Peptides and its Impurities
Peptides are naturally occurring biological macromolecules formed by the linear arrangement of two or more amino acids linked together by peptide bonds. It can be used as biomarkers for disease detection and diagnosis. Reference standards of Peptides API, and its pharmacopeial, non pharmacopeial impurities, and stable isotopes are listed below.
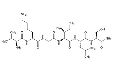
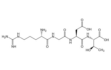
(2S,5S,8S,11S,14S,17S,20S,23S)-5-((1H-Imidazol-4-yl)methyl)-23-amino-14-(3-amino-3-oxopropyl)-11-benzyl-17,20-di((S)-sec-butyl)-8-(2-carboxyethyl)-24-hydroxy-2-isobutyl-4,7,10,13,16,19,22-heptaoxo-3,6,9,12,15,18,21-heptaazatetracosanoic Acid
(2S,5S,8S,11S,14S,17S,20S,23S)-5-((1H-Imidazol-4-yl)methyl)-23-amino-14-(3-amino-3-oxopropyl)-11-benzyl-17,20-di((S)-sec-butyl)-8-(2-carboxyethyl)-24-hydroxy-2-isobutyl-4,7,10,13,16,19,22-heptaoxo-3,6,9,12,15,18,21-heptaazatetracosanoic Acid
Catalogue No.:PA PEP 004831
CAS :
923926-96-9
Molecular Formula : C46H71N11O13
Molecular Weight : 986.14
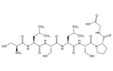
(5-((3aS,4S,6aR)-2-Oxohexahydro-1H-thieno[3,4-d]imidazol-4-yl)pentanoyl)-L-alanyl-L-prolyl-L-arginyl-L-threonyl-L-prolylglycylglycyl-L-arginyl-L-arginine
(5-((3aS,4S,6aR)-2-Oxohexahydro-1H-thieno[3,4-d]imidazol-4-yl)pentanoyl)-L-alanyl-L-prolyl-L-arginyl-L-threonyl-L-prolylglycylglycyl-L-arginyl-L-arginine
Catalogue No.:PA PEP 004832
CAS :
923949-88-6
Molecular Formula : C49H84N20O13S
Molecular Weight : 1193.4
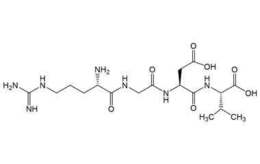
(S)-5-((Carboxymethyl)amino)-4-((S)-2-((S)-2-((S)-2-((S)-2-((2S,3R)-2-((S)-5-guanidino-2-((S)-1-((5-((3aS,4S,6aR)-2-oxohexahydro-1H-thieno[3,4-d]imidazol-4-yl)pentanoyl)glycyl-L-arginyl)pyrrolidine-2-carboxamido)pentanamido)-3-hydroxybutanamido)-3-hydroxypropanamido)-3-hydroxypropanamido)-3-phenylpropanamido)propanamido)-5-oxopentanoic Acid
(S)-5-((Carboxymethyl)amino)-4-((S)-2-((S)-2-((S)-2-((S)-2-((2S,3R)-2-((S)-5-guanidino-2-((S)-1-((5-((3aS,4S,6aR)-2-oxohexahydro-1H-thieno[3,4-d]imidazol-4-yl)pentanoyl)glycyl-L-arginyl)pyrrolidine-2-carboxamido)pentanamido)-3-hydroxybutanamido)-3-hydroxypropanamido)-3-hydroxypropanamido)-3-phenylpropanamido)propanamido)-5-oxopentanoic Acid
Catalogue No.:PA PEP 004833
CAS :
923949-90-0
Molecular Formula : C58H91N19O19S
Molecular Weight : 1390.54
L-Arginyl-L-arginyl-L-arginyl-L-glutaminyl-L-arginyl-L-arginyl-L-lysyl-L-lysyl-L-arginylglycylglycyl-L-α-aspartyl-L-isoleucyl-L-methionylglycyl-L-α-glutamyl-L-tryptophylglycyl-L-asparaginyl-L-α-glutamyl-L-isoleucyl-L-phenylalanylglycyl-L-alanyl-L-isoleucyl-L-alanylglycyl-L-phenylalanyl-L-leucylglycine
L-Arginyl-L-arginyl-L-arginyl-L-glutaminyl-L-arginyl-L-arginyl-L-lysyl-L-lysyl-L-arginylglycylglycyl-L-α-aspartyl-L-isoleucyl-L-methionylglycyl-L-α-glutamyl-L-tryptophylglycyl-L-asparaginyl-L-α-glutamyl-L-isoleucyl-L-phenylalanylglycyl-L-alanyl-L-isoleucyl-L-alanylglycyl-L-phenylalanyl-L-leucylglycine
Catalogue No.:PA PEP 004834
CAS :
923954-79-4
Molecular Formula : C149H243N53O39S
Molecular Weight : 3432.98
L-Histidyl-L-alanyl-L-glutamylglycyl-L-threonyl-L-phenylalanyl-L-threonyl-L-seryl-L-aspartic Acid
L-Histidyl-L-alanyl-L-glutamylglycyl-L-threonyl-L-phenylalanyl-L-threonyl-L-seryl-L-aspartic Acid
Catalogue No.:PA PEP 004835
CAS :
926018-45-3
Molecular Formula : C40H57N11O17
Molecular Weight : 963.96
L-Histidyl-L-alanyl-L-glutamylglycyl-L-threonyl-L-phenylalanyl-L-threonyl-L-seryl-L-aspartyl-L-valyl-L-seryl-L-seryl-L-tyrosyl-L-leucyl-L-glutamic Acid
L-Histidyl-L-alanyl-L-glutamylglycyl-L-threonyl-L-phenylalanyl-L-threonyl-L-seryl-L-aspartyl-L-valyl-L-seryl-L-seryl-L-tyrosyl-L-leucyl-L-glutamic Acid
Catalogue No.:PA PEP 004836
CAS :
926018-57-7
Molecular Formula : C71H103N17O28
Molecular Weight : 1642.7
(2S,5S,8S,14S)-14-((S)-2-((S)-2-Amino-3-(1H-imidazol-4-yl)propanamido)propanamido)-5-benzyl-2,8-bis((R)-1-hydroxyethyl)-4,7,10,13-tetraoxo-3,6,9,12-tetraazaheptadecanedioic Acid
(2S,5S,8S,14S)-14-((S)-2-((S)-2-Amino-3-(1H-imidazol-4-yl)propanamido)propanamido)-5-benzyl-2,8-bis((R)-1-hydroxyethyl)-4,7,10,13-tetraoxo-3,6,9,12-tetraazaheptadecanedioic Acid
Catalogue No.:PA PEP 004837
CAS :
926018-95-3
Molecular Formula : C33H47N9O12
Molecular Weight : 761.79
Glycylglycyl-L-glutamyl-L-glutamyl-L-glutamyl-L-glutamyl-L-tyrosyl-L-phenylalanyl-L-glutamyl-L-leucyl-L-valyl-L-lysyl-L-lysyl-L-lysyl-L-lysine
Glycylglycyl-L-glutamyl-L-glutamyl-L-glutamyl-L-glutamyl-L-tyrosyl-L-phenylalanyl-L-glutamyl-L-leucyl-L-valyl-L-lysyl-L-lysyl-L-lysyl-L-lysine
Catalogue No.:PA PEP 004839
CAS :
926279-93-8
Molecular Formula : C82H129N19O27
Molecular Weight : 1813.04
(2S,5S,8S,11S)-2-((1H-Imidazol-4-yl)methyl)-11-(3-amino-3-oxopropyl)-8-(carboxymethyl)-5-isopropyl-4,7,10,13-tetraoxo-3,6,9,12-tetraazatetradecanoic Acid
(2S,5S,8S,11S)-2-((1H-Imidazol-4-yl)methyl)-11-(3-amino-3-oxopropyl)-8-(carboxymethyl)-5-isopropyl-4,7,10,13-tetraoxo-3,6,9,12-tetraazatetradecanoic Acid
Catalogue No.:PA PEP 004843
CAS :
928006-50-2
Molecular Formula : C22H33N7O9
Molecular Weight : 539.55
(S)-1-(Acetyl-L-tyrosyl)-N-((S)-1-(((S)-1-amino-1-oxo-3-phenylpropan-2-yl)amino)-1-oxo-3-phenylpropan-2-yl)pyrrolidine-2-carboxamide
(S)-1-(Acetyl-L-tyrosyl)-N-((S)-1-(((S)-1-amino-1-oxo-3-phenylpropan-2-yl)amino)-1-oxo-3-phenylpropan-2-yl)pyrrolidine-2-carboxamide
Catalogue No.:PA PEP 004845
CAS :
928007-64-1
Molecular Formula : C34H39N5O6
Molecular Weight : 613.72
L-Tyrosylglycyl-L-arginyl-L-lysyl-L-lysyl-L-arginyl-L-arginyl-L-glutaminyl-L-arginyl-L-arginyl-L-arginylglycyl-L-lysylglycyl-L-lysyl-L-seryl-L-lysyl-L-arginyl-L-lysyl-L-lysyl-L-aspartyl-L-leucyl-L-arginyl-L-isoleucine
L-Tyrosylglycyl-L-arginyl-L-lysyl-L-lysyl-L-arginyl-L-arginyl-L-glutaminyl-L-arginyl-L-arginyl-L-arginylglycyl-L-lysylglycyl-L-lysyl-L-seryl-L-lysyl-L-arginyl-L-lysyl-L-lysyl-L-aspartyl-L-leucyl-L-arginyl-L-isoleucine
Catalogue No.:PA PEP 004846
CAS :
928163-65-9
Molecular Formula : C129H240N56O30
Molecular Weight : 3055.7
(2S,8S,11S,14S,17S,20S)-14-(2-Amino-2-oxoethyl)-20-((2S,5S,8S,11S,14S,17S,20S,23S,26S,29S,30S)-5,14-bis((1H-imidazol-5-yl)methyl)-29-amino-23-(3-amino-3-oxopropyl)-26-(hydroxymethyl)-17-isopropyl-2,8,11,20,30-pentamethyl-4,7,10,13,16,19,22,25,28-nonaoxo-3,6,9,12,15,18,21,24,27-nonaazadotriacontanamido)-17-((S)-sec-butyl)-11-(2-carboxyethyl)-2-(3-guanidinopropyl)-8-methyl-4,7,10,13,16,19-hexaoxo-3,6,9,12,15,18-hexaazatricosanedioic Acid
(2S,8S,11S,14S,17S,20S)-14-(2-Amino-2-oxoethyl)-20-((2S,5S,8S,11S,14S,17S,20S,23S,26S,29S,30S)-5,14-bis((1H-imidazol-5-yl)methyl)-29-amino-23-(3-amino-3-oxopropyl)-26-(hydroxymethyl)-17-isopropyl-2,8,11,20,30-pentamethyl-4,7,10,13,16,19,22,25,28-nonaoxo-3,6,9,12,15,18,21,24,27-nonaazadotriacontanamido)-17-((S)-sec-butyl)-11-(2-carboxyethyl)-2-(3-guanidinopropyl)-8-methyl-4,7,10,13,16,19-hexaoxo-3,6,9,12,15,18-hexaazatricosanedioic Acid
Catalogue No.:PA PEP 004848
CAS :
92915-79-2
Molecular Formula : C74H120N26O25
Molecular Weight : 1773.93
L-Isoleucyl-L-seryl-L-glutaminyl-L-alanyl-L-valyl-L-histidyl-L-alanyl-L-alanyl-L-histidyl-L-alanyl-L-glutamyl-L-isoleucyl-L-asparaginyl-L-glutamic Acid
L-Isoleucyl-L-seryl-L-glutaminyl-L-alanyl-L-valyl-L-histidyl-L-alanyl-L-alanyl-L-histidyl-L-alanyl-L-glutamyl-L-isoleucyl-L-asparaginyl-L-glutamic Acid
Catalogue No.:PA PEP 004849
CAS :
92915-80-5
Molecular Formula : C63H100N20O22
Molecular Weight : 1489.61
L-Lysylglycyl-L-asparaginyl-L-seryl-L-alanyl-L-leucyl-L-histidyl-L-valyl-L-alanyl-L-seryl-L-glutaminyl-L-histidylglycyl-L-histidyl-L-leucylglycyl-L-cysteinyl-L-isoleucyl-L-glutaminyl-L-threonyl-L-leucyl-L-valyl-L-arginyl-L-tyrosylglycyl-L-alanyl-L-asparaginyl-L-valyl-L-threonyl-L-methionyl-L-glutaminyl-L-asparaginyl-L-histidylglycine
L-Lysylglycyl-L-asparaginyl-L-seryl-L-alanyl-L-leucyl-L-histidyl-L-valyl-L-alanyl-L-seryl-L-glutaminyl-L-histidylglycyl-L-histidyl-L-leucylglycyl-L-cysteinyl-L-isoleucyl-L-glutaminyl-L-threonyl-L-leucyl-L-valyl-L-arginyl-L-tyrosylglycyl-L-alanyl-L-asparaginyl-L-valyl-L-threonyl-L-methionyl-L-glutaminyl-L-asparaginyl-L-histidylglycine
Catalogue No.:PA PEP 004850
CAS :
929207-58-9
Molecular Formula : C152H244N52O46S2
Molecular Weight : 3600.06
(4S,7S,10R,13S,16S,22S)-7-((1H-Imidazol-5-yl)methyl)-16-((1H-indol-3-yl)methyl)-26-amino-22-((S)-2-(((S)-1-amino-3-methyl-1-oxobutan-2-yl)carbamoyl)pyrrolidine-1-carbonyl)-10-benzyl-13-(3-guanidinopropyl)-4-((2S,5S,8S,11S)-8-(4-hydroxybenzyl)-5,11-bis(hydroxymethyl)-2-(2-(methylthio)ethyl)-4,7,10,13-tetraoxo-3,6,9,12-tetraazatetradecanamido)-5,8,11,14,17,20-hexaoxo-6,9,12,15,18,21-hexaazahexacosanoic Acid
(4S,7S,10R,13S,16S,22S)-7-((1H-Imidazol-5-yl)methyl)-16-((1H-indol-3-yl)methyl)-26-amino-22-((S)-2-(((S)-1-amino-3-methyl-1-oxobutan-2-yl)carbamoyl)pyrrolidine-1-carbonyl)-10-benzyl-13-(3-guanidinopropyl)-4-((2S,5S,8S,11S)-8-(4-hydroxybenzyl)-5,11-bis(hydroxymethyl)-2-(2-(methylthio)ethyl)-4,7,10,13-tetraoxo-3,6,9,12-tetraazatetradecanamido)-5,8,11,14,17,20-hexaoxo-6,9,12,15,18,21-hexaazahexacosanoic Acid
Catalogue No.:PA PEP 004851
CAS :
92937-43-4
Molecular Formula : C77H109N21O19S
Molecular Weight : 1664.91
Glycyl-L-prolyl-L-tryptophylglycyl-L-aspartyl-L-cysteinyl-L-seryl-L-arginyl-L-threonyl-L-cysteinylglycylglycylglycyl-L-valyl-L-glutaminyl-L-phenylalanyl-L-seryl-L-seryl-L-arginine
Glycyl-L-prolyl-L-tryptophylglycyl-L-aspartyl-L-cysteinyl-L-seryl-L-arginyl-L-threonyl-L-cysteinylglycylglycylglycyl-L-valyl-L-glutaminyl-L-phenylalanyl-L-seryl-L-seryl-L-arginine
Catalogue No.:PA PEP 004852
CAS :
929554-73-4
Molecular Formula : C80H121N27O27S2
Molecular Weight : 1957.13
L-Seryl-L-prolyl-L-tryptophyl-L-seryl-L-glutaminyl-L-cysteinyl-L-threonyl-L-alanyl-L-seryl-L-cysteinylglycylglycylglycyl-L-valyl-L-glutaminyl-L-threonyl-L-arginine
L-Seryl-L-prolyl-L-tryptophyl-L-seryl-L-glutaminyl-L-cysteinyl-L-threonyl-L-alanyl-L-seryl-L-cysteinylglycylglycylglycyl-L-valyl-L-glutaminyl-L-threonyl-L-arginine
Catalogue No.:PA PEP 004853
CAS :
929554-90-5
Molecular Formula : C69H109N23O25S2
Molecular Weight : 1724.89
L-Seryl-L-lysyl-L-tryptophyl-L-seryl-L-α-glutamyl-L-cysteinyl-L-seryl-L-arginyl-L-threonyl-L-cysteinylglycylglycylglycyl-L-valyl-L-lysyl-L-phenylalanyl-L-glutaminyl-L-α-glutamyl-L-arginine
L-Seryl-L-lysyl-L-tryptophyl-L-seryl-L-α-glutamyl-L-cysteinyl-L-seryl-L-arginyl-L-threonyl-L-cysteinylglycylglycylglycyl-L-valyl-L-lysyl-L-phenylalanyl-L-glutaminyl-L-α-glutamyl-L-arginine
Catalogue No.:PA PEP 004854
CAS :
929554-95-0
Molecular Formula : C89H141N29O29S2
Molecular Weight : 2145.4
L-Seryl-L-prolyl-L-tryptophyl-L-seryl-L-lysyl-L-cysteinyl-L-seryl-L-alanyl-L-alanyl-L-cysteinylglycyl-L-glutaminyl-L-threonylglycyl-L-valyl-L-glutaminyl-L-threonyl-L-arginyl-L-threonyl-L-arginine
L-Seryl-L-prolyl-L-tryptophyl-L-seryl-L-lysyl-L-cysteinyl-L-seryl-L-alanyl-L-alanyl-L-cysteinylglycyl-L-glutaminyl-L-threonylglycyl-L-valyl-L-glutaminyl-L-threonyl-L-arginyl-L-threonyl-L-arginine
Catalogue No.:PA PEP 004855
CAS :
929555-05-5
Molecular Formula : C86H142N30O29S2
Molecular Weight : 2124.38
Glycyl-L-prolyl-L-tryptophyl-L-α-glutamyl-L-arginyl-L-cysteinyl-L-threonyl-L-alanyl-L-glutaminyl-L-cysteinylglycylglycylglycyl-L-isoleucyl-L-glutaminyl-L-alanyl-L-arginyl-L-arginyl-L-arginine
Glycyl-L-prolyl-L-tryptophyl-L-α-glutamyl-L-arginyl-L-cysteinyl-L-threonyl-L-alanyl-L-glutaminyl-L-cysteinylglycylglycylglycyl-L-isoleucyl-L-glutaminyl-L-alanyl-L-arginyl-L-arginyl-L-arginine
Catalogue No.:PA PEP 004858
CAS :
929555-15-7
Molecular Formula : C85H140N34O25S2
Molecular Weight : 2102.39
L-Seryl-L-prolyl-L-tryptophyl-L-threonyl-L-lysyl-L-cysteinyl-L-seryl-L-alanyl-L-threonyl-L-cysteinylglycylglycylglycyl-L-histidyl-L-tyrosyl-L-methionyl-L-arginyl-L-threonyl-L-arginine
L-Seryl-L-prolyl-L-tryptophyl-L-threonyl-L-lysyl-L-cysteinyl-L-seryl-L-alanyl-L-threonyl-L-cysteinylglycylglycylglycyl-L-histidyl-L-tyrosyl-L-methionyl-L-arginyl-L-threonyl-L-arginine
Catalogue No.:PA PEP 004859
CAS :
929555-16-8
Molecular Formula : C87H135N29O26S3
Molecular Weight : 2099.39
L-Threonyl-L-seryl-L-tryptophyl-L-seryl-L-prolyl-L-cysteinyl-L-seryl-L-alanyl-L-seryl-L-cysteinylglycylglycylglycyl-L-histidyl-L-tyrosyl-L-glutaminyl-L-arginyl-L-threonyl-L-arginine
L-Threonyl-L-seryl-L-tryptophyl-L-seryl-L-prolyl-L-cysteinyl-L-seryl-L-alanyl-L-seryl-L-cysteinylglycylglycylglycyl-L-histidyl-L-tyrosyl-L-glutaminyl-L-arginyl-L-threonyl-L-arginine
Catalogue No.:PA PEP 004860
CAS :
929555-17-9
Molecular Formula : C83H125N29O28S2
Molecular Weight : 2041.21
(S)-4-((S)-2-((S)-2-(2-((S)-2-(2-((R)-2-((2S,3R)-2-((S)-2-((S)-2-((R)-2-((S)-2-((S)-2-((S)-2-((S)-1-(L-Glutaminyl)pyrrolidine-2-carboxamido)-3-(1H-indol-3-yl)propanamido)-3-hydroxypropanamido)-5-amino-5-oxopentanamido)-3-mercaptopropanamido)-3-hydroxypropanamido)propanamido)-3-hydroxybutanamido)-3-mercaptopropanamido)acetamido)-3-carboxypropanamido)acetamido)-3-methylbutanamido)-5-guanidinopentanamido)-5-(((S)-1-(((S)-1-(((S)-1-carboxy-4-guanidinobutyl)amino)-5-guanidino-1-oxopentan-2-yl)amino)-5-guanidino-1-oxopentan-2-yl)amino)-5-oxopentanoic Acid
(S)-4-((S)-2-((S)-2-(2-((S)-2-(2-((R)-2-((2S,3R)-2-((S)-2-((S)-2-((R)-2-((S)-2-((S)-2-((S)-2-((S)-1-(L-Glutaminyl)pyrrolidine-2-carboxamido)-3-(1H-indol-3-yl)propanamido)-3-hydroxypropanamido)-5-amino-5-oxopentanamido)-3-mercaptopropanamido)-3-hydroxypropanamido)propanamido)-3-hydroxybutanamido)-3-mercaptopropanamido)acetamido)-3-carboxypropanamido)acetamido)-3-methylbutanamido)-5-guanidinopentanamido)-5-(((S)-1-(((S)-1-(((S)-1-carboxy-4-guanidinobutyl)amino)-5-guanidino-1-oxopentan-2-yl)amino)-5-guanidino-1-oxopentan-2-yl)amino)-5-oxopentanoic Acid
Catalogue No.:PA PEP 004862
CAS :
929555-19-1
Molecular Formula : C87H142N34O29S2
Molecular Weight : 2192.42
(S)-2-Acetamido-N-((S)-5-guanidino-1-((4-methyl-2-oxo-2H-chromen-7-yl)amino)-1-oxopentan-2-yl)-4-methylpentanamide
(S)-2-Acetamido-N-((S)-5-guanidino-1-((4-methyl-2-oxo-2H-chromen-7-yl)amino)-1-oxopentan-2-yl)-4-methylpentanamide
Catalogue No.:PA PEP 004863
CAS :
929621-79-4
Molecular Formula : C24H34N6O5
Molecular Weight : 486.57
(S)-2-Acetamido-5-guanidino-N-((S)-1-(((S)-5-guanidino-1-((4-methyl-2-oxo-2H-chromen-7-yl)amino)-1-oxopentan-2-yl)amino)-4-methyl-1-oxopentan-2-yl)pentanamide
(S)-2-Acetamido-5-guanidino-N-((S)-1-(((S)-5-guanidino-1-((4-methyl-2-oxo-2H-chromen-7-yl)amino)-1-oxopentan-2-yl)amino)-4-methyl-1-oxopentan-2-yl)pentanamide
Catalogue No.:PA PEP 004864
CAS :
929903-87-7
Molecular Formula : C30H46N10O6
Molecular Weight : 642.76
L-Phenylalanyl-L-arginyl-L-lysyl-L-lysyl-L-tryptophyl-L-asparaginyl-L-lysyl-L-tryptophyl-L-alanyl-L-leucyl-L-seryl-L-arginine
L-Phenylalanyl-L-arginyl-L-lysyl-L-lysyl-L-tryptophyl-L-asparaginyl-L-lysyl-L-tryptophyl-L-alanyl-L-leucyl-L-seryl-L-arginine
Catalogue No.:PA PEP 004865
CAS :
929905-12-4
Molecular Formula : C77H118N24O15
Molecular Weight : 1619.94
L-Leucyl-L-valyl-L-arginyl-L-tyrosyl-L-threonyl-L-lysyl-L-lysyl-L-valyl-L-prolyl-L-glutaminyl-L-valyl-L-seryl-L-threonyl-L-prolyl-L-threonyl-L-leucine
L-Leucyl-L-valyl-L-arginyl-L-tyrosyl-L-threonyl-L-lysyl-L-lysyl-L-valyl-L-prolyl-L-glutaminyl-L-valyl-L-seryl-L-threonyl-L-prolyl-L-threonyl-L-leucine
Catalogue No.:PA PEP 004866
CAS :
930280-31-2
Molecular Formula : C84H144N22O23
Molecular Weight : 1830.21
(S)-N1-((S)-1-(((S)-1-((S)-2-(((S)-4-Amino-1-(((S)-1-amino-3-(1H-indol-3-yl)-1-oxopropan-2-yl)amino)-1,4-dioxobutan-2-yl)carbamoyl)pyrrolidin-1-yl)-3-hydroxy-1-oxopropan-2-yl)amino)-1-oxo-3-phenylpropan-2-yl)-2-((S)-3-methyl-2-((S)-5-oxopyrrolidine-2-carboxamido)butanamido)succinamide
(S)-N1-((S)-1-(((S)-1-((S)-2-(((S)-4-Amino-1-(((S)-1-amino-3-(1H-indol-3-yl)-1-oxopropan-2-yl)amino)-1,4-dioxobutan-2-yl)carbamoyl)pyrrolidin-1-yl)-3-hydroxy-1-oxopropan-2-yl)amino)-1-oxo-3-phenylpropan-2-yl)-2-((S)-3-methyl-2-((S)-5-oxopyrrolidine-2-carboxamido)butanamido)succinamide
Catalogue No.:PA PEP 004868
CAS :
93208-51-6
Molecular Formula : C46H60N12O12
Molecular Weight : 973.06
(S)-N1-((2S,8S,11S,14S,17S)-21-Amino-8-benzyl-17-carbamoyl-14-(4-((2,4-dinitrophenyl)amino)butyl)-11-(3-guanidinopropyl)-1-hydroxy-3,6,9,12,15-pentaoxo-4,7,10,13,16-pentaazahenicosan-2-yl)-2-((S)-2-((S)-2-((S)-2-(2-(7-methoxy-2-oxo-2H-chromen-4-yl)acetamido)propanamido)-3-methylbutanamido)-4-methylpentanamido)pentanediamide
(S)-N1-((2S,8S,11S,14S,17S)-21-Amino-8-benzyl-17-carbamoyl-14-(4-((2,4-dinitrophenyl)amino)butyl)-11-(3-guanidinopropyl)-1-hydroxy-3,6,9,12,15-pentaoxo-4,7,10,13,16-pentaazahenicosan-2-yl)-2-((S)-2-((S)-2-((S)-2-(2-(7-methoxy-2-oxo-2H-chromen-4-yl)acetamido)propanamido)-3-methylbutanamido)-4-methylpentanamido)pentanediamide
Catalogue No.:PA PEP 004869
CAS :
932391-88-3
Molecular Formula : C69H99N19O20
Molecular Weight : 1514.66
(S)-N1-((S)-1-Amino-3-(1H-indol-3-yl)-1-oxopropan-2-yl)-2-((S)-1-(((S)-5-oxopyrrolidine-2-carbonyl)-L-leucyl-L-threonyl-L-phenylalanyl-L-threonyl)pyrrolidine-2-carboxamido)succinamide
(S)-N1-((S)-1-Amino-3-(1H-indol-3-yl)-1-oxopropan-2-yl)-2-((S)-1-(((S)-5-oxopyrrolidine-2-carbonyl)-L-leucyl-L-threonyl-L-phenylalanyl-L-threonyl)pyrrolidine-2-carboxamido)succinamide
Catalogue No.:PA PEP 004870
CAS :
93240-39-2
Molecular Formula : C48H65N11O12
Molecular Weight : 988.11
(S)-3-(2-((S)-2-((S)-2-((S)-2-((S)-1-(L-Asparaginyl-L-alanyl-L-valyl)pyrrolidine-2-carboxamido)-4-amino-4-oxobutanamido)-4-methylpentanamido)-5-guanidinopentanamido)acetamido)-4-(((S)-1-(((S)-5-amino-1-(((S)-1-(((S)-1-(((S)-1-(((S)-5-amino-1-(((S)-6-amino-1-(((S)-1-(((S)-1-(((S)-1-(((1S,2R)-1-carboxy-2-hydroxypropyl)amino)-5-guanidino-1-oxopentan-2-yl)amino)-1-oxopropan-2-yl)amino)-3-methyl-1-oxobutan-2-yl)amino)-1-oxohexan-2-yl)amino)-1,5-dioxopentan-2-yl)amino)-1-oxopropan-2-yl)amino)-4-methyl-1-oxopentan-2-yl)amino)-3-methyl-1-oxobutan-2-yl)amino)-1,5-dioxopentan-2-yl)amino)-4-methyl-1-oxopentan-2-yl)amino)-4-oxobutanoic Acid
(S)-3-(2-((S)-2-((S)-2-((S)-2-((S)-1-(L-Asparaginyl-L-alanyl-L-valyl)pyrrolidine-2-carboxamido)-4-amino-4-oxobutanamido)-4-methylpentanamido)-5-guanidinopentanamido)acetamido)-4-(((S)-1-(((S)-5-amino-1-(((S)-1-(((S)-1-(((S)-1-(((S)-5-amino-1-(((S)-6-amino-1-(((S)-1-(((S)-1-(((S)-1-(((1S,2R)-1-carboxy-2-hydroxypropyl)amino)-5-guanidino-1-oxopentan-2-yl)amino)-1-oxopropan-2-yl)amino)-3-methyl-1-oxobutan-2-yl)amino)-1-oxohexan-2-yl)amino)-1,5-dioxopentan-2-yl)amino)-1-oxopropan-2-yl)amino)-4-methyl-1-oxopentan-2-yl)amino)-3-methyl-1-oxobutan-2-yl)amino)-1,5-dioxopentan-2-yl)amino)-4-methyl-1-oxopentan-2-yl)amino)-4-oxobutanoic Acid
Catalogue No.:PA PEP 004871
CAS :
932699-03-1
Molecular Formula : C93H163N31O28
Molecular Weight : 2163.52
Methyl N2-((3S,4S)-4-((S)-2-((S)-2-((S)-1-(((benzyloxy)carbonyl)-L-arginyl-L-arginyl)pyrrolidine-2-carboxamido)-3-phenylpropanamido)-3-(1H-imidazol-5-yl)propanamido)-3-hydroxy-6-methylheptanoyl)-L-isoleucyl-L-histidyl-N6-(tert-butoxycarbonyl)-L-lysinate
Methyl N2-((3S,4S)-4-((S)-2-((S)-2-((S)-1-(((benzyloxy)carbonyl)-L-arginyl-L-arginyl)pyrrolidine-2-carboxamido)-3-phenylpropanamido)-3-(1H-imidazol-5-yl)propanamido)-3-hydroxy-6-methylheptanoyl)-L-isoleucyl-L-histidyl-N6-(tert-butoxycarbonyl)-L-lysinate
Catalogue No.:PA PEP 004872
CAS :
93287-54-8
Molecular Formula : C72H110N20O15
Molecular Weight : 1495.8
2-((4R,7S,10S,13S,19S,22S,25S,28S,31S,34R)-10-((1H-Imidazol-5-yl)methyl)-19-((1H-indol-3-yl)methyl)-34-((2S,3S)-2-acetamido-3-methylpentanamido)-4-(((2S,3R)-1-amino-3-hydroxy-1-oxobutan-2-yl)carbamoyl)-25-(3-amino-3-oxopropyl)-7-(3-guanidinopropyl)-31-isopropyl-13-methyl-28-((1-methyl-1H-indol-3-yl)methyl)-6,9,12,15,18,21,24,27,30,33-decaoxo-1,2-dithia-5,8,11,14,17,20,23,26,29,32-decaazacyclopentatriacontan-22-yl)acetic Acid
2-((4R,7S,10S,13S,19S,22S,25S,28S,31S,34R)-10-((1H-Imidazol-5-yl)methyl)-19-((1H-indol-3-yl)methyl)-34-((2S,3S)-2-acetamido-3-methylpentanamido)-4-(((2S,3R)-1-amino-3-hydroxy-1-oxobutan-2-yl)carbamoyl)-25-(3-amino-3-oxopropyl)-7-(3-guanidinopropyl)-31-isopropyl-13-methyl-28-((1-methyl-1H-indol-3-yl)methyl)-6,9,12,15,18,21,24,27,30,33-decaoxo-1,2-dithia-5,8,11,14,17,20,23,26,29,32-decaazacyclopentatriacontan-22-yl)acetic Acid
Catalogue No.:PA PEP 004874
CAS :
934461-40-2
Molecular Formula : C72H102N22O18S2
Molecular Weight : 1627.86
(4S,7S,10S,13S,16S,19S)-4,10,13-Tris(4-aminobutyl)-19-(((2S,3R)-1-(((S)-1,5-diamino-1,5-dioxopentan-2-yl)amino)-3-hydroxy-1-oxobutan-2-yl)carbamoyl)-16-((R)-1-hydroxyethyl)-7-isobutyl-2,5,8,11,14,17-hexaoxo-3,6,9,12,15,18-hexaazadocosan-22-oic Acid
(4S,7S,10S,13S,16S,19S)-4,10,13-Tris(4-aminobutyl)-19-(((2S,3R)-1-(((S)-1,5-diamino-1,5-dioxopentan-2-yl)amino)-3-hydroxy-1-oxobutan-2-yl)carbamoyl)-16-((R)-1-hydroxyethyl)-7-isobutyl-2,5,8,11,14,17-hexaoxo-3,6,9,12,15,18-hexaazadocosan-22-oic Acid
Catalogue No.:PA PEP 004875
CAS :
934812-87-0
Molecular Formula : C44H81N13O14
Molecular Weight : 1016.21
(S)-N-((2S,5S,8S,11S,14S)-5-((1H-Indol-3-yl)methyl)-1-amino-2-(4-hydroxybenzyl)-11-((R)-1-hydroxyethyl)-8-(hydroxymethyl)-15-(4-hydroxyphenyl)-1,4,7,10,13-pentaoxo-3,6,9,12-tetraazapentadecan-14-yl)-6-amino-2-((2S,5S,8S,11S)-2,8-bis(3-guanidinopropyl)-11-(4-hydroxybenzyl)-5-(hydroxymethyl)-4,7,10,13-tetraoxo-3,6,9,12-tetraazatetradecanamido)hexanamide
(S)-N-((2S,5S,8S,11S,14S)-5-((1H-Indol-3-yl)methyl)-1-amino-2-(4-hydroxybenzyl)-11-((R)-1-hydroxyethyl)-8-(hydroxymethyl)-15-(4-hydroxyphenyl)-1,4,7,10,13-pentaoxo-3,6,9,12-tetraazapentadecan-14-yl)-6-amino-2-((2S,5S,8S,11S)-2,8-bis(3-guanidinopropyl)-11-(4-hydroxybenzyl)-5-(hydroxymethyl)-4,7,10,13-tetraoxo-3,6,9,12-tetraazatetradecanamido)hexanamide
Catalogue No.:PA PEP 004877
CAS :
935288-50-9
Molecular Formula : C68H95N19O17
Molecular Weight : 1450.62
D-Arginyl-D-arginyl-D-arginyl-D-arginyl-D-arginyl-D-arginyl-D-arginyl-D-arginyl-D-arginyl-L-lysyl-L-phenylalanyl-L-valyl-L-arginyl-L-seryl-L-arginyl-L-arginyl-L-prolyl-L-arginyl-L-threonyl-L-alanyl-L-seryl-L-cysteinyl-L-alanyl-L-leucyl-L-alanyl-L-phenylalanyl-L-valyl-L-asparagine
D-Arginyl-D-arginyl-D-arginyl-D-arginyl-D-arginyl-D-arginyl-D-arginyl-D-arginyl-D-arginyl-L-lysyl-L-phenylalanyl-L-valyl-L-arginyl-L-seryl-L-arginyl-L-arginyl-L-prolyl-L-arginyl-L-threonyl-L-alanyl-L-seryl-L-cysteinyl-L-alanyl-L-leucyl-L-alanyl-L-phenylalanyl-L-valyl-L-asparagine
Catalogue No.:PA PEP 004880
CAS :
935732-44-8
Molecular Formula : C149H267N69O33S
Molecular Weight : 3585.29
(3R,6S,9S,12S,15S,18S,21R,24S,27S,30S,33S)-9-((1R,2R,E)-1-Hydroxy-2-methylhex-4-en-1-yl)-6-((R)-1-hydroxyethyl)-15,18,27,30-tetraisobutyl-12-isopropyl-33-((R)-1-methoxyethyl)-1,3,4,10,13,19,21,24,28-nonamethyl-1,4,7,10,13,16,19,22,25,28,31-undecaazacyclotritriacontan-2,5,8,11,14,17,20,23,26,29,32-undecaone
(3R,6S,9S,12S,15S,18S,21R,24S,27S,30S,33S)-9-((1R,2R,E)-1-Hydroxy-2-methylhex-4-en-1-yl)-6-((R)-1-hydroxyethyl)-15,18,27,30-tetraisobutyl-12-isopropyl-33-((R)-1-methoxyethyl)-1,3,4,10,13,19,21,24,28-nonamethyl-1,4,7,10,13,16,19,22,25,28,31-undecaazacyclotritriacontan-2,5,8,11,14,17,20,23,26,29,32-undecaone
Catalogue No.:PA PEP 004881
CAS :
935735-70-9
Molecular Formula : C62H111N11O14
Molecular Weight : 1234.63
N-((S)-1-(((R)-1-(((S)-1-Amino-5-guanidino-1-oxopentan-2-yl)amino)-1-oxo-3-phenylpropan-2-yl)amino)-3-(1H-imidazol-4-yl)-1-oxopropan-2-yl)palmitamide
N-((S)-1-(((R)-1-(((S)-1-Amino-5-guanidino-1-oxopentan-2-yl)amino)-1-oxo-3-phenylpropan-2-yl)amino)-3-(1H-imidazol-4-yl)-1-oxopropan-2-yl)palmitamide
Catalogue No.:PA PEP 004883
CAS :
936544-53-5
Molecular Formula : C37H61N9O4
Molecular Weight : 695.95
(4S,5R)-3-(Na-(((9H-Fluoren-9-yl)methoxy)carbonyl)-1-(tert-butoxycarbonyl)-L-tryptophyl)-2,2,5-trimethyloxazolidine-4-carboxylic Acid
(4S,5R)-3-(Na-(((9H-Fluoren-9-yl)methoxy)carbonyl)-1-(tert-butoxycarbonyl)-L-tryptophyl)-2,2,5-trimethyloxazolidine-4-carboxylic Acid
Catalogue No.:PA PEP 004885
CAS :
936707-21-0
Molecular Formula : C38H41N3O8
Molecular Weight : 667.76
3-((3R,9S,12S,15S,21S,24S,27S,30S,33S,38aS)-9-((1H-Indol-3-yl)methyl)-27-(2-amino-2-oxoethyl)-12,33-dibenzyl-3-carbamoyl-24-(carboxymethyl)-21-(4-hydroxybenzyl)-30-((R)-1-hydroxyethyl)-1,7,10,13,16,19,22,25,28,31,34-undecaoxohexatriacontahydro-6H-pyrrolo[1,2-e1][1]thia[4,7,10,13,16,19,22,25,28,31,34]undecaazacyclohexatriacontin-15-yl)propanoic Acid
3-((3R,9S,12S,15S,21S,24S,27S,30S,33S,38aS)-9-((1H-Indol-3-yl)methyl)-27-(2-amino-2-oxoethyl)-12,33-dibenzyl-3-carbamoyl-24-(carboxymethyl)-21-(4-hydroxybenzyl)-30-((R)-1-hydroxyethyl)-1,7,10,13,16,19,22,25,28,31,34-undecaoxohexatriacontahydro-6H-pyrrolo[1,2-e1][1]thia[4,7,10,13,16,19,22,25,28,31,34]undecaazacyclohexatriacontin-15-yl)propanoic Acid
Catalogue No.:PA PEP 004886
CAS :
936728-13-1
Molecular Formula : C67H80N14O19S
Molecular Weight : 1417.52
(S)-4-(((S)-1-Carboxy-2-hydroxyethyl)amino)-3-(2-((S)-2,6-diaminohexanamido)acetamido)-4-oxobutanoic Acid
(S)-4-(((S)-1-Carboxy-2-hydroxyethyl)amino)-3-(2-((S)-2,6-diaminohexanamido)acetamido)-4-oxobutanoic Acid
Catalogue No.:PA PEP 004888
CAS :
93674-95-4
Molecular Formula : C15H27N5O8
Molecular Weight : 405.41
(6S,12S,15S)-1,6-Diamino-12-(2-carboxyethyl)-15-(hydroxymethyl)-1-imino-7,10,13-trioxo-2,8,11,14-tetraazahexadecan-16-oic Acid
(6S,12S,15S)-1,6-Diamino-12-(2-carboxyethyl)-15-(hydroxymethyl)-1-imino-7,10,13-trioxo-2,8,11,14-tetraazahexadecan-16-oic Acid
Catalogue No.:PA PEP 004889
CAS :
93674-97-6
Molecular Formula : C16H29N7O8
Molecular Weight : 447.45
(6S,12S,15S)-1,6-Diamino-12-(carboxymethyl)-1-imino-15-isopropyl-7,10,13-trioxo-2,8,11,14-tetraazahexadecan-16-oic Acid
(6S,12S,15S)-1,6-Diamino-12-(carboxymethyl)-1-imino-15-isopropyl-7,10,13-trioxo-2,8,11,14-tetraazahexadecan-16-oic Acid
Catalogue No.:PA PEP 004890
CAS :
93674-99-8
Molecular Formula : C17H31N7O7
Molecular Weight : 445.48
(6S,12S,15S)-1,6-Diamino-12-(carboxymethyl)-15-((R)-1-hydroxyethyl)-1-imino-7,10,13-trioxo-2,8,11,14-tetraazahexadecan-16-oic Acid
(6S,12S,15S)-1,6-Diamino-12-(carboxymethyl)-15-((R)-1-hydroxyethyl)-1-imino-7,10,13-trioxo-2,8,11,14-tetraazahexadecan-16-oic Acid
Catalogue No.:PA PEP 004891
CAS :
93675-01-5
Molecular Formula : C16H29N7O8
Molecular Weight : 447.45
L-Prolyl-L-leucyl-L-methionyl-L-isoleucyl-L-lysyl-L-arginyl-L-seryl-L-lysyl-L-lysyl-L-asparaginyl-L-seryl-L-leucyl-L-alanyl-L-leucyl-L-seryl-L-leucyl-L-threonine
L-Prolyl-L-leucyl-L-methionyl-L-isoleucyl-L-lysyl-L-arginyl-L-seryl-L-lysyl-L-lysyl-L-asparaginyl-L-seryl-L-leucyl-L-alanyl-L-leucyl-L-seryl-L-leucyl-L-threonine
Catalogue No.:PA PEP 004892
CAS :
938077-77-1
Molecular Formula : C84H154N24O23S
Molecular Weight : 1900.36
(S)-N1-((4S,7S,10S,16S,19S)-16-((1H-Imidazol-4-yl)methyl)-22-amino-4-carbamoyl-10-(3-guanidinopropyl)-2,7-dimethyl-6,9,12,15,18,22-hexaoxo-5,8,11,14,17-pentaazadocosan-19-yl)-2-((2S,5S,8S,14S,17S)-17-amino-5-(3-amino-3-oxopropyl)-2-(4-hydroxybenzyl)-14-(hydroxymethyl)-8,19-dimethyl-4,7,10,13,16-pentaoxo-3,6,9,12,15-pentaazaicosanamido)pentanediamide
(S)-N1-((4S,7S,10S,16S,19S)-16-((1H-Imidazol-4-yl)methyl)-22-amino-4-carbamoyl-10-(3-guanidinopropyl)-2,7-dimethyl-6,9,12,15,18,22-hexaoxo-5,8,11,14,17-pentaazadocosan-19-yl)-2-((2S,5S,8S,14S,17S)-17-amino-5-(3-amino-3-oxopropyl)-2-(4-hydroxybenzyl)-14-(hydroxymethyl)-8,19-dimethyl-4,7,10,13,16-pentaoxo-3,6,9,12,15-pentaazaicosanamido)pentanediamide
Catalogue No.:PA PEP 004893
CAS :
938193-98-7
Molecular Formula : C61H98N22O18
Molecular Weight : 1427.59
Glycylglycyl-L-leucyl-L-arginyl-L-seryl-L-leucylglycyl-L-arginyl-L-lysyl-L-isoleucyl-L-leucyl-L-arginyl-L-alanyl-L-tryptophyl-L-lysyl-L-lysyl-L-tyrosylglycyl-L-prolyl-L-isoleucyl-L-isoleucyl-L-valyl-L-prolyl-L-isoleucyl-L-isoleucyl-L-arginyl-L-isoleucylglycine
Glycylglycyl-L-leucyl-L-arginyl-L-seryl-L-leucylglycyl-L-arginyl-L-lysyl-L-isoleucyl-L-leucyl-L-arginyl-L-alanyl-L-tryptophyl-L-lysyl-L-lysyl-L-tyrosylglycyl-L-prolyl-L-isoleucyl-L-isoleucyl-L-valyl-L-prolyl-L-isoleucyl-L-isoleucyl-L-arginyl-L-isoleucylglycine
Catalogue No.:PA PEP 004896
CAS :
939963-76-5
Molecular Formula : C147H252N44O31
Molecular Weight : 3131.91
(S)-1-(L-Lysyl-L-seryl-L-arginyl-L-isoleucyl-L-valyl)-N-((S)-1-(((2S,3S)-1-((S)-2-(((S)-1-(((S)-1-(((S)-1-(((S)-1-amino-4-methyl-1-oxopentan-2-yl)amino)-4-methyl-1-oxopentan-2-yl)amino)-3-hydroxy-1-oxopropan-2-yl)amino)-3-methyl-1-oxobutan-2-yl)carbamoyl)pyrrolidin-1-yl)-3-methyl-1-oxopentan-2-yl)amino)-1-oxopropan-2-yl)pyrrolidine-2-carboxamide
(S)-1-(L-Lysyl-L-seryl-L-arginyl-L-isoleucyl-L-valyl)-N-((S)-1-(((2S,3S)-1-((S)-2-(((S)-1-(((S)-1-(((S)-1-(((S)-1-amino-4-methyl-1-oxopentan-2-yl)amino)-4-methyl-1-oxopentan-2-yl)amino)-3-hydroxy-1-oxopropan-2-yl)amino)-3-methyl-1-oxobutan-2-yl)carbamoyl)pyrrolidin-1-yl)-3-methyl-1-oxopentan-2-yl)amino)-1-oxopropan-2-yl)pyrrolidine-2-carboxamide
Catalogue No.:PA PEP 004897
CAS :
940291-10-1
Molecular Formula : C65H118N18O15
Molecular Weight : 1391.77
(2S,5S,8S,11S,14S,17S,20S,23S)-23-((S)-5-Amino-2-((R)-2-amino-3-mercaptopropanamido)-5-oxopentanamido)-5-benzyl-17-(2-carboxyethyl)-11-(3-guanidinopropyl)-2-(4-hydroxybenzyl)-8,14-bis((R)-1-hydroxyethyl)-20-(hydroxymethyl)-4,7,10,13,16,19,22-heptaoxo-3,6,9,12,15,18,21-heptaazapentacosanedioic Acid
(2S,5S,8S,11S,14S,17S,20S,23S)-23-((S)-5-Amino-2-((R)-2-amino-3-mercaptopropanamido)-5-oxopentanamido)-5-benzyl-17-(2-carboxyethyl)-11-(3-guanidinopropyl)-2-(4-hydroxybenzyl)-8,14-bis((R)-1-hydroxyethyl)-20-(hydroxymethyl)-4,7,10,13,16,19,22-heptaoxo-3,6,9,12,15,18,21-heptaazapentacosanedioic Acid
Catalogue No.:PA PEP 004898
CAS :
94040-53-6
Molecular Formula : C52H76N14O20S
Molecular Weight : 1249.32
L-Arginyl-L-glutaminyl-L-isoleucyl-L-lysyl-L-isoleucyl-L-tryptophyl-L-phenylalanyl-L-glutaminyl-L-asparaginyl-L-arginyl-L-arginyl-L-methionyl-L-lysyl-L-tryptophyl-L-lysyl-L-lysylglycylglycine
L-Arginyl-L-glutaminyl-L-isoleucyl-L-lysyl-L-isoleucyl-L-tryptophyl-L-phenylalanyl-L-glutaminyl-L-asparaginyl-L-arginyl-L-arginyl-L-methionyl-L-lysyl-L-tryptophyl-L-lysyl-L-lysylglycylglycine
Catalogue No.:PA PEP 004900
CAS :
940866-75-1
Molecular Formula : C108H174N36O22S
Molecular Weight : 2360.87
(S)-6-Amino-N-(2-(((2S,3S)-1-(((S)-1-(((S)-1-amino-3-hydroxy-1-oxopropan-2-yl)amino)-4-methyl-1-oxopentan-2-yl)amino)-3-methyl-1-oxopentan-2-yl)amino)-2-oxoethyl)-2-((S)-2-amino-3-methylbutanamido)hexanamide
(S)-6-Amino-N-(2-(((2S,3S)-1-(((S)-1-(((S)-1-amino-3-hydroxy-1-oxopropan-2-yl)amino)-4-methyl-1-oxopentan-2-yl)amino)-3-methyl-1-oxopentan-2-yl)amino)-2-oxoethyl)-2-((S)-2-amino-3-methylbutanamido)hexanamide
Catalogue No.:PA PEP 004901
CAS :
942413-05-0
Molecular Formula : C28H54N8O7
Molecular Weight : 614.79
(2S,2'S)-2,2'-(((2S,2'S)-1,1'-((2S,2'S)-2,2'-(((2R,2'R)-3,3'-Disulfanediylbis(2-aminopropanoyl))bis(azanediyl))bis(6-aminohexanoyl))bis(pyrrolidine-1,2-diyl-2-carbonyl))bis(azanediyl))bis(3-methylbutanoic Acid)
(2S,2'S)-2,2'-(((2S,2'S)-1,1'-((2S,2'S)-2,2'-(((2R,2'R)-3,3'-Disulfanediylbis(2-aminopropanoyl))bis(azanediyl))bis(6-aminohexanoyl))bis(pyrrolidine-1,2-diyl-2-carbonyl))bis(azanediyl))bis(3-methylbutanoic Acid)
Catalogue No.:PA PEP 004903
CAS :
942626-41-7
Molecular Formula : C38H68N10O10S2
Molecular Weight : 889.14
L-Phenylalanyl-L-arginyl-L-arginyl-L-glutaminyl-L-arginyl-L-prolyl-L-arginyl-L-leucyl-L-seryl-L-histidyl-L-lysylglycyl-L-prolyl-L-methionyl-L-prolyl-L-phenylalanine
L-Phenylalanyl-L-arginyl-L-arginyl-L-glutaminyl-L-arginyl-L-prolyl-L-arginyl-L-leucyl-L-seryl-L-histidyl-L-lysylglycyl-L-prolyl-L-methionyl-L-prolyl-L-phenylalanine
Catalogue No.:PA PEP 004904
CAS :
942905-20-6
Molecular Formula : C90H144N32O19S
Molecular Weight : 2010.41
(2S,5S,8S,11S,14S,17S,20S,23S,26S,29S,32S)-17-((1H-Imidazol-5-yl)methyl)-1-amino-32-(2-((S)-2-(2-amino-2-methylpropanamido)-3-methylbutanamido)-2-methylpropanamido)-14,26-bis(3-amino-3-oxopropyl)-5-(4-aminobutyl)-29-((S)-sec-butyl)-20-butyl-11-(3-guanidinopropyl)-2-(4-hydroxybenzyl)-23-isobutyl-8-methyl-1,4,7,10,13,16,19,22,25,28,31-undecaoxo-3,6,9,12,15,18,21,24,27,30-decaazapentatriacontan-35-oic Acid
(2S,5S,8S,11S,14S,17S,20S,23S,26S,29S,32S)-17-((1H-Imidazol-5-yl)methyl)-1-amino-32-(2-((S)-2-(2-amino-2-methylpropanamido)-3-methylbutanamido)-2-methylpropanamido)-14,26-bis(3-amino-3-oxopropyl)-5-(4-aminobutyl)-29-((S)-sec-butyl)-20-butyl-11-(3-guanidinopropyl)-2-(4-hydroxybenzyl)-23-isobutyl-8-methyl-1,4,7,10,13,16,19,22,25,28,31-undecaoxo-3,6,9,12,15,18,21,24,27,30-decaazapentatriacontan-35-oic Acid
Catalogue No.:PA PEP 004906
CAS :
943519-33-3
Molecular Formula : C76H127N23O19
Molecular Weight : 1666.99
4-(((S)-1-(((S)-3-(4-Hydroxyphenyl)-1-((4-methyl-2-oxo-2H-chromen-7-yl)amino)-1-oxopropan-2-yl)amino)-4-methyl-1-oxopentan-2-yl)amino)-4-oxobutanoic Acid
4-(((S)-1-(((S)-3-(4-Hydroxyphenyl)-1-((4-methyl-2-oxo-2H-chromen-7-yl)amino)-1-oxopropan-2-yl)amino)-4-methyl-1-oxopentan-2-yl)amino)-4-oxobutanoic Acid
Catalogue No.:PA PEP 004907
CAS :
94367-20-1
Molecular Formula : C29H33N3O8
Molecular Weight : 551.6
L-Leucine, L-alanyl-L-leucyl-L-isoleucyl-L-tyrosyl-L-arginyl-L-lysyl-L-leucyl-L-leucyl-L-phenylalanyl-L-asparaginyl-L-prolyl-L-serylglycyl-L-prolyl-L-tyrosyl-L-glutaminyl-L-lysyl-L-lysyl-L-prolyl-L-valyl-L-histidyl-L-α-glutamyl-L-lysyl-L-lysyl-L-α-glutamyl-L-valyl
L-Leucine, L-alanyl-L-leucyl-L-isoleucyl-L-tyrosyl-L-arginyl-L-lysyl-L-leucyl-L-leucyl-L-phenylalanyl-L-asparaginyl-L-prolyl-L-serylglycyl-L-prolyl-L-tyrosyl-L-glutaminyl-L-lysyl-L-lysyl-L-prolyl-L-valyl-L-histidyl-L-α-glutamyl-L-lysyl-L-lysyl-L-α-glutamyl-L-valyl
Catalogue No.:PA PEP 004733
CAS :
891861-48-6
Molecular Formula : C151H243N39O37
Molecular Weight : 3196.84
L-Cysteinyl-L-histidyl-L-serylglycyl-L-tyrosyl-L-valylglycyl-L-valyl-L-arginyl-L-cysteine
L-Cysteinyl-L-histidyl-L-serylglycyl-L-tyrosyl-L-valylglycyl-L-valyl-L-arginyl-L-cysteine
Catalogue No.:PA PEP 001305
CAS :
95596-38-6
Molecular Formula : C44H69N15O13S2
Molecular Weight : 1080.25
L-Histidyl-L-alanyl-L-threonyl-L-prolyl-L-prolyl-L-lysyl-L-lysyl-L-lysyl-L-arginyl-L-lysine
L-Histidyl-L-alanyl-L-threonyl-L-prolyl-L-prolyl-L-lysyl-L-lysyl-L-lysyl-L-arginyl-L-lysine
Catalogue No.:PA PEP 001307
CAS :
956004-38-9
Molecular Formula : C53H95N19O12
Molecular Weight : 1190.46
L-Valine, glycyl-L-prolyl-L-histidyl-L-arginyl-L-seryl-L-threonyl-L-prolyl-L-α-glutamyl-L-seryl-L-arginyl-L-alanyl-L-alanyl
L-Valine, glycyl-L-prolyl-L-histidyl-L-arginyl-L-seryl-L-threonyl-L-prolyl-L-α-glutamyl-L-seryl-L-arginyl-L-alanyl-L-alanyl
Catalogue No.:PA PEP 001309
CAS :
956004-39-0
Molecular Formula : C56H93N21O19
Molecular Weight : 1364.49
