aprepitant and its Impurities
Aprepitant is used to prevent chemotherapy-induced nausea and vomiting and to prevent postoperative nausea and vomiting.. Reference standards of Aprepitant API, and its pharmacopeial, non pharmacopeial impurities, and stable isotopes are listed below
2-(R)-[1-(R)-(3,5-Bis(trifluoromethyl)phenyl)ethoxy]-3-(S)-fluorophenyl-4-[(2-N- methoxycarbonyl)acetamidrazono]morpholine-13C2,d2
2-(R)-[1-(R)-(3,5-Bis(trifluoromethyl)phenyl)ethoxy]-3-(S)-fluorophenyl-4-[(2-N- methoxycarbonyl)acetamidrazono]morpholine-13C2,d2
Catalogue No.:PA STI 014030
CAS :
NA
Molecular Formula : C2213C2H23D2F7N4O4
Molecular Weight : 570.47
2-(R)-[1-(R)-(3,5-Bis(trifluoromethyl)phenyl)ethoxy]-3-(S)-fluorophenylmorpholine-d2 [Aprepitant-M2-d2]
2-(R)-[1-(R)-(3,5-Bis(trifluoromethyl)phenyl)ethoxy]-3-(S)-fluorophenylmorpholine-d2 [Aprepitant-M2-d2]
Catalogue No.:PA STI 014040
CAS :
1217645-68-5
Molecular Formula : C20H16D2F7NO2
Molecular Weight : 439.36
Aprepitant Related Compound A (3-[[(2R,3R)-2-[(R)-1-[3,5-Bis(trifluoromethyl)phenyl]ethoxy]-3-(4-fl (1041915)
Aprepitant Related Compound A (3-[[(2R,3R)-2-[(R)-1-[3,5-Bis(trifluoromethyl)phenyl]ethoxy]-3-(4-fl (1041915)
Catalogue No.:PA USP1041915
CAS :
1148113-53-4
Molecular Formula : NA
Molecular Weight : NA
Desfluoro Aprepitant (5-{[(2R,3S)-2-{(R)-1-[3,5-Bis(trifluoromethyl)phenyl]ethoxy}-3-phenylmorpholi (1041992)
Desfluoro Aprepitant (5-{[(2R,3S)-2-{(R)-1-[3,5-Bis(trifluoromethyl)phenyl]ethoxy}-3-phenylmorpholi (1041992)
Catalogue No.:PA USP1041992
CAS :
170729-76-7
Molecular Formula : NA
Molecular Weight : NA
Aprepitant Related Compound B (3-[[(2S,3R)-2-[(S)-1-[3,5-Bis(trifluoromethyl)phenyl]ethoxy]-3-(4-fl (1041926)
Aprepitant Related Compound B (3-[[(2S,3R)-2-[(S)-1-[3,5-Bis(trifluoromethyl)phenyl]ethoxy]-3-(4-fl (1041926)
Catalogue No.:PA USP1041926
CAS :
172822-29-6
Molecular Formula : NA
Molecular Weight : NA
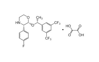
(2R,3S)-2-((R)-1-(3,5-bis(Trifluoromethyl)phenyl)ethoxy)-3-(4-fluorophenyl)morpholine Oxalate
(2R,3S)-2-((R)-1-(3,5-bis(Trifluoromethyl)phenyl)ethoxy)-3-(4-fluorophenyl)morpholine Oxalate
Catalogue No.:PA 28 07610
CAS :
1228018-30-1
Molecular Formula : C22H20F7NO6
Molecular Weight : 527.39
(2R,3S)-2-((R)-1-(3,5-Bis(trifluoromethyl)phenyl)ethoxy)-3-(4-fluorophenyl)morpholine 4-methylbenzenesulfonate
(2R,3S)-2-((R)-1-(3,5-Bis(trifluoromethyl)phenyl)ethoxy)-3-(4-fluorophenyl)morpholine 4-methylbenzenesulfonate
Catalogue No.:PA 28 0071004
CAS :
200000-59-5
Molecular Formula : C27H26F7NO5S
Molecular Weight : 609.56
(2R,3S)-2-((R)-1-(3,5-Bis(trifluoromethyl)phenyl)ethoxy)-3-(4-fluorophenyl)morpholine hydrochloride
(2R,3S)-2-((R)-1-(3,5-Bis(trifluoromethyl)phenyl)ethoxy)-3-(4-fluorophenyl)morpholine hydrochloride
Catalogue No.:PA 28 0071006
CAS :
171482-05-6
Molecular Formula : C20H19ClF7NO2
Molecular Weight : 473.82
(R)-6-((R)-1-(3,5-Bis(trifluoromethyl)phenyl)ethoxy)-5-(4-fluorophenyl)-3,6-dihydro-2H-1,4-oxazine
(R)-6-((R)-1-(3,5-Bis(trifluoromethyl)phenyl)ethoxy)-5-(4-fluorophenyl)-3,6-dihydro-2H-1,4-oxazine
Catalogue No.:PA 28 0071020
CAS :
380499-07-0
Molecular Formula : C20H16F7NO2
Molecular Weight : 435.34
(2R,3S)-2-((R)-1-(3,5-Bis(trifluoromethyl)phenyl)ethoxy)-3-(4-fluorophenyl)-4-nitrosomorpholine
(2R,3S)-2-((R)-1-(3,5-Bis(trifluoromethyl)phenyl)ethoxy)-3-(4-fluorophenyl)-4-nitrosomorpholine
Catalogue No.:PA 28 0071023
CAS :
NA
Molecular Formula : C20H17F7N2O3
Molecular Weight : 466.36
(2R,3S)-2-((S)-1-(3,5-Bis(trifluoromethyl)phenyl)ethoxy)-3-(4-fluorophenyl)-4-nitrosomorpholine
(2R,3S)-2-((S)-1-(3,5-Bis(trifluoromethyl)phenyl)ethoxy)-3-(4-fluorophenyl)-4-nitrosomorpholine
Catalogue No.:PA 28 0071024
CAS :
NA
Molecular Formula : C20H17F7N2O3
Molecular Weight : 466.36
(2R,3R)-2-((R)-1-(3,5-bis(Trifluoromethyl)phenyl)ethoxy)-3-(4-fluorophenyl)-4-nitrosomorpholine
(2R,3R)-2-((R)-1-(3,5-bis(Trifluoromethyl)phenyl)ethoxy)-3-(4-fluorophenyl)-4-nitrosomorpholine
Catalogue No.:PA 28 0071028
CAS :
NA
Molecular Formula : C20H17F7N2O3
Molecular Weight : 466.36
(2S,3S)-2-((S)-1-(3,5-bis(Trifluoromethyl)phenyl)ethoxy)-3-(4-fluorophenyl)-4-nitrosomorpholine
(2S,3S)-2-((S)-1-(3,5-bis(Trifluoromethyl)phenyl)ethoxy)-3-(4-fluorophenyl)-4-nitrosomorpholine
Catalogue No.:PA 28 0071029
CAS :
NA
Molecular Formula : C20H17F7N2O3
Molecular Weight : 466.36
(2R,3S)-2-((R)-1-(3,5-Bis(trifluoromethyl)phenyl)ethoxy)-3-phenylmorpholine Hydrochloride
(2R,3S)-2-((R)-1-(3,5-Bis(trifluoromethyl)phenyl)ethoxy)-3-phenylmorpholine Hydrochloride
Catalogue No.:PA 28 0071031
CAS :
874460-46-5
Molecular Formula : C20H20ClF6NO2
Molecular Weight : 455.83

