3E,5E,7E,9S,11R,13R,14R,15E)-14-hydroxy-2,13-dimethoxy-3,9,11,15-tetramethyl-12,17-dioxooctadeca-3,5,7,15-tetraen-1-yl)-3-methyltetrahydro-2H-pyran-2-yl)tetrahydropyrido[2,1-c][1,4]oxazine-1,4(3H,6H)-dione
(9aS)-3-Hydroxy-3-((2R,3R,6S)-2-hydroxy-6-((2S,3E,5E,7E,9S,11R,13R,14R,15E)-14-hydroxy-2,13-dimethoxy-3,9,11,15-tetramethyl-12,17-dioxooctadeca-3,5,7,15-tetraen-1-yl)-3-methyltetrahydro-2H-pyran-2-yl)tetrahydropyrido[2,1-c][1,4]oxazine-1,4(3H,6H)-dione
Catalogue No.:PA 18 0261016
CAS :
NA
Molecular Formula : C38H57NO11
Molecular Weight : 703.87

