Peptides and its Impurities
Peptides are naturally occurring biological macromolecules formed by the linear arrangement of two or more amino acids linked together by peptide bonds. It can be used as biomarkers for disease detection and diagnosis. Reference standards of Peptides API, and its pharmacopeial, non pharmacopeial impurities, and stable isotopes are listed below.
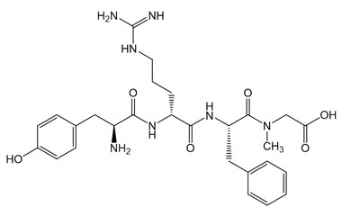
(S)-N-Ethyl-1-(((S)-5-oxopyrrolidine-2-carbonyl)-L-histidyl-L-tryptophyl-L-seryl-L-tyrosyl-D-alanyl-L-tryptophyl-L-leucyl)pyrrolidine-2-carboxamide
(S)-N-Ethyl-1-(((S)-5-oxopyrrolidine-2-carbonyl)-L-histidyl-L-tryptophyl-L-seryl-L-tyrosyl-D-alanyl-L-tryptophyl-L-leucyl)pyrrolidine-2-carboxamide
Catalogue No.:PA PEP 004721
CAS :
88848-87-7
Molecular Formula : C61H76N14O12
Molecular Weight : 1197.37
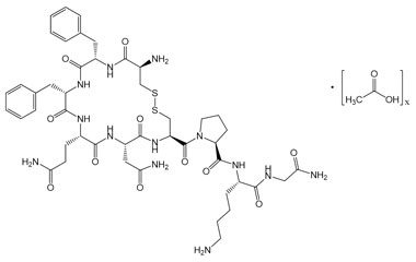
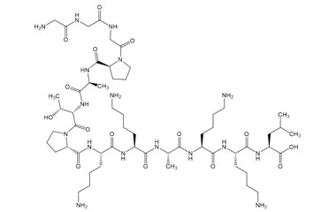
Glycylglycylglycyl-L-prolyl-L-alanyl-L-threonyl-L-prolyl-L-lysyl-L-lysyl-L-alanyl-L-lysyl-L-lysyl-L-leucine
Glycylglycylglycyl-L-prolyl-L-alanyl-L-threonyl-L-prolyl-L-lysyl-L-lysyl-L-alanyl-L-lysyl-L-lysyl-L-leucine
Catalogue No.:PA PEP 004724
CAS :
889112-06-5
Molecular Formula : C56H101N17O15
Molecular Weight : 1252.53
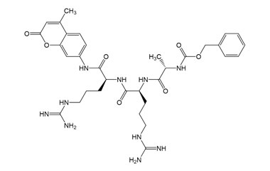
Benzyl ((S)-5-guanidino-1-(((S)-5-guanidino-1-((4-methyl-2-oxo-2H-chromen-7-yl)amino)-1-oxopentan-2-yl)amino)-1-oxopentan-2-yl)carbamate
Benzyl ((S)-5-guanidino-1-(((S)-5-guanidino-1-((4-methyl-2-oxo-2H-chromen-7-yl)amino)-1-oxopentan-2-yl)amino)-1-oxopentan-2-yl)carbamate
Catalogue No.:PA PEP 004725
CAS :
88937-61-5
Molecular Formula : C30H39N9O6
Molecular Weight : 621.7
(2S,5S,11S,14S,17S,20S,29S,32S,35S)-32-((1H-Imidazol-5-yl)methyl)-35-amino-14-(3-amino-3-oxopropyl)-17-(4-aminobutyl)-5-(carboxymethyl)-36-(1H-imidazol-5-yl)-29-isobutyl-2-isopropyl-11,20-dimethyl-4,7,10,13,16,19,22,25,28,31,34-undecaoxo-3,6,9,12,15,18,21,24,27,30,33-undecaazahexatriacontanoic Acid
(2S,5S,11S,14S,17S,20S,29S,32S,35S)-32-((1H-Imidazol-5-yl)methyl)-35-amino-14-(3-amino-3-oxopropyl)-17-(4-aminobutyl)-5-(carboxymethyl)-36-(1H-imidazol-5-yl)-29-isobutyl-2-isopropyl-11,20-dimethyl-4,7,10,13,16,19,22,25,28,31,34-undecaoxo-3,6,9,12,15,18,21,24,27,30,33-undecaazahexatriacontanoic Acid
Catalogue No.:PA PEP 004727
CAS :
89105-94-2
Molecular Formula : C50H80N18O16
Molecular Weight : 1189.3
(3S,9S,12S,15S)-15-(((S)-1-(((S)-1-Amino-3-((2,4-dinitrophenyl)amino)-1-oxopropan-2-yl)amino)-1-oxopropan-2-yl)carbamoyl)-12-(2-carboxyethyl)-3,9-diisobutyl-1-((S)-1-(2-(7-methoxy-2-oxo-2H-chromen-4-yl)acetyl)pyrrolidin-2-yl)-1,4,7,10,13-pentaoxo-2,5,8,11,14-pentaazaoctadecan-18-oic Acid
(3S,9S,12S,15S)-15-(((S)-1-(((S)-1-Amino-3-((2,4-dinitrophenyl)amino)-1-oxopropan-2-yl)amino)-1-oxopropan-2-yl)carbamoyl)-12-(2-carboxyethyl)-3,9-diisobutyl-1-((S)-1-(2-(7-methoxy-2-oxo-2H-chromen-4-yl)acetyl)pyrrolidin-2-yl)-1,4,7,10,13-pentaoxo-2,5,8,11,14-pentaazaoctadecan-18-oic Acid
Catalogue No.:PA PEP 004728
CAS :
891198-38-2
Molecular Formula : C53H70N12O20
Molecular Weight : 1195.21
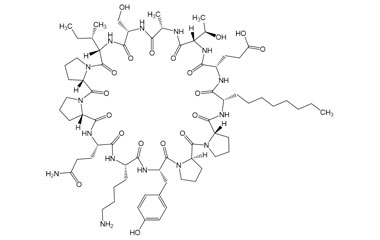
N-((2S,5S,8S,11S,14S,17S)-14-(4-Aminobutyl)-17-carbamoyl-8,11-diisobutyl-5,19-dimethyl-3,6,9,12,15-pentaoxo-1-phenyl-4,7,10,13,16-pentaazaicosan-2-yl)palmitamide
N-((2S,5S,8S,11S,14S,17S)-14-(4-Aminobutyl)-17-carbamoyl-8,11-diisobutyl-5,19-dimethyl-3,6,9,12,15-pentaoxo-1-phenyl-4,7,10,13,16-pentaazaicosan-2-yl)palmitamide
Catalogue No.:PA PEP 004732
CAS :
891498-01-4
Molecular Formula : C52H92N8O7
Molecular Weight : 941.36
(2-((S)-2-(Diallylamino)-3-(4-hydroxyphenyl)propanamido)-2-methylpropanoyl)-L-phenylalanyl-L-leucine
(2-((S)-2-(Diallylamino)-3-(4-hydroxyphenyl)propanamido)-2-methylpropanoyl)-L-phenylalanyl-L-leucine
Catalogue No.:PA PEP 004735
CAS :
89352-67-0
Molecular Formula : C34H46N4O6
Molecular Weight : 606.76
(S)-N1-((2R,5S,8R,11S,14S)-8-((1H-Indol-3-yl)methyl)-5-benzyl-14-carbamoyl-1-(1H-indol-3-yl)-11-isobutyl-3,6,9,12-tetraoxo-4,7,10,13-tetraazaoctadecan-2-yl)-2-((S)-5-amino-5-oxo-2-((R)-pyrrolidine-2-carboxamido)pentanamido)pentanediamide
(S)-N1-((2R,5S,8R,11S,14S)-8-((1H-Indol-3-yl)methyl)-5-benzyl-14-carbamoyl-1-(1H-indol-3-yl)-11-isobutyl-3,6,9,12-tetraoxo-4,7,10,13-tetraazaoctadecan-2-yl)-2-((S)-5-amino-5-oxo-2-((R)-pyrrolidine-2-carboxamido)pentanamido)pentanediamide
Catalogue No.:PA PEP 004737
CAS :
89430-34-2
Molecular Formula : C58H77N13O10
Molecular Weight : 1116.34
(S)-2-((S)-1-(L-Arginyl-L-prolyl-L-lysyl)pyrrolidine-2-carboxamido)-N1-((S)-5-amino-1-(((R)-1-(((S)-1-(((R)-1-(((R)-1-(((S)-1-amino-4-(methylthio)-1-oxobutan-2-yl)amino)-3-(1H-indol-3-yl)-1-oxopropan-2-yl)amino)-3-(1H-indol-3-yl)-1-oxopropan-2-yl)amino)-1-oxo-3-phenylpropan-2-yl)amino)-3-(1H-indol-3-yl)-1-oxopropan-2-yl)amino)-1,5-dioxopentan-2-yl)pentanediamide
(S)-2-((S)-1-(L-Arginyl-L-prolyl-L-lysyl)pyrrolidine-2-carboxamido)-N1-((S)-5-amino-1-(((R)-1-(((S)-1-(((R)-1-(((R)-1-(((S)-1-amino-4-(methylthio)-1-oxobutan-2-yl)amino)-3-(1H-indol-3-yl)-1-oxopropan-2-yl)amino)-3-(1H-indol-3-yl)-1-oxopropan-2-yl)amino)-1-oxo-3-phenylpropan-2-yl)amino)-3-(1H-indol-3-yl)-1-oxopropan-2-yl)amino)-1,5-dioxopentan-2-yl)pentanediamide
Catalogue No.:PA PEP 004739
CAS :
89430-38-6
Molecular Formula : C79H105N21O13S
Molecular Weight : 1588.9
(5S,8S,11S,14S,17S,20S,23S)-23-((S)-5-Amino-2-((S)-2-(2-aminoacetamido)-3-phenylpropanamido)-5-oxopentanamido)-8-benzyl-1-((S)-2-(((S)-1-carboxy-2-methylpropyl)carbamoyl)pyrrolidin-1-yl)-11,14-bis(3-guanidinopropyl)-5,17-bis(4-hydroxybenzyl)-20-methyl-1,4,7,10,13,16,19,22-octaoxo-3,6,9,12,15,18,21-heptaazahexacosan-26-oic Acid
(5S,8S,11S,14S,17S,20S,23S)-23-((S)-5-Amino-2-((S)-2-(2-aminoacetamido)-3-phenylpropanamido)-5-oxopentanamido)-8-benzyl-1-((S)-2-(((S)-1-carboxy-2-methylpropyl)carbamoyl)pyrrolidin-1-yl)-11,14-bis(3-guanidinopropyl)-5,17-bis(4-hydroxybenzyl)-20-methyl-1,4,7,10,13,16,19,22-octaoxo-3,6,9,12,15,18,21-heptaazahexacosan-26-oic Acid
Catalogue No.:PA PEP 004740
CAS :
89458-24-2
Molecular Formula : C75H104N20O19
Molecular Weight : 1589.78
(5S,8S,14S,17S,20S)-8-((1H-Indol-3-yl)methyl)-20-acetamido-5-carbamoyl-17-(4-hydroxybenzyl)-14-(2-(methylthio)ethyl)-7,10,13,16,19-pentaoxo-2-thia-6,9,12,15,18-pentaazadocosan-22-oic Acid
(5S,8S,14S,17S,20S)-8-((1H-Indol-3-yl)methyl)-20-acetamido-5-carbamoyl-17-(4-hydroxybenzyl)-14-(2-(methylthio)ethyl)-7,10,13,16,19-pentaoxo-2-thia-6,9,12,15,18-pentaazadocosan-22-oic Acid
Catalogue No.:PA PEP 004747
CAS :
89911-64-8
Molecular Formula : C38H50N8O10S2
Molecular Weight : 842.98
(5S,8S,14S,17S,20S)-8-((1H-Indol-3-yl)methyl)-20-acetamido-5-carbamoyl-14-(2-(methylthio)ethyl)-7,10,13,16,19-pentaoxo-17-(4-(sulfooxy)benzyl)-2-thia-6,9,12,15,18-pentaazadocosan-22-oic Acid
(5S,8S,14S,17S,20S)-8-((1H-Indol-3-yl)methyl)-20-acetamido-5-carbamoyl-14-(2-(methylthio)ethyl)-7,10,13,16,19-pentaoxo-17-(4-(sulfooxy)benzyl)-2-thia-6,9,12,15,18-pentaazadocosan-22-oic Acid
Catalogue No.:PA PEP 004748
CAS :
89911-65-9
Molecular Formula : C38H50N8O13S3
Molecular Weight : 923.04
(2S,8S,11S,14S)-2-((1H-Indol-3-yl)methyl)-14-acetamido-1-amino-8-(2-(methylthio)ethyl)-1,4,7,10,13-pentaoxo-11-(4-(sulfooxy)benzyl)-3,6,9,12-tetraazahexadecan-16-oic Acid
(2S,8S,11S,14S)-2-((1H-Indol-3-yl)methyl)-14-acetamido-1-amino-8-(2-(methylthio)ethyl)-1,4,7,10,13-pentaoxo-11-(4-(sulfooxy)benzyl)-3,6,9,12-tetraazahexadecan-16-oic Acid
Catalogue No.:PA PEP 004749
CAS :
89911-69-3
Molecular Formula : C33H41N7O12S2
Molecular Weight : 791.85
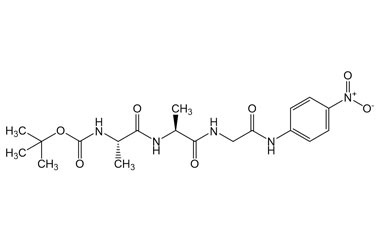
tert-Butyl ((S)-1-(((S)-1-((2-((4-nitrophenyl)amino)-2-oxoethyl)amino)-1-oxopropan-2-yl)amino)-1-oxopropan-2-yl)carbamate
tert-Butyl ((S)-1-(((S)-1-((2-((4-nitrophenyl)amino)-2-oxoethyl)amino)-1-oxopropan-2-yl)amino)-1-oxopropan-2-yl)carbamate
Catalogue No.:PA PEP 004750
CAS :
90037-94-8
Molecular Formula : C19H27N5O7
Molecular Weight : 437.45
(9S,12S,15S,18S,21R,26R,29S,32S,35S,38S,43aS)-26-Amino-15-(3-guanidinopropyl)-9-(4-hydroxybenzyl)-29-((R)-1-hydroxyethyl)-38-isobutyl-12,18,32-triisopropyl-35-methyl-1,4,7,10,13,16,19,27,30,33,36,39-dodecaoxotetracontahydro-25H-pyrrolo[2,1-y][1,2]dithia[5,8,11,14,17,20,23,26,29,32,35,38]dodecaazacyclohentetracontine-21-carboxylic Acid
(9S,12S,15S,18S,21R,26R,29S,32S,35S,38S,43aS)-26-Amino-15-(3-guanidinopropyl)-9-(4-hydroxybenzyl)-29-((R)-1-hydroxyethyl)-38-isobutyl-12,18,32-triisopropyl-35-methyl-1,4,7,10,13,16,19,27,30,33,36,39-dodecaoxotetracontahydro-25H-pyrrolo[2,1-y][1,2]dithia[5,8,11,14,17,20,23,26,29,32,35,38]dodecaazacyclohentetracontine-21-carboxylic Acid
Catalogue No.:PA PEP 004751
CAS :
900518-62-9
Molecular Formula : C58H94N16O16S2
Molecular Weight : 1335.61
(S)-1-(L-Alanyl-L-alanyl)-N-((S)-1-chloro-4-methyl-2-oxopentan-3-yl)pyrrolidine-2-carboxamide
(S)-1-(L-Alanyl-L-alanyl)-N-((S)-1-chloro-4-methyl-2-oxopentan-3-yl)pyrrolidine-2-carboxamide
Catalogue No.:PA PEP 004753
CAS :
90105-47-8
Molecular Formula : C17H29ClN4O4
Molecular Weight : 388.89
L-Alanyl-L-threonyl-L-lysyl-L-valyl-L-lysyl-L-alanyl-L-lysyl-L-glutaminyl-L-arginylglycyl-L-lysyl-L-α-glutamyl-L-lysyl-L-valyl-L-seryl-L-serylglycyl-L-arginyl-L-prolylglycyl-L-glutaminyl-L-histidyl-L-asparagine
L-Alanyl-L-threonyl-L-lysyl-L-valyl-L-lysyl-L-alanyl-L-lysyl-L-glutaminyl-L-arginylglycyl-L-lysyl-L-α-glutamyl-L-lysyl-L-valyl-L-seryl-L-serylglycyl-L-arginyl-L-prolylglycyl-L-glutaminyl-L-histidyl-L-asparagine
Catalogue No.:PA PEP 004755
CAS :
902781-11-7
Molecular Formula : C104H183N39O32
Molecular Weight : 2491.85
(2S,5S,8S,11S,14S)-11-Benzyl-5-(3-guanidinopropyl)-14-((2S,3R)-3-hydroxy-2-((S)-pyrrolidine-2-carboxamido)butanamido)-2-isobutyl-8-(4-nitrobenzyl)-4,7,10,13-tetraoxo-3,6,9,12-tetraazaheptadecanedioic Acid
(2S,5S,8S,11S,14S)-11-Benzyl-5-(3-guanidinopropyl)-14-((2S,3R)-3-hydroxy-2-((S)-pyrrolidine-2-carboxamido)butanamido)-2-isobutyl-8-(4-nitrobenzyl)-4,7,10,13-tetraoxo-3,6,9,12-tetraazaheptadecanedioic Acid
Catalogue No.:PA PEP 004757
CAS :
90331-82-1
Molecular Formula : C44H63N11O13
Molecular Weight : 954.05
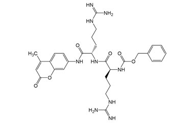
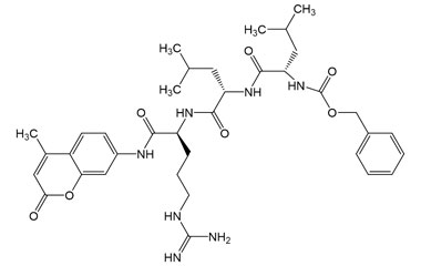
Benzyl ((S)-1-(((S)-1-(((S)-5-guanidino-1-((4-methyl-2-oxo-2H-chromen-7-yl)amino)-1-oxopentan-2-yl)amino)-4-methyl-1-oxopentan-2-yl)amino)-4-methyl-1-oxopentan-2-yl)carbamate
Benzyl ((S)-1-(((S)-1-(((S)-5-guanidino-1-((4-methyl-2-oxo-2H-chromen-7-yl)amino)-1-oxopentan-2-yl)amino)-4-methyl-1-oxopentan-2-yl)amino)-4-methyl-1-oxopentan-2-yl)carbamate
Catalogue No.:PA PEP 004759
CAS :
90468-17-0
Molecular Formula : C36H49N7O7
Molecular Weight : 691.83
Benzyl ((S)-1-(((S)-5-guanidino-1-(((S)-5-guanidino-1-((4-methyl-2-oxo-2H-chromen-7-yl)amino)-1-oxopentan-2-yl)amino)-1-oxopentan-2-yl)amino)-1-oxopropan-2-yl)carbamate
Benzyl ((S)-1-(((S)-5-guanidino-1-(((S)-5-guanidino-1-((4-methyl-2-oxo-2H-chromen-7-yl)amino)-1-oxopentan-2-yl)amino)-1-oxopentan-2-yl)amino)-1-oxopropan-2-yl)carbamate
Catalogue No.:PA PEP 004760
CAS :
90468-18-1
Molecular Formula : C33H44N10O7
Molecular Weight : 692.78
(3S,6S,9S,15S)-3-(((4R,7S,10S,13S,16S,19R)-13-((1H-Indol-3-yl)methyl)-10-(4-aminobutyl)-16-benzyl-4-(((S)-1-carboxy-2-methylpropyl)carbamoyl)-7-(4-hydroxybenzyl)-6,9,12,15,18-pentaoxo-1,2-dithia-5,8,11,14,17-pentaazacycloicosan-19-yl)carbamoyl)-15-amino-9-((R)-1-hydroxyethyl)-6-methyl-5,8,11,14-tetraoxo-4,7,10,13-tetraazahexadecanoic Acid
(3S,6S,9S,15S)-3-(((4R,7S,10S,13S,16S,19R)-13-((1H-Indol-3-yl)methyl)-10-(4-aminobutyl)-16-benzyl-4-(((S)-1-carboxy-2-methylpropyl)carbamoyl)-7-(4-hydroxybenzyl)-6,9,12,15,18-pentaoxo-1,2-dithia-5,8,11,14,17-pentaazacycloicosan-19-yl)carbamoyl)-15-amino-9-((R)-1-hydroxyethyl)-6-methyl-5,8,11,14-tetraoxo-4,7,10,13-tetraazahexadecanoic Acid
Catalogue No.:PA PEP 004761
CAS :
9047-55-6
Molecular Formula : C62H84N14O17S2
Molecular Weight : 1361.56
(4S,7S,10S,13S)-10-(3-Amino-3-oxopropyl)-4-(carboxymethyl)-7-(2-(methylthio)ethyl)-13-((4-nitrophenyl)carbamoyl)-2,5,8,11-tetraoxo-3,6,9,12-tetraazapentadecan-15-oic Acid
(4S,7S,10S,13S)-10-(3-Amino-3-oxopropyl)-4-(carboxymethyl)-7-(2-(methylthio)ethyl)-13-((4-nitrophenyl)carbamoyl)-2,5,8,11-tetraoxo-3,6,9,12-tetraazapentadecan-15-oic Acid
Catalogue No.:PA PEP 004769
CAS :
907589-02-0
Molecular Formula : C26H35N7O12S
Molecular Weight : 669.66
Tetradecanoyl-L-arginyl-L-leucyl-L-tyrosyl-L-arginyl-L-lysyl-L-arginyl-L-isoleucyl-L-tryptophyl-L-arginyl-L-seryl-L-alanylglycyl-L-arginine
Tetradecanoyl-L-arginyl-L-leucyl-L-tyrosyl-L-arginyl-L-lysyl-L-arginyl-L-isoleucyl-L-tryptophyl-L-arginyl-L-seryl-L-alanylglycyl-L-arginine
Catalogue No.:PA PEP 004772
CAS :
908012-18-0
Molecular Formula : C90H154N30O17
Molecular Weight : 1928.42
Tetradecanoyl-L-threonyl-L-arginyl-L-lysyl-L-arginyl-L-glutaminyl-L-arginyl-L-alanyl-L-methionyl-L-arginyl-L-arginyl-L-arginyl-L-valyl-L-histidyl-L-glutaminyl-L-isoleucyl-L-asparaginylglycine
Tetradecanoyl-L-threonyl-L-arginyl-L-lysyl-L-arginyl-L-glutaminyl-L-arginyl-L-alanyl-L-methionyl-L-arginyl-L-arginyl-L-arginyl-L-valyl-L-histidyl-L-glutaminyl-L-isoleucyl-L-asparaginylglycine
Catalogue No.:PA PEP 004773
CAS :
908012-19-1
Molecular Formula : C101H185N41O23S
Molecular Weight : 2373.92
(S)-3-(Na-(((9H-Fluoren-9-yl)methoxy)carbonyl)-1-(tert-butoxycarbonyl)-L-tryptophyl)-2,2-dimethyloxazolidine-5-carboxylic Acid
(S)-3-(Na-(((9H-Fluoren-9-yl)methoxy)carbonyl)-1-(tert-butoxycarbonyl)-L-tryptophyl)-2,2-dimethyloxazolidine-5-carboxylic Acid
Catalogue No.:PA PEP 004775
CAS :
908601-15-0
Molecular Formula : C37H39N3O8
Molecular Weight : 653.73
L-Tryptophyl-L-threonyl-L-leucyl-L-asparaginyl-L-seryl-L-alanylglycyl-L-tyrosyl-L-leucyl-L-leucylglycyl-L-prolyl-L-α-glutamyl-L-histidyl-L-prolyl-L-prolyl-L-prolyl-L-alanyl-L-leucyl-L-alanyl-L-leucyl-L-alaninamide
L-Tryptophyl-L-threonyl-L-leucyl-L-asparaginyl-L-seryl-L-alanylglycyl-L-tyrosyl-L-leucyl-L-leucylglycyl-L-prolyl-L-α-glutamyl-L-histidyl-L-prolyl-L-prolyl-L-prolyl-L-alanyl-L-leucyl-L-alanyl-L-leucyl-L-alaninamide
Catalogue No.:PA PEP 004778
CAS :
908844-75-7
Molecular Formula : C108H163N27O28
Molecular Weight : 2287.65
(S)-3-((S)-2-((((9H-Fluoren-9-yl)methoxy)carbonyl)amino)-5-(tert-butoxy)-5-oxopentanoyl)-2,2-dimethyloxazolidine-4-carboxylic Acid
(S)-3-((S)-2-((((9H-Fluoren-9-yl)methoxy)carbonyl)amino)-5-(tert-butoxy)-5-oxopentanoyl)-2,2-dimethyloxazolidine-4-carboxylic Acid
Catalogue No.:PA PEP 004779
CAS :
909115-33-9
Molecular Formula : C30H36N2O8
Molecular Weight : 552.62
(S)-4-(5-((R)-1,2-Dithiolan-3-yl)pentanamido)-5-(((S)-1-carboxyethyl)amino)-5-oxopentanoic Acid
(S)-4-(5-((R)-1,2-Dithiolan-3-yl)pentanamido)-5-(((S)-1-carboxyethyl)amino)-5-oxopentanoic Acid
Catalogue No.:PA PEP 004782
CAS :
910627-26-8
Molecular Formula : C16H26N2O6S2
Molecular Weight : 406.51
L-Glutaminyl-L-lysyl-L-arginyl-L-prolyl-L-arginyl-L-arginyl-L-lysyl-L-aspartyl-L-threonyl-L-proline
L-Glutaminyl-L-lysyl-L-arginyl-L-prolyl-L-arginyl-L-arginyl-L-lysyl-L-aspartyl-L-threonyl-L-proline
Catalogue No.:PA PEP 004783
CAS :
910804-03-4
Molecular Formula : C53H96N22O15
Molecular Weight : 1281.49
(S)-N-(2-Amino-2-oxoethyl)-1-(((S)-5-oxopyrrolidine-2-carbonyl)-L-histidyl-L-tryptophyl-L-seryl-L-histidylglycyl-L-tryptophyl-L-tyrosyl)pyrrolidine-2-carboxamide
(S)-N-(2-Amino-2-oxoethyl)-1-(((S)-5-oxopyrrolidine-2-carbonyl)-L-histidyl-L-tryptophyl-L-seryl-L-histidylglycyl-L-tryptophyl-L-tyrosyl)pyrrolidine-2-carboxamide
Catalogue No.:PA PEP 004784
CAS :
91097-16-4
Molecular Formula : C60H69N17O13
Molecular Weight : 1236.32
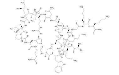
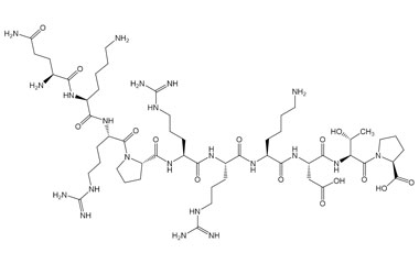
(S)-3-((S)-1-(L-Arginyl-L-lysyl-L-valyl-L-prolyl-L-asparaginylglycyl)pyrrolidine-2-carboxamido)-4-((S)-2-(((2S,3S)-1-(((S)-1-(((S)-3-amino-1-carboxy-3-oxopropyl)amino)-3-(1H-imidazol-5-yl)-1-oxopropan-2-yl)amino)-3-methyl-1-oxopentan-2-yl)carbamoyl)pyrrolidin-1-yl)-4-oxobutanoic Acid
(S)-3-((S)-1-(L-Arginyl-L-lysyl-L-valyl-L-prolyl-L-asparaginylglycyl)pyrrolidine-2-carboxamido)-4-((S)-2-(((2S,3S)-1-(((S)-1-(((S)-3-amino-1-carboxy-3-oxopropyl)amino)-3-(1H-imidazol-5-yl)-1-oxopropan-2-yl)amino)-3-methyl-1-oxopentan-2-yl)carbamoyl)pyrrolidin-1-yl)-4-oxobutanoic Acid
Catalogue No.:PA PEP 004785
CAS :
911319-15-8
Molecular Formula : C58H94N20O17
Molecular Weight : 1343.51
(4S,5R)-3-(N2-(((9H-Fluoren-9-yl)methoxy)carbonyl)-N6-(tert-butoxycarbonyl)-L-lysyl)-2,2,5-trimethyloxazolidine-4-carboxylic Acid
(4S,5R)-3-(N2-(((9H-Fluoren-9-yl)methoxy)carbonyl)-N6-(tert-butoxycarbonyl)-L-lysyl)-2,2,5-trimethyloxazolidine-4-carboxylic Acid
Catalogue No.:PA PEP 004730
CAS :
911838-56-7
Molecular Formula : C33H43N3O8
Molecular Weight : 609.72
(S)-3-((S)-2-((S)-1-(L-Leucyl)pyrrolidine-2-carboxamido)-3-phenylpropanamido)-4-(((S)-6-amino-1-(((2S,3R)-1-(((2S,3R)-1-(((S)-1-(((S)-1-carboxy-3-(methylthio)propyl)amino)-3-methyl-1-oxobutan-2-yl)amino)-3-hydroxy-1-oxobutan-2-yl)amino)-3-hydroxy-1-oxobutan-2-yl)amino)-1-oxohexan-2-yl)amino)-4-oxobutanoic Acid
(S)-3-((S)-2-((S)-1-(L-Leucyl)pyrrolidine-2-carboxamido)-3-phenylpropanamido)-4-(((S)-6-amino-1-(((2S,3R)-1-(((2S,3R)-1-(((S)-1-(((S)-1-carboxy-3-(methylthio)propyl)amino)-3-methyl-1-oxobutan-2-yl)amino)-3-hydroxy-1-oxobutan-2-yl)amino)-3-hydroxy-1-oxobutan-2-yl)amino)-1-oxohexan-2-yl)amino)-4-oxobutanoic Acid
Catalogue No.:PA PEP 004790
CAS :
913545-15-0
Molecular Formula : C48H78N10O14S
Molecular Weight : 1051.27
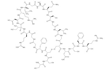
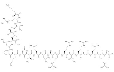
Glycyl-L-lysyl-L-α-glutamyl-L-phenylalanyl-L-lysyl-L-arginyl-L-isoleucyl-L-valyl-L-glutaminyl-L-arginyl-L-isoleucyl-L-lysyl-L-α-aspartyl-L-phenylalanyl-L-leucyl-L-arginyl-L-asparaginyl-L-leucyl-L-valyl-L-prolyl-L-arginine
Glycyl-L-lysyl-L-α-glutamyl-L-phenylalanyl-L-lysyl-L-arginyl-L-isoleucyl-L-valyl-L-glutaminyl-L-arginyl-L-isoleucyl-L-lysyl-L-α-aspartyl-L-phenylalanyl-L-leucyl-L-arginyl-L-asparaginyl-L-leucyl-L-valyl-L-prolyl-L-arginine
Catalogue No.:PA PEP 004791
CAS :
913736-92-2
Molecular Formula : C119H202N38O28
Molecular Weight : 2613.16
(S)-4-((2S,3R)-2-((S)-2-((S)-1-(L-Phenylalanyl-L-lysyl-L-arginyl-L-isoleucyl-L-valyl-L-glutaminyl-L-arginyl-L-isoleucyl-L-lysyl-L-aspartyl-L-phenylalanyl-L-leucyl-L-arginyl-L-asparaginyl-L-leucyl-L-valyl)pyrrolidine-2-carboxamido)-5-guanidinopentanamido)-3-hydroxybutanamido)-5-(((S)-1-carboxy-2-hydroxyethyl)amino)-5-oxopentanoic Acid
(S)-4-((2S,3R)-2-((S)-2-((S)-1-(L-Phenylalanyl-L-lysyl-L-arginyl-L-isoleucyl-L-valyl-L-glutaminyl-L-arginyl-L-isoleucyl-L-lysyl-L-aspartyl-L-phenylalanyl-L-leucyl-L-arginyl-L-asparaginyl-L-leucyl-L-valyl)pyrrolidine-2-carboxamido)-5-guanidinopentanamido)-3-hydroxybutanamido)-5-(((S)-1-carboxy-2-hydroxyethyl)amino)-5-oxopentanoic Acid
Catalogue No.:PA PEP 004792
CAS :
913736-94-4
Molecular Formula : C118H199N37O30
Molecular Weight : 2616.12
L-Alanyl-L-arginyl-L-arginyl-L-lysyl-L-arginyl-L-lysylglycyl-L-seryl-L-phenylalanyl-L-phenylalanyl-L-tyrosylglycylglycine
L-Alanyl-L-arginyl-L-arginyl-L-lysyl-L-arginyl-L-lysylglycyl-L-seryl-L-phenylalanyl-L-phenylalanyl-L-tyrosylglycylglycine
Catalogue No.:PA PEP 004803
CAS :
915155-20-3
Molecular Formula : C69H108N24O16
Molecular Weight : 1529.78
(S)-3-(2-((S)-2-(2-Aminoacetamido)-5-guanidinopentanamido)acetamido)-4-(((S)-1-((S)-2-(((R)-1-carboxy-2-mercaptoethyl)carbamoyl)pyrrolidin-1-yl)-3-hydroxy-1-oxopropan-2-yl)amino)-4-oxobutanoic Acid
(S)-3-(2-((S)-2-(2-Aminoacetamido)-5-guanidinopentanamido)acetamido)-4-(((S)-1-((S)-2-(((R)-1-carboxy-2-mercaptoethyl)carbamoyl)pyrrolidin-1-yl)-3-hydroxy-1-oxopropan-2-yl)amino)-4-oxobutanoic Acid
Catalogue No.:PA PEP 004805
CAS :
91575-26-7
Molecular Formula : C25H42N10O11S
Molecular Weight : 690.73
(2S,5S,8S,14S,17S,20S,23S)-8-(2-Amino-2-oxoethyl)-23-((S)-2-amino-4-methylpentanamido)-14,17-bis(4-aminobutyl)-20-(2-carboxyethyl)-5-(4-hydroxybenzyl)-2-isopropyl-4,7,10,13,16,19,22-heptaoxo-3,6,9,12,15,18,21-heptaazahexacosanedioic Acid
(2S,5S,8S,14S,17S,20S,23S)-8-(2-Amino-2-oxoethyl)-23-((S)-2-amino-4-methylpentanamido)-14,17-bis(4-aminobutyl)-20-(2-carboxyethyl)-5-(4-hydroxybenzyl)-2-isopropyl-4,7,10,13,16,19,22-heptaoxo-3,6,9,12,15,18,21-heptaazahexacosanedioic Acid
Catalogue No.:PA PEP 004806
CAS :
916850-24-3
Molecular Formula : C48H78N12O16
Molecular Weight : 1079.22
(S)-4-((2S,3R)-2-((S)-1-(L-Valyl-L-aspartyl-L-cysteinyl-L-phenylalanyl-L-leucyl-L-seryl-L-arginyl)pyrrolidine-2-carboxamido)-3-hydroxybutanamido)-5-(((S)-6-amino-1-(((1S,2R)-1-carboxy-2-hydroxypropyl)amino)-1-oxohexan-2-yl)amino)-5-oxopentanoic Acid
(S)-4-((2S,3R)-2-((S)-1-(L-Valyl-L-aspartyl-L-cysteinyl-L-phenylalanyl-L-leucyl-L-seryl-L-arginyl)pyrrolidine-2-carboxamido)-3-hydroxybutanamido)-5-(((S)-6-amino-1-(((1S,2R)-1-carboxy-2-hydroxypropyl)amino)-1-oxohexan-2-yl)amino)-5-oxopentanoic Acid
Catalogue No.:PA PEP 004807
CAS :
916977-43-0
Molecular Formula : C60H98N16O20S
Molecular Weight : 1395.6
L-Lysyl-L-leucyl-L-threonyl-L-tryptophyl-L-glutaminyl-L-α-glutamyl-L-leucyl-L-tyrosyl-L-glutaminyl-L-leucyl-L-lysyl-L-tyrosyl-L-lysylglycyl-L-isoleucine
L-Lysyl-L-leucyl-L-threonyl-L-tryptophyl-L-glutaminyl-L-α-glutamyl-L-leucyl-L-tyrosyl-L-glutaminyl-L-leucyl-L-lysyl-L-tyrosyl-L-lysylglycyl-L-isoleucine
Catalogue No.:PA PEP 004810
CAS :
917760-16-8
Molecular Formula : C92H143N21O23
Molecular Weight : 1911.28
L-Tryptophyl-L-tyrosyl-L-prolyl-L-tryptophyl-L-methionyl-L-lysyl-L-lysyl-L-histidyl-L-histidyl-L-arginyl-L-arginyl-L-arginyl-L-arginyl-L-arginyl-L-arginyl-L-arginyl-L-arginyl-L-arginine
L-Tryptophyl-L-tyrosyl-L-prolyl-L-tryptophyl-L-methionyl-L-lysyl-L-lysyl-L-histidyl-L-histidyl-L-arginyl-L-arginyl-L-arginyl-L-arginyl-L-arginyl-L-arginyl-L-arginyl-L-arginyl-L-arginine
Catalogue No.:PA PEP 004811
CAS :
917953-08-3
Molecular Formula : C119H193N53O20S
Molecular Weight : 2718.26
L-Alanyl-L-cysteinyl-L-seryl-L-seryl-L-seryl-L-prolyl-L-seryl-L-lysyl-L-histidyl-L-cysteinylglycine
L-Alanyl-L-cysteinyl-L-seryl-L-seryl-L-seryl-L-prolyl-L-seryl-L-lysyl-L-histidyl-L-cysteinylglycine
Catalogue No.:PA PEP 004814
CAS :
918629-48-8
Molecular Formula : C40H66N14O16S2
Molecular Weight : 1063.17
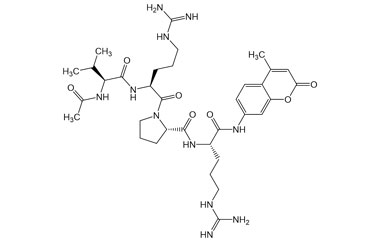
(S)-1-(Acetyl-L-valyl-L-arginyl)-N-((S)-5-guanidino-1-((4-methyl-2-oxo-2H-chromen-7-yl)amino)-1-oxopentan-2-yl)pyrrolidine-2-carboxamide
(S)-1-(Acetyl-L-valyl-L-arginyl)-N-((S)-5-guanidino-1-((4-methyl-2-oxo-2H-chromen-7-yl)amino)-1-oxopentan-2-yl)pyrrolidine-2-carboxamide
Catalogue No.:PA PEP 004815
CAS :
919515-51-8
Molecular Formula : C34H51N11O7
Molecular Weight : 725.85
(S)-3-((S)-2-((S)-1-(L-Cysteinyl-L-tyrosyl)pyrrolidine-2-carboxamido)-3-(4-hydroxyphenyl)propanamido)-4-(((S)-1-((S)-2-(((S)-3-carboxy-1-(((S)-1-(((S)-1-carboxyethyl)amino)-3-(4-hydroxyphenyl)-1-oxopropan-2-yl)amino)-1-oxopropan-2-yl)carbamoyl)pyrrolidin-1-yl)-3-methyl-1-oxobutan-2-yl)amino)-4-oxobutanoic Acid
(S)-3-((S)-2-((S)-1-(L-Cysteinyl-L-tyrosyl)pyrrolidine-2-carboxamido)-3-(4-hydroxyphenyl)propanamido)-4-(((S)-1-((S)-2-(((S)-3-carboxy-1-(((S)-1-(((S)-1-carboxyethyl)amino)-3-(4-hydroxyphenyl)-1-oxopropan-2-yl)amino)-1-oxopropan-2-yl)carbamoyl)pyrrolidin-1-yl)-3-methyl-1-oxobutan-2-yl)amino)-4-oxobutanoic Acid
Catalogue No.:PA PEP 004816
CAS :
92000-72-1
Molecular Formula : C56H72N10O18S
Molecular Weight : 1205.3
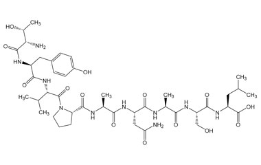
(S)-3-((S)-2-((S)-1-(L-Tyrosyl)pyrrolidine-2-carboxamido)-3-(4-hydroxyphenyl)propanamido)-4-(((S)-1-((S)-2-(((S)-3-carboxy-1-(((S)-1-(((S)-1-carboxyethyl)amino)-3-(4-hydroxyphenyl)-1-oxopropan-2-yl)amino)-1-oxopropan-2-yl)carbamoyl)pyrrolidin-1-yl)-3-methyl-1-oxobutan-2-yl)amino)-4-oxobutanoic Acid
(S)-3-((S)-2-((S)-1-(L-Tyrosyl)pyrrolidine-2-carboxamido)-3-(4-hydroxyphenyl)propanamido)-4-(((S)-1-((S)-2-(((S)-3-carboxy-1-(((S)-1-(((S)-1-carboxyethyl)amino)-3-(4-hydroxyphenyl)-1-oxopropan-2-yl)amino)-1-oxopropan-2-yl)carbamoyl)pyrrolidin-1-yl)-3-methyl-1-oxobutan-2-yl)amino)-4-oxobutanoic Acid
Catalogue No.:PA PEP 004817
CAS :
92000-76-5
Molecular Formula : C53H67N9O17
Molecular Weight : 1102.17
(4S,5R)-3-((S)-2-((((9H-Fluoren-9-yl)methoxy)carbonyl)amino)-3-(4-(tert-butoxy)phenyl)propanoyl)-2,2,5-trimethyloxazolidine-4-carboxylic Acid
(4S,5R)-3-((S)-2-((((9H-Fluoren-9-yl)methoxy)carbonyl)amino)-3-(4-(tert-butoxy)phenyl)propanoyl)-2,2,5-trimethyloxazolidine-4-carboxylic Acid
Catalogue No.:PA PEP 004818
CAS :
920519-31-9
Molecular Formula : C35H40N2O7
Molecular Weight : 600.71
(4S,5R)-3-((S)-2-((((9H-Fluoren-9-yl)methoxy)carbonyl)amino)-4-(tert-butoxy)-4-oxobutanoyl)-2,2,5-trimethyloxazolidine-4-carboxylic Acid
(4S,5R)-3-((S)-2-((((9H-Fluoren-9-yl)methoxy)carbonyl)amino)-4-(tert-butoxy)-4-oxobutanoyl)-2,2,5-trimethyloxazolidine-4-carboxylic Acid
Catalogue No.:PA PEP 004819
CAS :
920519-32-0
Molecular Formula : C30H36N2O8
Molecular Weight : 552.62
(S)-3-(N2-(((9H-Fluoren-9-yl)methoxy)carbonyl)-N4-trityl-L-asparaginyl)-2,2-dimethyloxazolidine-4-carboxylic Acid
(S)-3-(N2-(((9H-Fluoren-9-yl)methoxy)carbonyl)-N4-trityl-L-asparaginyl)-2,2-dimethyloxazolidine-4-carboxylic Acid
Catalogue No.:PA PEP 004820
CAS :
920519-33-1
Molecular Formula : C44H41N3O7
Molecular Weight : 723.83
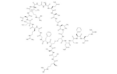
L-α-Aspartyl-L-tyrosyl-L-lysyl-L-α-aspartyl-L-α-aspartyl-L-α-aspartyl-L-α-aspartyl-L-lysyl-L-α-aspartyl-L-tyrosyl-L-lysyl-L-α-aspartyl-L-α-aspartyl-L-α-aspartyl-L-α-aspartyl-L-lysyl-L-α-aspartyl-L-tyrosyl-L-lysyl-L-α-aspartyl-L-α-aspartyl-L-α-aspartyl-L-α-aspartyl-L-lysine
L-α-Aspartyl-L-tyrosyl-L-lysyl-L-α-aspartyl-L-α-aspartyl-L-α-aspartyl-L-α-aspartyl-L-lysyl-L-α-aspartyl-L-tyrosyl-L-lysyl-L-α-aspartyl-L-α-aspartyl-L-α-aspartyl-L-α-aspartyl-L-lysyl-L-α-aspartyl-L-tyrosyl-L-lysyl-L-α-aspartyl-L-α-aspartyl-L-α-aspartyl-L-α-aspartyl-L-lysine
Catalogue No.:PA PEP 004823
CAS :
921765-76-6
Molecular Formula : C123H176N30O58
Molecular Weight : 3002.91
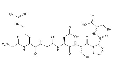
(4S,7S,10S,13S)-10-((1H-Imidazol-5-yl)methyl)-7-(2-carboxyethyl)-4-isobutyl-13-((4-nitrophenyl)carbamoyl)-2,5,8,11-tetraoxo-3,6,9,12-tetraazapentadecan-15-oic Acid
(4S,7S,10S,13S)-10-((1H-Imidazol-5-yl)methyl)-7-(2-carboxyethyl)-4-isobutyl-13-((4-nitrophenyl)carbamoyl)-2,5,8,11-tetraoxo-3,6,9,12-tetraazapentadecan-15-oic Acid
Catalogue No.:PA PEP 004824
CAS :
921771-40-6
Molecular Formula : C29H38N8O11
Molecular Weight : 674.67
2-((2S,5R,8S,11S)-8-(4-((2S,3R,4R,5R,6S)-6-(Aminomethyl)-3,4,5-trihydroxytetrahydro-2H-pyran-2-carboxamido)butyl)-5-benzyl-11-(3-guanidinopropyl)-3,6,9,12,15-pentaoxo-1,4,7,10,13-pentaazacyclopentadecan-2-yl)acetic Acid
2-((2S,5R,8S,11S)-8-(4-((2S,3R,4R,5R,6S)-6-(Aminomethyl)-3,4,5-trihydroxytetrahydro-2H-pyran-2-carboxamido)butyl)-5-benzyl-11-(3-guanidinopropyl)-3,6,9,12,15-pentaoxo-1,4,7,10,13-pentaazacyclopentadecan-2-yl)acetic Acid
Catalogue No.:PA PEP 004825
CAS :
922175-70-0
Molecular Formula : C34H52N10O12
Molecular Weight : 792.85
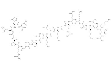
L-Threonyl-L-leucyl-L-glutaminyl-L-prolyl-L-prolyl-L-alanyl-L-seryl-L-seryl-L-arginyl-L-arginyl-L-arginyl-L-histidyl-L-phenylalanyl-L-histidyl-L-histidyl-L-alanyl-L-leucyl-L-prolyl-L-prolyl-L-alanyl-L-arginyl-L-histidyl-L-histidyl-L-prolyl-L-α-aspartyl-L-leucyl-L-α-glutamyl-L-alanyl-L-glutaminyl-L-alanine
L-Threonyl-L-leucyl-L-glutaminyl-L-prolyl-L-prolyl-L-alanyl-L-seryl-L-seryl-L-arginyl-L-arginyl-L-arginyl-L-histidyl-L-phenylalanyl-L-histidyl-L-histidyl-L-alanyl-L-leucyl-L-prolyl-L-prolyl-L-alanyl-L-arginyl-L-histidyl-L-histidyl-L-prolyl-L-α-aspartyl-L-leucyl-L-α-glutamyl-L-alanyl-L-glutaminyl-L-alanine
Catalogue No.:PA PEP 004826
CAS :
922704-13-0
Molecular Formula : C150H232N54O40
Molecular Weight : 3431.84
(S)-3-((S)-2-(2-((S)-2-((S)-2-((S)-1-(L-Cysteinylglycyl-L-lysyl-L-prolyl-L-isoleucyl-L-prolyl-L-asparaginyl)pyrrolidine-2-carboxamido)-4-methylpentanamido)-4-methylpentanamido)acetamido)-4-methylpentanamido)-4-(((S)-1-(((1S,2R)-1-carboxy-2-hydroxypropyl)amino)-3-hydroxy-1-oxopropan-2-yl)amino)-4-oxobutanoic Acid
(S)-3-((S)-2-(2-((S)-2-((S)-2-((S)-1-(L-Cysteinylglycyl-L-lysyl-L-prolyl-L-isoleucyl-L-prolyl-L-asparaginyl)pyrrolidine-2-carboxamido)-4-methylpentanamido)-4-methylpentanamido)acetamido)-4-methylpentanamido)-4-(((S)-1-(((1S,2R)-1-carboxy-2-hydroxypropyl)amino)-3-hydroxy-1-oxopropan-2-yl)amino)-4-oxobutanoic Acid
Catalogue No.:PA PEP 004827
CAS :
922704-46-9
Molecular Formula : C67H113N17O21S
Molecular Weight : 1524.8
