Peptides and its Impurities
Peptides are naturally occurring biological macromolecules formed by the linear arrangement of two or more amino acids linked together by peptide bonds. It can be used as biomarkers for disease detection and diagnosis. Reference standards of Peptides API, and its pharmacopeial, non pharmacopeial impurities, and stable isotopes are listed below.
L-Threonyl-L-α-glutamyl-L-seryl-L-prolyl-L-phenylalanyl-L-lysyl-L-asparaginyl-L-threonyl-L-α-glutamyl-L-isoleucyl-L-seryl-L-phenylalanyl-L-lysyl-L-leucylglycyl-L-glutaminyl-L-α-glutamyl-L-phenylalanyl-L-α-glutamyl-L-α-glutamyl-L-threonyl-L-threonyl-L-alanyl-L-α-aspartyl-L-asparaginyl-L-arginine
L-Threonyl-L-α-glutamyl-L-seryl-L-prolyl-L-phenylalanyl-L-lysyl-L-asparaginyl-L-threonyl-L-α-glutamyl-L-isoleucyl-L-seryl-L-phenylalanyl-L-lysyl-L-leucylglycyl-L-glutaminyl-L-α-glutamyl-L-phenylalanyl-L-α-glutamyl-L-α-glutamyl-L-threonyl-L-threonyl-L-alanyl-L-α-aspartyl-L-asparaginyl-L-arginine
Catalogue No.:PA PEP 004487
CAS :
81628-50-4
Molecular Formula : C131H200N34O48
Molecular Weight : 3019.23
3-((4R,7S,10S,13R,16S,19S,22R)-16-((1H-Imidazol-5-yl)methyl)-7-((1H-indol-3-yl)methyl)-22-((R)-2-acetamido-5-guanidinopentanamido)-13-benzyl-4-carbamoyl-10-(3-guanidinopropyl)-6,9,12,15,18,21-hexaoxo-1,2-dithia-5,8,11,14,17,20-hexaazacyclotricosan-19-yl)propanoic Acid
3-((4R,7S,10S,13R,16S,19S,22R)-16-((1H-Imidazol-5-yl)methyl)-7-((1H-indol-3-yl)methyl)-22-((R)-2-acetamido-5-guanidinopentanamido)-13-benzyl-4-carbamoyl-10-(3-guanidinopropyl)-6,9,12,15,18,21-hexaoxo-1,2-dithia-5,8,11,14,17,20-hexaazacyclotricosan-19-yl)propanoic Acid
Catalogue No.:PA PEP 004491
CAS :
819048-44-7
Molecular Formula : C51H70N18O11S2
Molecular Weight : 1175.36
3,3'-((6S,8aS,14S,16aS)-5,8,13,16-Tetraoxohexadecahydrodipyrrolo[1,2-a:1',2'-g][1,4,7,10]tetraazacyclododecine-6,14-diyl)dipropionic Acid
3,3'-((6S,8aS,14S,16aS)-5,8,13,16-Tetraoxohexadecahydrodipyrrolo[1,2-a:1',2'-g][1,4,7,10]tetraazacyclododecine-6,14-diyl)dipropionic Acid
Catalogue No.:PA PEP 004493
CAS :
82081-23-0
Molecular Formula : C20H28N4O8
Molecular Weight : 452.46
Glycyl-L-tyrosylglycyl-L-seryl-L-seryl-L-seryl-L-arginyl-L-arginyl-L-alanyl-L-prolyl-L-glutaminyl-L-threonine
Glycyl-L-tyrosylglycyl-L-seryl-L-seryl-L-seryl-L-arginyl-L-arginyl-L-alanyl-L-prolyl-L-glutaminyl-L-threonine
Catalogue No.:PA PEP 004499
CAS :
82177-09-1
Molecular Formula : C51H83N19O19
Molecular Weight : 1266.34
(5S,8S,11R,14S,17S)-14-((1H-Imidazol-5-yl)methyl)-5-((1H-indol-3-yl)methyl)-17-((S)-2-acetamidohexanamido)-1-amino-11-benzyl-8-(3-guanidinopropyl)-1,4,7,10,13,16-hexaoxo-3,6,9,12,15-pentaazaicosan-20-oic Acid
(5S,8S,11R,14S,17S)-14-((1H-Imidazol-5-yl)methyl)-5-((1H-indol-3-yl)methyl)-17-((S)-2-acetamidohexanamido)-1-amino-11-benzyl-8-(3-guanidinopropyl)-1,4,7,10,13,16-hexaoxo-3,6,9,12,15-pentaazaicosan-20-oic Acid
Catalogue No.:PA PEP 004504
CAS :
82188-67-8
Molecular Formula : C47H64N14O10
Molecular Weight : 985.12
Methyl 4-(((S)-5-guanidino-1-((S)-2-(((S)-3-(4-hydroxyphenyl)-1-((4-nitrophenyl)amino)-1-oxopropan-2-yl)carbamoyl)pyrrolidin-1-yl)-1-oxopentan-2-yl)amino)-4-oxobutanoate
Methyl 4-(((S)-5-guanidino-1-((S)-2-(((S)-3-(4-hydroxyphenyl)-1-((4-nitrophenyl)amino)-1-oxopropan-2-yl)carbamoyl)pyrrolidin-1-yl)-1-oxopentan-2-yl)amino)-4-oxobutanoate
Catalogue No.:PA PEP 004508
CAS :
82564-18-9
Molecular Formula : C31H40N8O9
Molecular Weight : 668.71
((S)-3-(2-(2-((S)-2-((S)-2-Amino-3-(1H-indol-3-yl)propanamido)propanamido)acetamido)acetamido)-3-carboxypropanoyl)-L-alanyl-L-serylglycyl-L-glutamic Acid
((S)-3-(2-(2-((S)-2-((S)-2-Amino-3-(1H-indol-3-yl)propanamido)propanamido)acetamido)acetamido)-3-carboxypropanoyl)-L-alanyl-L-serylglycyl-L-glutamic Acid
Catalogue No.:PA PEP 004510
CAS :
82602-88-8
Molecular Formula : C35H48N10O15
Molecular Weight : 848.82
N2-(2-Aminobenzoyl)glycyl-L-isoleucyl-L-valyl-L-arginyl-L-alanyl-N6-(2,4-dinitrophenyl)-L-lysine
N2-(2-Aminobenzoyl)glycyl-L-isoleucyl-L-valyl-L-arginyl-L-alanyl-N6-(2,4-dinitrophenyl)-L-lysine
Catalogue No.:PA PEP 004513
CAS :
827044-38-2
Molecular Formula : C41H61N13O12
Molecular Weight : 928.02
L-Prolyl-L-leucyl-L-seryl-L-arginyl-L-threonyl-L-leucyl-L-seryl-L-valyl-L-seryl-L-serinamide
L-Prolyl-L-leucyl-L-seryl-L-arginyl-L-threonyl-L-leucyl-L-seryl-L-valyl-L-seryl-L-serinamide
Catalogue No.:PA PEP 004517
CAS :
82801-68-1
Molecular Formula : C44H80N14O15
Molecular Weight : 1045.21
(S)-1-((10R,13S,16S,19S,22S)-13-(2-Amino-2-oxoethyl)-19-benzyl-22-(4-ethoxybenzyl)-16-isopropyl-12,15,18,21,24-pentaoxo-7,8-dithia-11,14,17,20,23-pentaazaspiro[5.19]pentacosane-10-carbonyl)-N-((S)-1-((2-amino-2-oxoethyl)amino)-5-guanidino-1-oxopentan-2-yl)pyrrolidine-2-carboxamide
(S)-1-((10R,13S,16S,19S,22S)-13-(2-Amino-2-oxoethyl)-19-benzyl-22-(4-ethoxybenzyl)-16-isopropyl-12,15,18,21,24-pentaoxo-7,8-dithia-11,14,17,20,23-pentaazaspiro[5.19]pentacosane-10-carbonyl)-N-((S)-1-((2-amino-2-oxoethyl)amino)-5-guanidino-1-oxopentan-2-yl)pyrrolidine-2-carboxamide
Catalogue No.:PA PEP 004407
CAS :
77453-01-1
Molecular Formula : C53H77N13O11S2
Molecular Weight : 1136.4
(S)-2-((S)-2-((S)-5-Amino-2-((S)-2-amino-3-phenylpropanamido)-5-oxopentanamido)-3-(1H-indol-3-yl)propanamido)-N1-((6S,9S,12S,15S,18S,21S,24S)-1,29-diamino-21-(2-amino-2-oxoethyl)-12-(4-aminobutyl)-18-((S)-sec-butyl)-6-carbamoyl-15-(3-guanidinopropyl)-1,29-diimino-9-isopropyl-8,11,14,17,20,23-hexaoxo-2,7,10,13,16,19,22,28-octaazanonacosan-24-yl)pentanediamide
(S)-2-((S)-2-((S)-5-Amino-2-((S)-2-amino-3-phenylpropanamido)-5-oxopentanamido)-3-(1H-indol-3-yl)propanamido)-N1-((6S,9S,12S,15S,18S,21S,24S)-1,29-diamino-21-(2-amino-2-oxoethyl)-12-(4-aminobutyl)-18-((S)-sec-butyl)-6-carbamoyl-15-(3-guanidinopropyl)-1,29-diimino-9-isopropyl-8,11,14,17,20,23-hexaoxo-2,7,10,13,16,19,22,28-octaazanonacosan-24-yl)pentanediamide
Catalogue No.:PA PEP 004529
CAS :
832729-13-2
Molecular Formula : C69H112N26O14
Molecular Weight : 1529.82
(S)-1-(L-Tyrosyl)-N-((S)-1-((R)-2-carbamoylpyrrolidin-1-yl)-1-oxo-3-phenylpropan-2-yl)-N-methylpyrrolidine-2-carboxamide
(S)-1-(L-Tyrosyl)-N-((S)-1-((R)-2-carbamoylpyrrolidin-1-yl)-1-oxo-3-phenylpropan-2-yl)-N-methylpyrrolidine-2-carboxamide
Catalogue No.:PA PEP 004532
CAS :
83397-56-2
Molecular Formula : C29H37N5O5
Molecular Weight : 535.65
((R)-2-((R)-2-Acetamido-3-(4-chlorophenyl)propanamido)-3-(4-chlorophenyl)propanoyl)-D-tryptophyl-L-seryl-L-tyrosyl-D-arginyl-L-leucyl-L-arginyl-L-prolyl-D-alanine
((R)-2-((R)-2-Acetamido-3-(4-chlorophenyl)propanamido)-3-(4-chlorophenyl)propanoyl)-D-tryptophyl-L-seryl-L-tyrosyl-D-arginyl-L-leucyl-L-arginyl-L-prolyl-D-alanine
Catalogue No.:PA PEP 004536
CAS :
83539-08-6
Molecular Formula : C69H91Cl2N17O14
Molecular Weight : 1453.49
L-Leucyl-L-seryl-L-asparaginyl-L-leucyl-L-tyrosyl-L-histidyl-L-glutaminylglycyl-L-lysyl-L-phenylalanyl-L-leucyl-L-glutaminyl-L-threonyl-L-phenylalanyl-L-cysteinylglycyl-L-seryl-L-prolyl-L-leucyl-L-tyrosyl-L-arginyl-L-arginyl-L-arginine
L-Leucyl-L-seryl-L-asparaginyl-L-leucyl-L-tyrosyl-L-histidyl-L-glutaminylglycyl-L-lysyl-L-phenylalanyl-L-leucyl-L-glutaminyl-L-threonyl-L-phenylalanyl-L-cysteinylglycyl-L-seryl-L-prolyl-L-leucyl-L-tyrosyl-L-arginyl-L-arginyl-L-arginine
Catalogue No.:PA PEP 004537
CAS :
835653-81-1
Molecular Formula : C126H194N38O32S
Molecular Weight : 2785.23
(S)-4-((S)-2-((S)-2-((S)-2-((S)-2-((S)-2-((S)-2-((S)-1-(L-Alanyl-L-valyl-L-threonyl-L-aspartyl-L-histidyl)pyrrolidine-2-carboxamido)-3-carboxypropanamido)-5-guanidinopentanamido)-4-methylpentanamido)-3-(1H-indol-3-yl)propanamido)propanamido)-3-(1H-indol-3-yl)propanamido)-5-(((S)-6-amino-1-(((S)-1-carboxy-2-phenylethyl)amino)-1-oxohexan-2-yl)amino)-5-oxopentanoic Acid
(S)-4-((S)-2-((S)-2-((S)-2-((S)-2-((S)-2-((S)-2-((S)-1-(L-Alanyl-L-valyl-L-threonyl-L-aspartyl-L-histidyl)pyrrolidine-2-carboxamido)-3-carboxypropanamido)-5-guanidinopentanamido)-4-methylpentanamido)-3-(1H-indol-3-yl)propanamido)propanamido)-3-(1H-indol-3-yl)propanamido)-5-(((S)-6-amino-1-(((S)-1-carboxy-2-phenylethyl)amino)-1-oxohexan-2-yl)amino)-5-oxopentanoic Acid
Catalogue No.:PA PEP 004538
CAS :
835655-37-3
Molecular Formula : C88H123N23O23
Molecular Weight : 1871.09
Glycylglycyl-L-phenylalanyl-L-leucyl-L-arginyl-L-arginyl-L-isoleucyl-L-arginyl-L-prolyl-L-lysyl-L-leucyl-L-lysyl-L-tryptophyl-L-aspartyl-L-asparaginyl-L-glutamine
Glycylglycyl-L-phenylalanyl-L-leucyl-L-arginyl-L-arginyl-L-isoleucyl-L-arginyl-L-prolyl-L-lysyl-L-leucyl-L-lysyl-L-tryptophyl-L-aspartyl-L-asparaginyl-L-glutamine
Catalogue No.:PA PEP 004540
CAS :
83608-80-4
Molecular Formula : C90H146N30O21
Molecular Weight : 1984.35
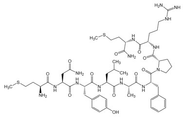
(S)-N-((S)-1-Amino-1-oxo-3-phenylpropan-2-yl)-2-((S)-2-((S)-2-amino-3-(4-hydroxyphenyl)propanamido)-4-(methylthio)butanamido)-5-guanidinopentanamide
(S)-N-((S)-1-Amino-1-oxo-3-phenylpropan-2-yl)-2-((S)-2-((S)-2-amino-3-(4-hydroxyphenyl)propanamido)-4-(methylthio)butanamido)-5-guanidinopentanamide
Catalogue No.:PA PEP 004545
CAS :
83903-32-6
Molecular Formula : C29H42N8O5S
Molecular Weight : 614.77
((S)-2-(2-((R)-2-((5-(Dimethylamino)naphthalene)-1-sulfonamido)propanamido)acetamido)-3-(4-nitrophenyl)propanoyl)glycine
((S)-2-(2-((R)-2-((5-(Dimethylamino)naphthalene)-1-sulfonamido)propanamido)acetamido)-3-(4-nitrophenyl)propanoyl)glycine
Catalogue No.:PA PEP 004548
CAS :
83960-27-4
Molecular Formula : C28H32N6O9S
Molecular Weight : 628.66
N-[2-(7-Methoxy-2-oxo-2H-1-benzopyran-4-yl)acetyl]glycyl-L-lysyl-L-prolyl-L-isoleucyl-L-leucyl-L-phenylalanyl-L-phenylalanyl-L-arginyl-L-leucyl-N6-(2,4-dinitrophenyl)-L-lysyl-D-argininamide
N-[2-(7-Methoxy-2-oxo-2H-1-benzopyran-4-yl)acetyl]glycyl-L-lysyl-L-prolyl-L-isoleucyl-L-leucyl-L-phenylalanyl-L-phenylalanyl-L-arginyl-L-leucyl-N6-(2,4-dinitrophenyl)-L-lysyl-D-argininamide
Catalogue No.:PA PEP 004550
CAS :
839730-93-7
Molecular Formula : C85H122N22O19
Molecular Weight : 1756.05
(3S,6S,9R,12S)-9-((1H-Indol-3-yl)methyl)-6-(4-aminobutyl)-12-benzyl-3-((R)-1-(benzyloxy)ethyl)-1,4,7,10,13-pentaazacycloicosane-2,5,8,11,14-pentaone
(3S,6S,9R,12S)-9-((1H-Indol-3-yl)methyl)-6-(4-aminobutyl)-12-benzyl-3-((R)-1-(benzyloxy)ethyl)-1,4,7,10,13-pentaazacycloicosane-2,5,8,11,14-pentaone
Catalogue No.:PA PEP 004551
CAS :
84211-54-1
Molecular Formula : C44H57N7O6
Molecular Weight : 779.98
1,1'-(((2S,5S,8R,14R)-14-(4-Hydroxybenzyl)-8-(naphthalen-2-ylmethyl)-3,6,9,12,15-pentaoxo-1,4,7,10,13-pentaazacyclopentadecane-2,5-diyl)bis(propane-3,1-diyl))diguanidine 2,2,2-trifluoroacetic Acid (1;x)
1,1'-(((2S,5S,8R,14R)-14-(4-Hydroxybenzyl)-8-(naphthalen-2-ylmethyl)-3,6,9,12,15-pentaoxo-1,4,7,10,13-pentaazacyclopentadecane-2,5-diyl)bis(propane-3,1-diyl))diguanidine 2,2,2-trifluoroacetic Acid (1;x)
Catalogue No.:PA PEP 004552
CAS :
842166-42-1
Molecular Formula : C36H47N11O6 . x(C2HF3O2)
Molecular Weight : 729.84 . x(114.02)
(2R,5S,8S,11S,14S,17S,20S,23S,26S)-26-Amino-5,20-bis(4-aminobutyl)-8,11,14,17-tetrakis(carboxymethyl)-23-(4-hydroxybenzyl)-2-(mercaptomethyl)-4,7,10,13,16,19,22,25-octaoxo-3,6,9,12,15,18,21,24-octaazaoctacosanedioic Acid
(2R,5S,8S,11S,14S,17S,20S,23S,26S)-26-Amino-5,20-bis(4-aminobutyl)-8,11,14,17-tetrakis(carboxymethyl)-23-(4-hydroxybenzyl)-2-(mercaptomethyl)-4,7,10,13,16,19,22,25-octaoxo-3,6,9,12,15,18,21,24-octaazaoctacosanedioic Acid
Catalogue No.:PA PEP 004555
CAS :
844869-12-1
Molecular Formula : C44H65N11O21S
Molecular Weight : 1116.12
(S)-4-((S)-2-((S)-2-((S)-2-((S)-2-((S)-2-((S)-1-(L-Lysyl-L-arginyl-L-isoleucyl-L-tryptophyl-L-phenylalanyl-L-isoleucyl)pyrrolidine-2-carboxamido)-5-guanidinopentanamido)-3-hydroxypropanamido)-3-hydroxypropanamido)-3-(1H-indol-3-yl)propanamido)-3-(4-hydroxyphenyl)propanamido)-5-(((S)-1-(((S)-1-carboxyethyl)amino)-5-guanidino-1-oxopentan-2-yl)amino)-5-oxopentanoic Acid
(S)-4-((S)-2-((S)-2-((S)-2-((S)-2-((S)-2-((S)-1-(L-Lysyl-L-arginyl-L-isoleucyl-L-tryptophyl-L-phenylalanyl-L-isoleucyl)pyrrolidine-2-carboxamido)-5-guanidinopentanamido)-3-hydroxypropanamido)-3-hydroxypropanamido)-3-(1H-indol-3-yl)propanamido)-3-(4-hydroxyphenyl)propanamido)-5-(((S)-1-(((S)-1-carboxyethyl)amino)-5-guanidino-1-oxopentan-2-yl)amino)-5-oxopentanoic Acid
Catalogue No.:PA PEP 004557
CAS :
846546-36-9
Molecular Formula : C95H139N27O21
Molecular Weight : 1995.33
(4R,7S,10S,13R,16S,19R)-13-((1H-Indol-3-yl)methyl)-19-((R)-2-amino-3-(4-amino-3-iodophenyl)propanamido)-N-((2S,3R)-1-amino-3-hydroxy-1-oxobutan-2-yl)-10-(4-aminobutyl)-16-(4-hydroxy-3-iodobenzyl)-7-isopropyl-6,9,12,15,18-pentaoxo-1,2-dithia-5,8,11,14,17-pentaazacycloicosane-4-carboxamide
(4R,7S,10S,13R,16S,19R)-13-((1H-Indol-3-yl)methyl)-19-((R)-2-amino-3-(4-amino-3-iodophenyl)propanamido)-N-((2S,3R)-1-amino-3-hydroxy-1-oxobutan-2-yl)-10-(4-aminobutyl)-16-(4-hydroxy-3-iodobenzyl)-7-isopropyl-6,9,12,15,18-pentaoxo-1,2-dithia-5,8,11,14,17-pentaazacycloicosane-4-carboxamide
Catalogue No.:PA PEP 004558
CAS :
846569-60-6
Molecular Formula : C50H66I2N12O10S2
Molecular Weight : 1313.08
(S)-2-((S)-1-(D-Arginyl-D-prolyl-L-lysyl)pyrrolidine-2-carboxamido)-N1-((S)-5-amino-1-(((R)-1-(((S)-1-(((R)-1-(((S)-1-(((S)-1-amino-4-methyl-1-oxopentan-2-yl)amino)-4-methyl-1-oxopentan-2-yl)amino)-3-(1H-indol-3-yl)-1-oxopropan-2-yl)amino)-1-oxo-3-phenylpropan-2-yl)amino)-3-(1H-indol-3-yl)-1-oxopropan-2-yl)amino)-1,5-dioxopentan-2-yl)pentanediamide
(S)-2-((S)-1-(D-Arginyl-D-prolyl-L-lysyl)pyrrolidine-2-carboxamido)-N1-((S)-5-amino-1-(((R)-1-(((S)-1-(((R)-1-(((S)-1-(((S)-1-amino-4-methyl-1-oxopentan-2-yl)amino)-4-methyl-1-oxopentan-2-yl)amino)-3-(1H-indol-3-yl)-1-oxopropan-2-yl)amino)-1-oxo-3-phenylpropan-2-yl)amino)-3-(1H-indol-3-yl)-1-oxopropan-2-yl)amino)-1,5-dioxopentan-2-yl)pentanediamide
Catalogue No.:PA PEP 004560
CAS :
84676-91-5
Molecular Formula : C75H108N20O13
Molecular Weight : 1497.82
(6S,9S,12S,15S)-1-Amino-6-((R)-2-amino-3-mercaptopropanamido)-12-(4-aminobutyl)-9-(2-carboxyethyl)-1-imino-15-methyl-7,10,13-trioxo-2,8,11,14-tetraazahexadecan-16-oic Acid
(6S,9S,12S,15S)-1-Amino-6-((R)-2-amino-3-mercaptopropanamido)-12-(4-aminobutyl)-9-(2-carboxyethyl)-1-imino-15-methyl-7,10,13-trioxo-2,8,11,14-tetraazahexadecan-16-oic Acid
Catalogue No.:PA PEP 004561
CAS :
847058-45-1
Molecular Formula : C23H43N9O8S
Molecular Weight : 605.71
(S)-N1-((S)-1-(((S)-1-(((S)-1-(((S)-1-((S)-2-(((S)-1-(((S)-1-Amino-4-(methylthio)-1-oxobutan-2-yl)amino)-5-guanidino-1-oxopentan-2-yl)carbamoyl)pyrrolidin-1-yl)-1-oxo-3-phenylpropan-2-yl)amino)-1-oxopropan-2-yl)amino)-4-methyl-1-oxopentan-2-yl)amino)-3-(4-hydroxyphenyl)-1-oxopropan-2-yl)-2-((S)-2-amino-4-(methylthio)butanamido)succinamide
(S)-N1-((S)-1-(((S)-1-(((S)-1-(((S)-1-((S)-2-(((S)-1-(((S)-1-Amino-4-(methylthio)-1-oxobutan-2-yl)amino)-5-guanidino-1-oxopentan-2-yl)carbamoyl)pyrrolidin-1-yl)-1-oxo-3-phenylpropan-2-yl)amino)-1-oxopropan-2-yl)amino)-4-methyl-1-oxopentan-2-yl)amino)-3-(4-hydroxyphenyl)-1-oxopropan-2-yl)-2-((S)-2-amino-4-(methylthio)butanamido)succinamide
Catalogue No.:PA PEP 004562
CAS :
84746-43-0
Molecular Formula : C52H80N14O11S2
Molecular Weight : 1141.42
L-Tyrosylglycyl-L-arginyl-L-lysyl-L-lysyl-L-arginyl-L-arginyl-L-glutaminyl-L-arginyl-L-arginyl-L-arginyl-L-lysyl-L-leucyl-L-seryl-L-seryl-L-isoleucyl-L-α-glutamyl-L-alanyl-L-α-aspartyl-L-alanine
L-Tyrosylglycyl-L-arginyl-L-lysyl-L-lysyl-L-arginyl-L-arginyl-L-glutaminyl-L-arginyl-L-arginyl-L-arginyl-L-lysyl-L-leucyl-L-seryl-L-seryl-L-isoleucyl-L-α-glutamyl-L-alanyl-L-α-aspartyl-L-alanine
Catalogue No.:PA PEP 004564
CAS :
847829-41-8
Molecular Formula : C103H184N42O29
Molecular Weight : 2474.87
L-Asparaginyl-L-valyl-L-lysyl-L-seryl-L-lysyl-L-isoleucylglycyl-L-seryl-L-threonyl-L-glutamyl-L-asparaginyl-L-leucyl-L-lysine
L-Asparaginyl-L-valyl-L-lysyl-L-seryl-L-lysyl-L-isoleucylglycyl-L-seryl-L-threonyl-L-glutamyl-L-asparaginyl-L-leucyl-L-lysine
Catalogue No.:PA PEP 004566
CAS :
847991-34-8
Molecular Formula : C60H108N18O21
Molecular Weight : 1417.63
L-Alanyl-L-asparaginyl-L-threonyl-L-prolyl-L-cysteinylglycyl-L-prolyl-L-tyrosyl-L-threonyl-L-histidyl-L-aspartyl-L-cysteinyl-L-prolyl-L-valyl-L-lysyl-L-arginine
L-Alanyl-L-asparaginyl-L-threonyl-L-prolyl-L-cysteinylglycyl-L-prolyl-L-tyrosyl-L-threonyl-L-histidyl-L-aspartyl-L-cysteinyl-L-prolyl-L-valyl-L-lysyl-L-arginine
Catalogue No.:PA PEP 004568
CAS :
848301-94-0
Molecular Formula : C74H115N23O23S2
Molecular Weight : 1758.99
(2S,5S,8S,11S,14S,17S,20S,23S,24R)-23-Amino-14-(4-aminobutyl)-11-benzyl-8-(2-carboxyethyl)-24-hydroxy-17-(4-hydroxybenzyl)-5,20-bis(hydroxymethyl)-2-isopropyl-4,7,10,13,16,19,22-heptaoxo-3,6,9,12,15,18,21-heptaazapentacosanoic Acid
(2S,5S,8S,11S,14S,17S,20S,23S,24R)-23-Amino-14-(4-aminobutyl)-11-benzyl-8-(2-carboxyethyl)-24-hydroxy-17-(4-hydroxybenzyl)-5,20-bis(hydroxymethyl)-2-isopropyl-4,7,10,13,16,19,22-heptaoxo-3,6,9,12,15,18,21-heptaazapentacosanoic Acid
Catalogue No.:PA PEP 004569
CAS :
848642-31-9
Molecular Formula : C44H65N9O15
Molecular Weight : 960.05
(S)-3-((S)-2-((S)-2-Amino-3-(1H-imidazol-5-yl)propanamido)-3-hydroxypropanamido)-4-(((S)-1-(((S)-1-(((S)-1,6-diamino-1-oxohexan-2-yl)amino)-3-(1H-imidazol-5-yl)-1-oxopropan-2-yl)amino)-3-methyl-1-oxobutan-2-yl)amino)-4-oxobutanoic Acid
(S)-3-((S)-2-((S)-2-Amino-3-(1H-imidazol-5-yl)propanamido)-3-hydroxypropanamido)-4-(((S)-1-(((S)-1-(((S)-1,6-diamino-1-oxohexan-2-yl)amino)-3-(1H-imidazol-5-yl)-1-oxopropan-2-yl)amino)-3-methyl-1-oxobutan-2-yl)amino)-4-oxobutanoic Acid
Catalogue No.:PA PEP 004570
CAS :
848644-86-0
Molecular Formula : C30H48N12O9
Molecular Weight : 720.79
(S)-2-((12S,15S,21S,24S,27S,30S,33S,36S,39S,42S,45S,48S)-48-(2-Amino-2-oxoethyl)-27,39,45-tris(4-aminobutyl)-12-benzyl-24,36,42-tris(3-guanidinopropyl)-15-((R)-1-hydroxyethyl)-30-(hydroxymethyl)-21,33-dimethyl-4,7,10,13,16,19,22,25,28,31,34,37,40,43,46-pentadecaoxo-1-phenyl-2,5,8,11,14,17,20,23,26,29,32,35,38,41,44,47-hexadecaazanonatetracontan-49-amido)pentanediamide
(S)-2-((12S,15S,21S,24S,27S,30S,33S,36S,39S,42S,45S,48S)-48-(2-Amino-2-oxoethyl)-27,39,45-tris(4-aminobutyl)-12-benzyl-24,36,42-tris(3-guanidinopropyl)-15-((R)-1-hydroxyethyl)-30-(hydroxymethyl)-21,33-dimethyl-4,7,10,13,16,19,22,25,28,31,34,37,40,43,46-pentadecaoxo-1-phenyl-2,5,8,11,14,17,20,23,26,29,32,35,38,41,44,47-hexadecaazanonatetracontan-49-amido)pentanediamide
Catalogue No.:PA PEP 004571
CAS :
849024-68-6
Molecular Formula : C82H138N32O21
Molecular Weight : 1908.21
L-Valyl-L-tyrosyl-L-leucyl-L-lysyl-L-threonyl-L-asparaginyl-L-valyl-L-phenylalanyl-L-leucine
L-Valyl-L-tyrosyl-L-leucyl-L-lysyl-L-threonyl-L-asparaginyl-L-valyl-L-phenylalanyl-L-leucine
Catalogue No.:PA PEP 004572
CAS :
849069-99-4
Molecular Formula : C54H85N11O13
Molecular Weight : 1096.34
Glycine, N-acetyl-L-seryl-L-lysyl-L-α-glutamyl-L-lysyl-L-phenylalanyl-L-α-glutamyl-L-arginyl-L-threonyl-L-lysyl-L-prolyl-L-histidyl-L-valyl-L-asparaginyl-L-valylglycyl-L-threonyl-L-isoleucyl
Glycine, N-acetyl-L-seryl-L-lysyl-L-α-glutamyl-L-lysyl-L-phenylalanyl-L-α-glutamyl-L-arginyl-L-threonyl-L-lysyl-L-prolyl-L-histidyl-L-valyl-L-asparaginyl-L-valylglycyl-L-threonyl-L-isoleucyl
Catalogue No.:PA PEP 004573
CAS :
849352-44-9
Molecular Formula : C91H149N27O28
Molecular Weight : 2069.35
L-Arginyl-L-arginyl-L-arginyl-L-glutaminyl-L-arginyl-L-arginyl-L-lysyl-L-lysyl-L-arginyl-L-cysteine
L-Arginyl-L-arginyl-L-arginyl-L-glutaminyl-L-arginyl-L-arginyl-L-lysyl-L-lysyl-L-arginyl-L-cysteine
Catalogue No.:PA PEP 004574
CAS :
849431-85-2
Molecular Formula : C56H111N31O12S
Molecular Weight : 1442.77
L-Cysteinyl-L-asparaginyl-L-arginyl-L-arginyl-L-threonyl-L-lysyl-L-alanylglycyl-L-cysteine
L-Cysteinyl-L-asparaginyl-L-arginyl-L-arginyl-L-threonyl-L-lysyl-L-alanylglycyl-L-cysteine
Catalogue No.:PA PEP 004578
CAS :
850859-24-4
Molecular Formula : C37H69N17O12S2
Molecular Weight : 1008.19
N-L-Tyrosyl-L-arginyl-L-arginyl-L-alanyl-L-alanyl-L-valyl-L-prolyl-L-prolyl-L-seryl-L-prolyl-L-seryl-L-leucyl-L-seryl-L-arginyl-L-histidyl-L-seryl-L-seryl-L-prolyl-L-histidyl-L-glutaminyl-O-phosphono-L-seryl-L-glutamyl-L-aspartyl-L-glutamyl-L-glutamyl-L-glutamic Acid
N-L-Tyrosyl-L-arginyl-L-arginyl-L-alanyl-L-alanyl-L-valyl-L-prolyl-L-prolyl-L-seryl-L-prolyl-L-seryl-L-leucyl-L-seryl-L-arginyl-L-histidyl-L-seryl-L-seryl-L-prolyl-L-histidyl-L-glutaminyl-O-phosphono-L-seryl-L-glutamyl-L-aspartyl-L-glutamyl-L-glutamyl-L-glutamic Acid
Catalogue No.:PA PEP 004580
CAS :
851366-97-7
Molecular Formula : C123H191N40O48P
Molecular Weight : 3029.09
(2S,8S,11S,14S)-14-Amino-8-(2-carboxyethyl)-2-((R)-1-hydroxyethyl)-15-(1H-imidazol-4-yl)-11-methyl-4,7,10,13-tetraoxo-3,6,9,12-tetraazapentadecanoic Acid
(2S,8S,11S,14S)-14-Amino-8-(2-carboxyethyl)-2-((R)-1-hydroxyethyl)-15-(1H-imidazol-4-yl)-11-methyl-4,7,10,13-tetraoxo-3,6,9,12-tetraazapentadecanoic Acid
Catalogue No.:PA PEP 004582
CAS :
852155-81-8
Molecular Formula : C20H31N7O9
Molecular Weight : 513.51
L-Lysine, L-alanyl-L-alanyl-L-valyl-L-alanyl-L-leucyl-L-leucyl-L-prolyl-L-alanyl-L-valyl-L-leucyl-L-leucyl-L-alanyl-L-leucyl-L-leucyl-L-alanyl-L-prolyl-L-α-glutamyl-L-seryl-L-alanyl-L-serylglycyl-L-alanyl-L-seryl-L-alanyl-L-α-aspartyl-L-alanyl-L-seryl-L-valyl-L-asparaginyl-L-phenylalanyl-L-leucyl
L-Lysine, L-alanyl-L-alanyl-L-valyl-L-alanyl-L-leucyl-L-leucyl-L-prolyl-L-alanyl-L-valyl-L-leucyl-L-leucyl-L-alanyl-L-leucyl-L-leucyl-L-alanyl-L-prolyl-L-α-glutamyl-L-seryl-L-alanyl-L-serylglycyl-L-alanyl-L-seryl-L-alanyl-L-α-aspartyl-L-alanyl-L-seryl-L-valyl-L-asparaginyl-L-phenylalanyl-L-leucyl
Catalogue No.:PA PEP 004586
CAS :
852690-80-3
Molecular Formula : C139H232N34O42
Molecular Weight : 3051.58
(S)-5-((S)-2-Carbamoylpyrrolidin-1-yl)-5-oxo-4-((S)-5-oxopyrrolidine-2-carboxamido)pentanoic Acid
(S)-5-((S)-2-Carbamoylpyrrolidin-1-yl)-5-oxo-4-((S)-5-oxopyrrolidine-2-carboxamido)pentanoic Acid
Catalogue No.:PA PEP 004603
CAS :
85541-78-2
Molecular Formula : C15H22N4O6
Molecular Weight : 354.36
(S)-4-(2-((S)-1-(L-Isoleucyl-L-alanyl-L-valyl)pyrrolidine-2-carboxamido)acetamido)-5-(((S)-1-(((S)-1-carboxyethyl)amino)-3-methyl-1-oxobutan-2-yl)amino)-5-oxopentanoic Acid
(S)-4-(2-((S)-1-(L-Isoleucyl-L-alanyl-L-valyl)pyrrolidine-2-carboxamido)acetamido)-5-(((S)-1-(((S)-1-carboxyethyl)amino)-3-methyl-1-oxobutan-2-yl)amino)-5-oxopentanoic Acid
Catalogue No.:PA PEP 004604
CAS :
855790-98-6
Molecular Formula : C34H58N8O11
Molecular Weight : 754.88
L-Arginine, L-leucyl-L-valyl-L-alanyl-L-threonyl-L-valyl-L-lysyl-L-α-glutamyl-L-alanylglycyl-L-arginyl-L-seryl-L-isoleucyl-L-histidyl-L-α-glutamyl-L-isoleucyl-L-prolyl
L-Arginine, L-leucyl-L-valyl-L-alanyl-L-threonyl-L-valyl-L-lysyl-L-α-glutamyl-L-alanylglycyl-L-arginyl-L-seryl-L-isoleucyl-L-histidyl-L-α-glutamyl-L-isoleucyl-L-prolyl
Catalogue No.:PA PEP 004606
CAS :
857026-08-5
Molecular Formula : C82H142N26O24
Molecular Weight : 1876.2
L-Valyl-L-glutaminyl-L-asparaginyl-L-arginyl-L-phenylalanyl-L-asparaginyl-L-seryl-L-alanyl-L-isoleucyl-L-threonyl-L-asparaginyl-L-leucylglycyl-L-asparaginyl-L-threonine
L-Valyl-L-glutaminyl-L-asparaginyl-L-arginyl-L-phenylalanyl-L-asparaginyl-L-seryl-L-alanyl-L-isoleucyl-L-threonyl-L-asparaginyl-L-leucylglycyl-L-asparaginyl-L-threonine
Catalogue No.:PA PEP 004609
CAS :
857678-38-7
Molecular Formula : C69H113N23O24
Molecular Weight : 1648.8
