Peptides and its Impurities
Peptides are naturally occurring biological macromolecules formed by the linear arrangement of two or more amino acids linked together by peptide bonds. It can be used as biomarkers for disease detection and diagnosis. Reference standards of Peptides API, and its pharmacopeial, non pharmacopeial impurities, and stable isotopes are listed below.
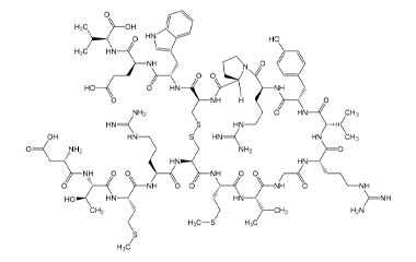
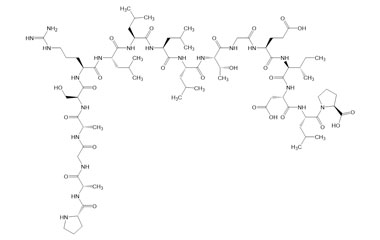
(S)-2-((S)-2-((2S,3R)-2-((S)-2-Amino-3-(1H-indol-3-yl)propanamido)-3-hydroxybutanamido)-4-methylpentanamido)-N1-((2S,5S,11S,14S,17S)-17-carbamoyl-11-(4-hydroxybenzyl)-14-isobutyl-5,19-dimethyl-3,6,9,12,15-pentaoxo-4,7,10,13,16-pentaazaicosan-2-yl)succinamide
(S)-2-((S)-2-((2S,3R)-2-((S)-2-Amino-3-(1H-indol-3-yl)propanamido)-3-hydroxybutanamido)-4-methylpentanamido)-N1-((2S,5S,11S,14S,17S)-17-carbamoyl-11-(4-hydroxybenzyl)-14-isobutyl-5,19-dimethyl-3,6,9,12,15-pentaoxo-4,7,10,13,16-pentaazaicosan-2-yl)succinamide
Catalogue No.:PA PEP 004613
CAS :
859843-84-8
Molecular Formula : C54H81N13O13
Molecular Weight : 1120.32
L-Isoleucyl-L-seryl-L-arginyl-L-prolyl-L-prolylglycyl-L-phenylalanyl-L-seryl-L-prolyl-L-phenylalanyl-L-arginine
L-Isoleucyl-L-seryl-L-arginyl-L-prolyl-L-prolylglycyl-L-phenylalanyl-L-seryl-L-prolyl-L-phenylalanyl-L-arginine
Catalogue No.:PA PEP 004615
CAS :
86030-63-9
Molecular Formula : C59H89N17O14
Molecular Weight : 1260.47
(S)-N-(2-Amino-2-oxoethyl)-1-(((S)-5-oxopyrrolidine-2-carbonyl)-L-histidyl-L-tryptophyl-L-seryl-L-tyrosylglycyl-L-tryptophyl-L-leucyl)pyrrolidine-2-carboxamide
(S)-N-(2-Amino-2-oxoethyl)-1-(((S)-5-oxopyrrolidine-2-carbonyl)-L-histidyl-L-tryptophyl-L-seryl-L-tyrosylglycyl-L-tryptophyl-L-leucyl)pyrrolidine-2-carboxamide
Catalogue No.:PA PEP 004618
CAS :
86073-88-3
Molecular Formula : C60H73N15O13
Molecular Weight : 1212.34
Glycyl-L-tryptophyl-L-threonyl-L-leucyl-L-asparaginyl-L-seryl-L-alanylglycyl-L-tyrosyl-L-leucyl-L-leucylglycyl-L-prolyl-L-glutaminyl-L-prolyl-L-prolylglycyl-L-phenylalanyl-L-seryl-L-prolyl-L-phenylalanyl-L-argininamide
Glycyl-L-tryptophyl-L-threonyl-L-leucyl-L-asparaginyl-L-seryl-L-alanylglycyl-L-tyrosyl-L-leucyl-L-leucylglycyl-L-prolyl-L-glutaminyl-L-prolyl-L-prolylglycyl-L-phenylalanyl-L-seryl-L-prolyl-L-phenylalanyl-L-argininamide
Catalogue No.:PA PEP 004619
CAS :
860790-38-1
Molecular Formula : C112H161N29O28
Molecular Weight : 2361.7
N5-((R)-1-(((S)-1-Carboxy-4-(((R)-1-(((S)-1-carboxy-4-(((R)-1-((carboxymethyl)amino)-3-mercapto-1-oxopropan-2-yl)amino)-4-oxobutyl)amino)-3-mercapto-1-oxopropan-2-yl)amino)-4-oxobutyl)amino)-3-mercapto-1-oxopropan-2-yl)-L-glutamine
N5-((R)-1-(((S)-1-Carboxy-4-(((R)-1-(((S)-1-carboxy-4-(((R)-1-((carboxymethyl)amino)-3-mercapto-1-oxopropan-2-yl)amino)-4-oxobutyl)amino)-3-mercapto-1-oxopropan-2-yl)amino)-4-oxobutyl)amino)-3-mercapto-1-oxopropan-2-yl)-L-glutamine
Catalogue No.:PA PEP 004621
CAS :
86220-45-3
Molecular Formula : C26H41N7O14S3
Molecular Weight : 771.83
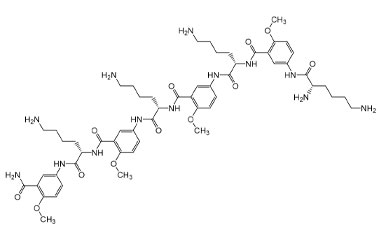
(11S,14S,17S,110S,113S,116R)-34-Methoxy-110-(4-methoxybenzyl)-12,15,17,111,113,116-hexamethyl-4-oxa-12,15,18,111,114,117-hexaaza-1(1,4)-cyclooctadecana-3(1,3),5(1,4)-dibenzenacyclohexaphane-13,16,19,112,115,118-hexaone
(11S,14S,17S,110S,113S,116R)-34-Methoxy-110-(4-methoxybenzyl)-12,15,17,111,113,116-hexamethyl-4-oxa-12,15,18,111,114,117-hexaaza-1(1,4)-cyclooctadecana-3(1,3),5(1,4)-dibenzenacyclohexaphane-13,16,19,112,115,118-hexaone
Catalogue No.:PA PEP 004622
CAS :
86229-97-2
Molecular Formula : C41H50N6O9
Molecular Weight : 770.88
(S)-5-(((S)-1-(((S)-4-Amino-1-(((S)-4-carboxy-1-(((1S,2R)-1-carboxy-2-hydroxypropyl)amino)-1-oxobutan-2-yl)amino)-1,4-dioxobutan-2-yl)amino)-3-(1H-indol-3-yl)-1-oxopropan-2-yl)amino)-5-oxo-4-((S)-1-(tetradecanoyl-L-seryl-L-leucyl-L-asparaginyl)pyrrolidine-2-carboxamido)pentanoic Acid
(S)-5-(((S)-1-(((S)-4-Amino-1-(((S)-4-carboxy-1-(((1S,2R)-1-carboxy-2-hydroxypropyl)amino)-1-oxobutan-2-yl)amino)-1,4-dioxobutan-2-yl)amino)-3-(1H-indol-3-yl)-1-oxopropan-2-yl)amino)-5-oxo-4-((S)-1-(tetradecanoyl-L-seryl-L-leucyl-L-asparaginyl)pyrrolidine-2-carboxamido)pentanoic Acid
Catalogue No.:PA PEP 004623
CAS :
862502-26-9
Molecular Formula : C61H94N12O19
Molecular Weight : 1299.49
2-((2S,5R,8R,11S)-5-Benzyl-11-(3-guanidinopropyl)-8-(mercaptomethyl)-3,6,9,12,15-pentaoxo-1,4,7,10,13-pentaazacyclopentadecan-2-yl)acetic Acid
2-((2S,5R,8R,11S)-5-Benzyl-11-(3-guanidinopropyl)-8-(mercaptomethyl)-3,6,9,12,15-pentaoxo-1,4,7,10,13-pentaazacyclopentadecan-2-yl)acetic Acid
Catalogue No.:PA PEP 004625
CAS :
862772-11-0
Molecular Formula : C24H34N8O7S
Molecular Weight : 578.65
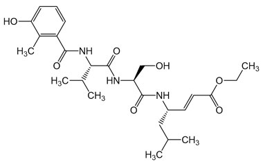
Ethyl (S,E)-4-((S)-3-hydroxy-2-((S)-2-(3-hydroxy-2-methylbenzamido)-3-methylbutanamido)propanamido)-6-methylhept-2-enoate
Ethyl (S,E)-4-((S)-3-hydroxy-2-((S)-2-(3-hydroxy-2-methylbenzamido)-3-methylbutanamido)propanamido)-6-methylhept-2-enoate
Catalogue No.:PA PEP 004627
CAS :
862891-04-1
Molecular Formula : C26H39N3O7
Molecular Weight : 505.61
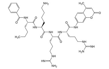
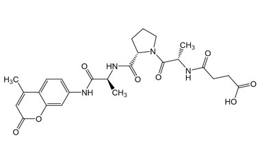
N-((6S,9S,12S,15S)-1-Amino-12-(4-aminobutyl)-9-(3-guanidinopropyl)-1-imino-6-((4-methyl-2-oxo-2H-chromen-7-yl)carbamoyl)-8,11,14-trioxo-2,7,10,13-tetraazanonadecan-15-yl)benzamide
N-((6S,9S,12S,15S)-1-Amino-12-(4-aminobutyl)-9-(3-guanidinopropyl)-1-imino-6-((4-methyl-2-oxo-2H-chromen-7-yl)carbamoyl)-8,11,14-trioxo-2,7,10,13-tetraazanonadecan-15-yl)benzamide
Catalogue No.:PA PEP 004631
CAS :
863975-32-0
Molecular Formula : C41H60N12O7
Molecular Weight : 833.01
Tetradecanoyl-L-seryl-L-isoleucyl-L-tyrosyl-L-arginyl-L-arginylglycyl-L-alanyl-L-arginyl-L-arginyl-L-tryptophyl-L-arginyl-L-lysyl-L-leucine
Tetradecanoyl-L-seryl-L-isoleucyl-L-tyrosyl-L-arginyl-L-arginylglycyl-L-alanyl-L-arginyl-L-arginyl-L-tryptophyl-L-arginyl-L-lysyl-L-leucine
Catalogue No.:PA PEP 004632
CAS :
863987-12-6
Molecular Formula : C90H154N30O17
Molecular Weight : 1928.42
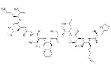
(2S,5S,8S,11S,14S,17S,20S,26S)-26-((S)-2-((S)-2-Amino-3-(1H-imidazol-5-yl)propanamido)propanamido)-17-benzyl-8-(carboxymethyl)-14,20-bis((R)-1-hydroxyethyl)-2,11-bis(hydroxymethyl)-5-isopropyl-4,7,10,13,16,19,22,25-octaoxo-3,6,9,12,15,18,21,24-octaazanonacosanedioic Acid
(2S,5S,8S,11S,14S,17S,20S,26S)-26-((S)-2-((S)-2-Amino-3-(1H-imidazol-5-yl)propanamido)propanamido)-17-benzyl-8-(carboxymethyl)-14,20-bis((R)-1-hydroxyethyl)-2,11-bis(hydroxymethyl)-5-isopropyl-4,7,10,13,16,19,22,25-octaoxo-3,6,9,12,15,18,21,24-octaazanonacosanedioic Acid
Catalogue No.:PA PEP 004638
CAS :
864915-61-7
Molecular Formula : C48H71N13O20
Molecular Weight : 1150.17
L-Isoleucyl-L-threonyl-L-phenylalanyl-L-glutamyl-L-aspartyl-L-leucyl-L-leucyl-L-aspartyl-L-tyrosyl-L-tyrosylglycyl-L-proline
L-Isoleucyl-L-threonyl-L-phenylalanyl-L-glutamyl-L-aspartyl-L-leucyl-L-leucyl-L-aspartyl-L-tyrosyl-L-tyrosylglycyl-L-proline
Catalogue No.:PA PEP 004639
CAS :
865292-94-0
Molecular Formula : C69H96N12O22
Molecular Weight : 1445.59
L-Alanyl-L-prolyl-L-prolylglycyl-L-alanyl-L-arginyl-L-prolyl-L-prolyl-L-prolylglycyl-L-prolyl-L-prolyl-L-prolyl-L-prolylglycyl-L-prolyl-L-prolyl-L-prolyl-L-prolylglycyl-L-proline
L-Alanyl-L-prolyl-L-prolylglycyl-L-alanyl-L-arginyl-L-prolyl-L-prolyl-L-prolylglycyl-L-prolyl-L-prolyl-L-prolyl-L-prolylglycyl-L-prolyl-L-prolyl-L-prolyl-L-prolylglycyl-L-proline
Catalogue No.:PA PEP 004641
CAS :
865714-65-4
Molecular Formula : C90H134N24O22
Molecular Weight : 1904.21
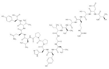
(S)-4-((S)-2-((S)-2-((S)-1-(L-Lysyl-L-glutamyl-L-aspartyl)pyrrolidine-2-carboxamido)-3-carboxypropanamido)-3-(4-hydroxyphenyl)propanamido)-5-(((S)-1-((S)-2-(((S)-1-(((S)-1-(((S)-1,6-diamino-1-oxohexan-2-yl)amino)-1-oxopropan-2-yl)amino)-3-hydroxy-1-oxopropan-2-yl)carbamoyl)pyrrolidin-1-yl)-3-(1H-indol-3-yl)-1-oxopropan-2-yl)amino)-5-oxopentanoic Acid
(S)-4-((S)-2-((S)-2-((S)-1-(L-Lysyl-L-glutamyl-L-aspartyl)pyrrolidine-2-carboxamido)-3-carboxypropanamido)-3-(4-hydroxyphenyl)propanamido)-5-(((S)-1-((S)-2-(((S)-1-(((S)-1-(((S)-1,6-diamino-1-oxohexan-2-yl)amino)-1-oxopropan-2-yl)amino)-3-hydroxy-1-oxopropan-2-yl)carbamoyl)pyrrolidin-1-yl)-3-(1H-indol-3-yl)-1-oxopropan-2-yl)amino)-5-oxopentanoic Acid
Catalogue No.:PA PEP 004642
CAS :
865778-47-8
Molecular Formula : C66H94N16O22
Molecular Weight : 1463.57
(5S,8S,11S,14S,17S,20S,23S)-1-Amino-8-(3-amino-3-oxopropyl)-5-((S)-sec-butyl)-23-((5S,8S,11S,14S)-14,18-diamino-11-(4-aminobutyl)-5-(3-guanidinopropyl)-8-(hydroxymethyl)-4,7,10,13-tetraoxo-3,6,9,12-tetraazaoctadecanamido)-20-(4-hydroxybenzyl)-14-((R)-1-hydroxyethyl)-11,17-bis(2-(methylthio)ethyl)-1,4,7,10,13,16,19,22-octaoxo-3,6,9,12,15,18,21-heptaazapentacosan-25-oic Acid
(5S,8S,11S,14S,17S,20S,23S)-1-Amino-8-(3-amino-3-oxopropyl)-5-((S)-sec-butyl)-23-((5S,8S,11S,14S)-14,18-diamino-11-(4-aminobutyl)-5-(3-guanidinopropyl)-8-(hydroxymethyl)-4,7,10,13-tetraoxo-3,6,9,12-tetraazaoctadecanamido)-20-(4-hydroxybenzyl)-14-((R)-1-hydroxyethyl)-11,17-bis(2-(methylthio)ethyl)-1,4,7,10,13,16,19,22-octaoxo-3,6,9,12,15,18,21-heptaazapentacosan-25-oic Acid
Catalogue No.:PA PEP 004643
CAS :
865778-50-3
Molecular Formula : C63H108N20O19S2
Molecular Weight : 1513.8
L-Lysyl-L-alanyl-L-glutamyl-L-arginyl-L-alanyl-L-aspartyl-L-leucyl-L-isoleucyl-L-alanyl-L-tyrosyl-L-leucyl-L-lysyl-L-glutaminyl-L-alanyl-L-threonyl-L-alanyl-L-lysine
L-Lysyl-L-alanyl-L-glutamyl-L-arginyl-L-alanyl-L-aspartyl-L-leucyl-L-isoleucyl-L-alanyl-L-tyrosyl-L-leucyl-L-lysyl-L-glutaminyl-L-alanyl-L-threonyl-L-alanyl-L-lysine
Catalogue No.:PA PEP 004644
CAS :
86579-06-8
Molecular Formula : C84H144N24O25
Molecular Weight : 1890.22
(S)-5-(((S)-1-Carboxy-2-hydroxyethyl)amino)-4-((S)-2-((S)-2,6-diaminohexanamido)-5-guanidinopentanamido)-5-oxopentanoic Acid
(S)-5-(((S)-1-Carboxy-2-hydroxyethyl)amino)-4-((S)-2-((S)-2,6-diaminohexanamido)-5-guanidinopentanamido)-5-oxopentanoic Acid
Catalogue No.:PA PEP 004648
CAS :
867376-23-6
Molecular Formula : C20H38N8O8
Molecular Weight : 518.57
S-((R)-2,3-Bis(palmitoyloxy)propyl)-L-cysteinyl-L-seryl-L-lysyl-L-lysyl-L-lysyl-L-lysine
S-((R)-2,3-Bis(palmitoyloxy)propyl)-L-cysteinyl-L-seryl-L-lysyl-L-lysyl-L-lysyl-L-lysine
Catalogue No.:PA PEP 004649
CAS :
868247-72-7
Molecular Formula : C65H126N10O12S
Molecular Weight : 1271.84
(6R,9R,12R,15R,18R,21R,24R)-1,6-Diamino-18-(2-carboxyethyl)-9-(4-hydroxybenzyl)-12-((S)-1-hydroxyethyl)-1-imino-21-isobutyl-15-isopropyl-24-methyl-7,10,13,16,19,22-hexaoxo-2,8,11,14,17,20,23-heptaazapentacosan-25-oic Acid
(6R,9R,12R,15R,18R,21R,24R)-1,6-Diamino-18-(2-carboxyethyl)-9-(4-hydroxybenzyl)-12-((S)-1-hydroxyethyl)-1-imino-21-isobutyl-15-isopropyl-24-methyl-7,10,13,16,19,22-hexaoxo-2,8,11,14,17,20,23-heptaazapentacosan-25-oic Acid
Catalogue No.:PA PEP 004650
CAS :
868844-53-5
Molecular Formula : C38H62N10O12
Molecular Weight : 850.97
(3S,6S,9S,12S,15S,18S,21S,24S)-24-Acetamido-15-(3-amino-3-oxopropyl)-3-carbamoyl-21-(2-carboxyethyl)-9,12-bis(3-guanidinopropyl)-6-methyl-18-(2-(methylthio)ethyl)-5,8,11,14,17,20,23-heptaoxo-4,7,10,13,16,19,22-heptaazaheptacosanedioic Acid
(3S,6S,9S,12S,15S,18S,21S,24S)-24-Acetamido-15-(3-amino-3-oxopropyl)-3-carbamoyl-21-(2-carboxyethyl)-9,12-bis(3-guanidinopropyl)-6-methyl-18-(2-(methylthio)ethyl)-5,8,11,14,17,20,23-heptaoxo-4,7,10,13,16,19,22-heptaazaheptacosanedioic Acid
Catalogue No.:PA PEP 004651
CAS :
868844-74-0
Molecular Formula : C41H70N16O16S
Molecular Weight : 1075.17
L-Methionyl-L-alanyl-L-isoleucyl-L-leucylglycyl-L-α-aspartyl-L-threonyl-L-alanyl-L-tryptophyl-L-α-aspartyl-L-phenylalanylglycyl-L-seryl-L-leucylglycylglycyl-L-valyl-L-phenylalanyl-L-threonyl-L-seryl-L-isoleucylglycyl-L-lysyl-L-alanyl-L-leucyl-L-histidyl-L-glutaminyl-L-valyl-L-phenylalanylglycyl-L-alanyl-L-isoleucyl-L-tyrosine
L-Methionyl-L-alanyl-L-isoleucyl-L-leucylglycyl-L-α-aspartyl-L-threonyl-L-alanyl-L-tryptophyl-L-α-aspartyl-L-phenylalanylglycyl-L-seryl-L-leucylglycylglycyl-L-valyl-L-phenylalanyl-L-threonyl-L-seryl-L-isoleucylglycyl-L-lysyl-L-alanyl-L-leucyl-L-histidyl-L-glutaminyl-L-valyl-L-phenylalanylglycyl-L-alanyl-L-isoleucyl-L-tyrosine
Catalogue No.:PA PEP 004653
CAS :
869011-94-9
Molecular Formula : C161H240N38O44S
Molecular Weight : 3443.97
O-((2S,3R,4R,5R,6R)-3-Acetamido-4,5-dihydroxy-6-(hydroxymethyl)tetrahydro-2H-pyran-2-yl)-N-O-((2S,3R,4R,5R,6R)-3-acetamido-4,5-dihydroxy-6-(hydroxymethyl)tetrahydro-2H-pyran-2-yl)-N-glycyl-L-threonyl-L-threonyl-L-prolyl-L-seryl-L-prolyl-L-valyl-L-prolyl-L-threonyl-L-threonyl-L-seryl-L-threonyl-L-threonyl-L-seryl-L-alanyl-L-proline
O-((2S,3R,4R,5R,6R)-3-Acetamido-4,5-dihydroxy-6-(hydroxymethyl)tetrahydro-2H-pyran-2-yl)-N-O-((2S,3R,4R,5R,6R)-3-acetamido-4,5-dihydroxy-6-(hydroxymethyl)tetrahydro-2H-pyran-2-yl)-N-glycyl-L-threonyl-L-threonyl-L-prolyl-L-seryl-L-prolyl-L-valyl-L-prolyl-L-threonyl-L-threonyl-L-seryl-L-threonyl-L-threonyl-L-seryl-L-alanyl-L-proline
Catalogue No.:PA PEP 004654
CAS :
869012-68-0
Molecular Formula : C79H130N18O36
Molecular Weight : 1908
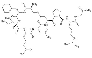
(S)-2-((S)-5-Amino-5-oxo-2-((R)-pyrrolidine-2-carboxamido)pentanamido)-N1-((5S,8R,11R,14S,17R)-8,11-bis((1H-indol-3-yl)methyl)-14-benzyl-5-carbamoyl-18-(1H-indol-3-yl)-7,10,13,16-tetraoxo-2-thia-6,9,12,15-tetraazaoctadecan-17-yl)pentanediamide
(S)-2-((S)-5-Amino-5-oxo-2-((R)-pyrrolidine-2-carboxamido)pentanamido)-N1-((5S,8R,11R,14S,17R)-8,11-bis((1H-indol-3-yl)methyl)-14-benzyl-5-carbamoyl-18-(1H-indol-3-yl)-7,10,13,16-tetraoxo-2-thia-6,9,12,15-tetraazaoctadecan-17-yl)pentanediamide
Catalogue No.:PA PEP 004655
CAS :
86917-57-9
Molecular Formula : C62H74N14O10S
Molecular Weight : 1207.42
L-Threonyl-L-leucyl-L-glutaminyl-L-prolyl-L-prolyl-L-alanyl-L-seryl-L-seryl-L-arginyl-L-arginyl-L-arginyl-L-histidyl-L-phenylalanyl-L-histidyl-L-histidyl-L-alanyl-L-leucyl-L-prolyl-L-prolyl-L-alanyl-L-arginine
L-Threonyl-L-leucyl-L-glutaminyl-L-prolyl-L-prolyl-L-alanyl-L-seryl-L-seryl-L-arginyl-L-arginyl-L-arginyl-L-histidyl-L-phenylalanyl-L-histidyl-L-histidyl-L-alanyl-L-leucyl-L-prolyl-L-prolyl-L-alanyl-L-arginine
Catalogue No.:PA PEP 004659
CAS :
869988-94-3
Molecular Formula : C107H170N40O26
Molecular Weight : 2432.79
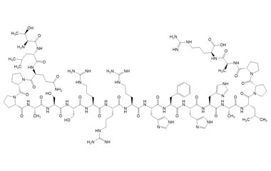
(2S,5S,8R,11S,14S,17S,20R,23R,26S,29S)-26-(3-Amino-3-oxopropyl)-11-((S)-sec-butyl)-29-((2S,5S,11S,14S)-14,18-diamino-5-((S)-sec-butyl)-11-(3-guanidinopropyl)-2-isopropyl-4,7,10,13-tetraoxo-3,6,9,12-tetraazaoctadecanamido)-17-((R)-1-hydroxyethyl)-5,14-bis(hydroxymethyl)-2-isobutyl-8,20,23-tris(mercaptomethyl)-4,7,10,13,16,19,22,25,28-nonaoxo-3,6,9,12,15,18,21,24,27-nonaazadotriacontanedioic Acid
(2S,5S,8R,11S,14S,17S,20R,23R,26S,29S)-26-(3-Amino-3-oxopropyl)-11-((S)-sec-butyl)-29-((2S,5S,11S,14S)-14,18-diamino-5-((S)-sec-butyl)-11-(3-guanidinopropyl)-2-isopropyl-4,7,10,13-tetraoxo-3,6,9,12-tetraazaoctadecanamido)-17-((R)-1-hydroxyethyl)-5,14-bis(hydroxymethyl)-2-isobutyl-8,20,23-tris(mercaptomethyl)-4,7,10,13,16,19,22,25,28-nonaoxo-3,6,9,12,15,18,21,24,27-nonaazadotriacontanedioic Acid
Catalogue No.:PA PEP 004662
CAS :
872036-64-1
Molecular Formula : C66H118N20O22S3
Molecular Weight : 1639.97
L-Asparaginyl-L-seryl-L-leucyl-L-alanyl-L-asparaginyl-L-prolylglycyl-L-isoleucyl-L-alanine
L-Asparaginyl-L-seryl-L-leucyl-L-alanyl-L-asparaginyl-L-prolylglycyl-L-isoleucyl-L-alanine
Catalogue No.:PA PEP 004664
CAS :
872141-81-6
Molecular Formula : C36H61N11O13
Molecular Weight : 855.95
(S)-N1-((8S,11S,17S,20S)-8-(((S)-1-Amino-1-oxo-3-phenylpropan-2-yl)carbamoyl)-17-benzyl-21-hydroxy-3-imino-11-isobutyl-10,13,16,19-tetraoxo-2,4,9,12,14,15,18-heptaazahenicosan-20-yl)-2-((R)-2-((R)-2-amino-3-(4-hydroxyphenyl)propanamido)-3-(pyridin-4-yl)propanamido)succinamide
(S)-N1-((8S,11S,17S,20S)-8-(((S)-1-Amino-1-oxo-3-phenylpropan-2-yl)carbamoyl)-17-benzyl-21-hydroxy-3-imino-11-isobutyl-10,13,16,19-tetraoxo-2,4,9,12,14,15,18-heptaazahenicosan-20-yl)-2-((R)-2-((R)-2-amino-3-(4-hydroxyphenyl)propanamido)-3-(pyridin-4-yl)propanamido)succinamide
Catalogue No.:PA PEP 004667
CAS :
872717-97-0
Molecular Formula : C56H76N16O12
Molecular Weight : 1165.32
(S)-2-((R)-2-((R)-2-Acetamido-3-(4-hydroxyphenyl)propanamido)-3-(1H-indol-3-yl)propanamido)-N1-((8S,11S,17S,20S,21R)-8-(((S)-1-amino-3-(1H-indol-3-yl)-1-oxopropan-2-yl)carbamoyl)-17-benzyl-21-hydroxy-3-imino-11-isobutyl-10,13,16,19-tetraoxo-2,4,9,12,14,15,18-heptaazadocosan-20-yl)succinamide
(S)-2-((R)-2-((R)-2-Acetamido-3-(4-hydroxyphenyl)propanamido)-3-(1H-indol-3-yl)propanamido)-N1-((8S,11S,17S,20S,21R)-8-(((S)-1-amino-3-(1H-indol-3-yl)-1-oxopropan-2-yl)carbamoyl)-17-benzyl-21-hydroxy-3-imino-11-isobutyl-10,13,16,19-tetraoxo-2,4,9,12,14,15,18-heptaazadocosan-20-yl)succinamide
Catalogue No.:PA PEP 004668
CAS :
872719-49-8
Molecular Formula : C64H83N17O13
Molecular Weight : 1298.47
L-Alanyl-L-arginyl-L-threonyl-L-lysyl-L-glutaminyl-L-threonyl-L-alanyl-L-arginyl-L-lysyl-L-seryl-L-threonylglycylglycyl-L-lysyl-L-alanyl-L-prolyl-L-arginyl-L-lysyl-L-glutaminyl-L-leucyl-L-alanine
L-Alanyl-L-arginyl-L-threonyl-L-lysyl-L-glutaminyl-L-threonyl-L-alanyl-L-arginyl-L-lysyl-L-seryl-L-threonylglycylglycyl-L-lysyl-L-alanyl-L-prolyl-L-arginyl-L-lysyl-L-glutaminyl-L-leucyl-L-alanine
Catalogue No.:PA PEP 004669
CAS :
873215-29-3
Molecular Formula : C94H172N36O28
Molecular Weight : 2254.63
L-Seryl-L-isoleucyl-L-arginyl-L-α-glutamyl-L-leucyl-L-α-glutamyl-L-alanyl-L-arginyl-L-isoleucyl-L-arginyl-L-α-glutamyl-L-leucyl-L-α-glutamyl-L-leucyl-L-arginyl-L-isoleucylglycine
L-Seryl-L-isoleucyl-L-arginyl-L-α-glutamyl-L-leucyl-L-α-glutamyl-L-alanyl-L-arginyl-L-isoleucyl-L-arginyl-L-α-glutamyl-L-leucyl-L-α-glutamyl-L-leucyl-L-arginyl-L-isoleucylglycine
Catalogue No.:PA PEP 004670
CAS :
873582-78-6
Molecular Formula : C88H157N29O27
Molecular Weight : 2053.4
L-Tyrosyl-L-histidyl-L-tryptophyl-L-tyrosylglycyl-L-tyrosyl-L-threonyl-L-prolyl-L-glutaminyl-L-asparaginyl-L-valyl-L-isoleucine
L-Tyrosyl-L-histidyl-L-tryptophyl-L-tyrosylglycyl-L-tyrosyl-L-threonyl-L-prolyl-L-glutaminyl-L-asparaginyl-L-valyl-L-isoleucine
Catalogue No.:PA PEP 004672
CAS :
875142-25-9
Molecular Formula : C75H97N17O19
Molecular Weight : 1540.7
(S)-1-(((R)-2-((R)-2-Acetamido-3-(1H-indol-3-yl)propanamido)-3-(4-chlorophenyl)propanoyl)-D-tryptophyl-L-seryl-L-tyrosyl-D-lysyl-L-leucyl-L-arginyl)-N-((R)-1-amino-1-oxopropan-2-yl)pyrrolidine-2-carboxamide
(S)-1-(((R)-2-((R)-2-Acetamido-3-(1H-indol-3-yl)propanamido)-3-(4-chlorophenyl)propanoyl)-D-tryptophyl-L-seryl-L-tyrosyl-D-lysyl-L-leucyl-L-arginyl)-N-((R)-1-amino-1-oxopropan-2-yl)pyrrolidine-2-carboxamide
Catalogue No.:PA PEP 004675
CAS :
87565-51-3
Molecular Formula : C71H94ClN17O13
Molecular Weight : 1429.09
L-Prolyl-L-alanylglycyl-L-alanyl-L-seryl-L-arginyl-L-leucyl-L-leucyl-L-leucyl-L-leucyl-L-threonylglycyl-L-glutamyl-L-isoleucyl-L-aspartyl-L-leucyl-L-proline
L-Prolyl-L-alanylglycyl-L-alanyl-L-seryl-L-arginyl-L-leucyl-L-leucyl-L-leucyl-L-leucyl-L-threonylglycyl-L-glutamyl-L-isoleucyl-L-aspartyl-L-leucyl-L-proline
Catalogue No.:PA PEP 004676
CAS :
875910-01-3
Molecular Formula : C78H134N20O24
Molecular Weight : 1736.05
(S)-6-Amino-N-((S)-1-(((S)-1-(((S)-1-amino-4-methyl-1-oxopentan-2-yl)amino)-4-methyl-1-oxopentan-2-yl)amino)-5-guanidino-1-oxopentan-2-yl)-2-((5S,8S,11S,14S,20S,23S)-8-(4-aminobutyl)-11-(3-guanidinopropyl)-20-(hydroxymethyl)-5,14-diisobutyl-2,2,17,17,23-pentamethyl-4,7,10,13,16,19,22,25-octaoxo-3,6,9,12,15,18,21,24-octaazahexacosanamido)hexanamide
(S)-6-Amino-N-((S)-1-(((S)-1-(((S)-1-amino-4-methyl-1-oxopentan-2-yl)amino)-4-methyl-1-oxopentan-2-yl)amino)-5-guanidino-1-oxopentan-2-yl)-2-((5S,8S,11S,14S,20S,23S)-8-(4-aminobutyl)-11-(3-guanidinopropyl)-20-(hydroxymethyl)-5,14-diisobutyl-2,2,17,17,23-pentamethyl-4,7,10,13,16,19,22,25-octaoxo-3,6,9,12,15,18,21,24-octaazahexacosanamido)hexanamide
Catalogue No.:PA PEP 004682
CAS :
878009-24-6
Molecular Formula : C64H121N21O14
Molecular Weight : 1408.81
(S)-N-((S)-1-(((S)-1-(((S)-1-(((S)-1-Amino-3-(1H-indol-3-yl)-1-oxopropan-2-yl)amino)-3-(1H-indol-3-yl)-1-oxopropan-2-yl)amino)-3-(1H-indol-3-yl)-1-oxopropan-2-yl)amino)-3-(1H-indol-3-yl)-1-oxopropan-2-yl)-2-((S)-2-amino-3-(1H-indol-3-yl)propanamido)-5-guanidinopentanamide
(S)-N-((S)-1-(((S)-1-(((S)-1-(((S)-1-Amino-3-(1H-indol-3-yl)-1-oxopropan-2-yl)amino)-3-(1H-indol-3-yl)-1-oxopropan-2-yl)amino)-3-(1H-indol-3-yl)-1-oxopropan-2-yl)amino)-3-(1H-indol-3-yl)-1-oxopropan-2-yl)-2-((S)-2-amino-3-(1H-indol-3-yl)propanamido)-5-guanidinopentanamide
Catalogue No.:PA PEP 004684
CAS :
878557-55-2
Molecular Formula : C61H65N15O6
Molecular Weight : 1104.29
(S)-3-((((9H-Fluoren-9-yl)methoxy)carbonyl)-L-phenylalanyl)-2,2-dimethyloxazolidine-4-carboxylic Acid
(S)-3-((((9H-Fluoren-9-yl)methoxy)carbonyl)-L-phenylalanyl)-2,2-dimethyloxazolidine-4-carboxylic Acid
Catalogue No.:PA PEP 004685
CAS :
878797-01-4
Molecular Formula : C30H30N2O6
Molecular Weight : 514.58
(S)-3-((S)-2-((((9H-Fluoren-9-yl)methoxy)carbonyl)amino)-3-(4-(tert-butoxy)phenyl)propanoyl)-2,2-dimethyloxazolidine-4-carboxylic Acid
(S)-3-((S)-2-((((9H-Fluoren-9-yl)methoxy)carbonyl)amino)-3-(4-(tert-butoxy)phenyl)propanoyl)-2,2-dimethyloxazolidine-4-carboxylic Acid
Catalogue No.:PA PEP 004686
CAS :
878797-09-2
Molecular Formula : C34H38N2O7
Molecular Weight : 586.69
(6S,16S,19S,29S,32S,42S,45S,55S)-1,6-Diamino-16,19,29,32,42,45,55-heptakis(3-guanidinopropyl)-1-imino-7,14,17,20,27,30,33,40,43,46,53,56,63-tridecaoxo-2,8,15,18,21,28,31,34,41,44,47,54,57,64-tetradecaazaheptahexacontan-67-oic Acid
(6S,16S,19S,29S,32S,42S,45S,55S)-1,6-Diamino-16,19,29,32,42,45,55-heptakis(3-guanidinopropyl)-1-imino-7,14,17,20,27,30,33,40,43,46,53,56,63-tridecaoxo-2,8,15,18,21,28,31,34,41,44,47,54,57,64-tetradecaazaheptahexacontan-67-oic Acid
Catalogue No.:PA PEP 004687
CAS :
879010-15-8
Molecular Formula : C81H158N38O15
Molecular Weight : 1904.41
(S)-4-(((4R,7S,10S,13R,16S,19R)-13-((1H-Indol-3-yl)methyl)-10-(2-aminoethyl)-16-benzyl-4-(((S)-1-carboxy-2-methylpropyl)carbamoyl)-7-(4-hydroxybenzyl)-20,20-dimethyl-6,9,12,15,18-pentaoxo-1,2-dithia-5,8,11,14,17-pentaazacycloicosan-19-yl)amino)-3-amino-4-oxobutanoic Acid
(S)-4-(((4R,7S,10S,13R,16S,19R)-13-((1H-Indol-3-yl)methyl)-10-(2-aminoethyl)-16-benzyl-4-(((S)-1-carboxy-2-methylpropyl)carbamoyl)-7-(4-hydroxybenzyl)-20,20-dimethyl-6,9,12,15,18-pentaoxo-1,2-dithia-5,8,11,14,17-pentaazacycloicosan-19-yl)amino)-3-amino-4-oxobutanoic Acid
Catalogue No.:PA PEP 004688
CAS :
879497-82-2
Molecular Formula : C50H64N10O12S2
Molecular Weight : 1061.24
L-Arginine, L-arginyl-L-methionyl-L-asparaginyl-L-isoleucyl-L-glutaminyl-L-methionyl-L-leucyl-L-leucyl-L-α-glutamyl-L-alanyl-L-alanyl-L-α-aspartyl-L-tyrosyl-L-leucyl-L-α-glutamyl
L-Arginine, L-arginyl-L-methionyl-L-asparaginyl-L-isoleucyl-L-glutaminyl-L-methionyl-L-leucyl-L-leucyl-L-α-glutamyl-L-alanyl-L-alanyl-L-α-aspartyl-L-tyrosyl-L-leucyl-L-α-glutamyl
Catalogue No.:PA PEP 004689
CAS :
880150-82-3
Molecular Formula : C84H140N24O26S2
Molecular Weight : 1966.31
(2S,5S,8R,14S)-5-(2-Carboxyethyl)-14-((S)-2-formamido-4-(methylthio)butanamido)-2-isobutyl-8-(mercaptomethyl)-4,7,10,13-tetraoxo-3,6,9,12-tetraazahexadecanedioic Acid
(2S,5S,8R,14S)-5-(2-Carboxyethyl)-14-((S)-2-formamido-4-(methylthio)butanamido)-2-isobutyl-8-(mercaptomethyl)-4,7,10,13-tetraoxo-3,6,9,12-tetraazahexadecanedioic Acid
Catalogue No.:PA PEP 004690
CAS :
881188-51-8
Molecular Formula : C26H42N6O12S2
Molecular Weight : 694.77
L-Seryl-L-threonyl-L-seryl-L-glutaminyl-L-lysyl-L-seryl-L-isoleucyl-L-valyl-L-alanyl-L-tyrosyl-L-threonyl-L-methionine
L-Seryl-L-threonyl-L-seryl-L-glutaminyl-L-lysyl-L-seryl-L-isoleucyl-L-valyl-L-alanyl-L-tyrosyl-L-threonyl-L-methionine
Catalogue No.:PA PEP 004692
CAS :
882157-88-2
Molecular Formula : C56H94N14O20S
Molecular Weight : 1315.51
(S)-1-(L-Leucyl)-N-((S)-1-(((S)-1-(((S)-1-amino-1-oxo-3-phenylpropan-2-yl)amino)-5-guanidino-1-oxopentan-2-yl)amino)-4-methyl-1-oxopentan-2-yl)pyrrolidine-2-carboxamide
(S)-1-(L-Leucyl)-N-((S)-1-(((S)-1-(((S)-1-amino-1-oxo-3-phenylpropan-2-yl)amino)-5-guanidino-1-oxopentan-2-yl)amino)-4-methyl-1-oxopentan-2-yl)pyrrolidine-2-carboxamide
Catalogue No.:PA PEP 004695
CAS :
88280-21-1
Molecular Formula : C32H53N9O5
Molecular Weight : 643.83
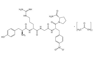
(S)-1-((S)-2-(2-((R)-2-((S)-2-Amino-3-(4-hydroxyphenyl)propanamido)-5-guanidinopentanamido)acetamido)-3-(4-nitrophenyl)propanoyl)pyrrolidine-2-carboxamide Diacetate
(S)-1-((S)-2-(2-((R)-2-((S)-2-Amino-3-(4-hydroxyphenyl)propanamido)-5-guanidinopentanamido)acetamido)-3-(4-nitrophenyl)propanoyl)pyrrolidine-2-carboxamide Diacetate
Catalogue No.:PA PEP 004696
CAS :
88331-14-0
Molecular Formula : C35H50N10O12
Molecular Weight : 802.84
(4R,7S,13S)-13-((S)-2-Amino-3-(4-hydroxyphenyl)propanamido)-7-benzyl-3,3,14,14-tetramethyl-6,9,12-trioxo-1,2-dithia-5,8,11-triazacyclotetradecane-4-carboxylic Acid
(4R,7S,13S)-13-((S)-2-Amino-3-(4-hydroxyphenyl)propanamido)-7-benzyl-3,3,14,14-tetramethyl-6,9,12-trioxo-1,2-dithia-5,8,11-triazacyclotetradecane-4-carboxylic Acid
Catalogue No.:PA PEP 004697
CAS :
88373-72-2
Molecular Formula : C30H39N5O7S2
Molecular Weight : 645.79
(4S,7S,13S)-13-((S)-2-Amino-3-(4-hydroxyphenyl)propanamido)-7-benzyl-3,3,14,14-tetramethyl-6,9,12-trioxo-1,2-dithia-5,8,11-triazacyclotetradecane-4-carboxylic Acid
(4S,7S,13S)-13-((S)-2-Amino-3-(4-hydroxyphenyl)propanamido)-7-benzyl-3,3,14,14-tetramethyl-6,9,12-trioxo-1,2-dithia-5,8,11-triazacyclotetradecane-4-carboxylic Acid
Catalogue No.:PA PEP 004698
CAS :
88373-73-3
Molecular Formula : C30H39N5O7S2
Molecular Weight : 645.79
L-Phenylalanyl-L-glutamyl-L-phenylalanyl-L-glutamyl-L-phenylalanyl-L-lysyl-L-phenylalanyl-L-lysine
L-Phenylalanyl-L-glutamyl-L-phenylalanyl-L-glutamyl-L-phenylalanyl-L-lysyl-L-phenylalanyl-L-lysine
Catalogue No.:PA PEP 004699
CAS :
883746-83-6
Molecular Formula : C58H76N10O13
Molecular Weight : 1121.3
(S)-2-((S)-2-((S)-2-Acetamido-3-methylbutanamido)-3-(4-hydroxyphenyl)propanamido)-6-aminohexanamide
(S)-2-((S)-2-((S)-2-Acetamido-3-methylbutanamido)-3-(4-hydroxyphenyl)propanamido)-6-aminohexanamide
Catalogue No.:PA PEP 004702
CAS :
884009-99-8
Molecular Formula : C22H35N5O5
Molecular Weight : 449.55
4-(((S)-1-((S)-2-(((S)-1-((4-Methyl-2-oxo-2H-chromen-7-yl)amino)-1-oxopropan-2-yl)carbamoyl)pyrrolidin-1-yl)-1-oxopropan-2-yl)amino)-4-oxobutanoic Acid
4-(((S)-1-((S)-2-(((S)-1-((4-Methyl-2-oxo-2H-chromen-7-yl)amino)-1-oxopropan-2-yl)carbamoyl)pyrrolidin-1-yl)-1-oxopropan-2-yl)amino)-4-oxobutanoic Acid
Catalogue No.:PA PEP 004705
CAS :
88467-44-1
Molecular Formula : C25H30N4O8
Molecular Weight : 514.54
4-(((S)-1-(((S)-1-((S)-2-(((S)-1-((4-Methyl-2-oxo-2H-chromen-7-yl)amino)-1-oxo-3-phenylpropan-2-yl)carbamoyl)pyrrolidin-1-yl)-1-oxopropan-2-yl)amino)-1-oxopropan-2-yl)amino)-4-oxobutanoic Acid
4-(((S)-1-(((S)-1-((S)-2-(((S)-1-((4-Methyl-2-oxo-2H-chromen-7-yl)amino)-1-oxo-3-phenylpropan-2-yl)carbamoyl)pyrrolidin-1-yl)-1-oxopropan-2-yl)amino)-1-oxopropan-2-yl)amino)-4-oxobutanoic Acid
Catalogue No.:PA PEP 004706
CAS :
88467-45-2
Molecular Formula : C34H39N5O9
Molecular Weight : 661.71
L-Glutamyl-L-valyl-L-histidyl-L-histidyl-L-glutaminyl-L-lysyl-L-leucyl-L-valyl-L-phenylalanyl-L-phenylalanyl-L-alanyl-L-glutamic Acid
L-Glutamyl-L-valyl-L-histidyl-L-histidyl-L-glutaminyl-L-lysyl-L-leucyl-L-valyl-L-phenylalanyl-L-phenylalanyl-L-alanyl-L-glutamic Acid
Catalogue No.:PA PEP 004708
CAS :
885323-98-8
Molecular Formula : C70H102N18O18
Molecular Weight : 1483.69
(R)-N-((S)-1-(((S)-1-Chloro-6-guanidino-2-oxohexan-3-yl)amino)-1-oxo-3-phenylpropan-2-yl)pyrrolidine-2-carboxamide
(R)-N-((S)-1-(((S)-1-Chloro-6-guanidino-2-oxohexan-3-yl)amino)-1-oxo-3-phenylpropan-2-yl)pyrrolidine-2-carboxamide
Catalogue No.:PA PEP 004709
CAS :
88546-74-1
Molecular Formula : C21H31ClN6O3
Molecular Weight : 450.97
(S)-4-((S)-2-((S)-1-(Acetyl-L-alanyl-L-alanyl-L-valyl-L-alanyl-L-leucyl-L-leucyl-L-prolyl-L-alanyl-L-valyl-L-leucyl-L-leucyl-L-alanyl-L-leucyl-L-leucyl-L-alanyl)pyrrolidine-2-carboxamido)-4-methylpentanamido)-5-(((S)-1-(((S)-1-carboxy-3-oxopropan-2-yl)amino)-3-methyl-1-oxobutan-2-yl)amino)-5-oxopentanoic Acid
(S)-4-((S)-2-((S)-1-(Acetyl-L-alanyl-L-alanyl-L-valyl-L-alanyl-L-leucyl-L-leucyl-L-prolyl-L-alanyl-L-valyl-L-leucyl-L-leucyl-L-alanyl-L-leucyl-L-leucyl-L-alanyl)pyrrolidine-2-carboxamido)-4-methylpentanamido)-5-(((S)-1-(((S)-1-carboxy-3-oxopropan-2-yl)amino)-3-methyl-1-oxobutan-2-yl)amino)-5-oxopentanoic Acid
Catalogue No.:PA PEP 004710
CAS :
886462-82-4
Molecular Formula : C96H164N20O25
Molecular Weight : 1998.48
(S)-4-((2S,3S)-2-((S)-1-(Acetyl-L-alanyl-L-alanyl-L-valyl-L-alanyl-L-leucyl-L-leucyl-L-prolyl-L-alanyl-L-valyl-L-leucyl-L-leucyl-L-alanyl-L-leucyl-L-leucyl-L-alanyl)pyrrolidine-2-carboxamido)-3-methylpentanamido)-5-(((2S,3R)-1-(((S)-1-carboxy-3-oxopropan-2-yl)amino)-3-hydroxy-1-oxobutan-2-yl)amino)-5-oxopentanoic Acid
(S)-4-((2S,3S)-2-((S)-1-(Acetyl-L-alanyl-L-alanyl-L-valyl-L-alanyl-L-leucyl-L-leucyl-L-prolyl-L-alanyl-L-valyl-L-leucyl-L-leucyl-L-alanyl-L-leucyl-L-leucyl-L-alanyl)pyrrolidine-2-carboxamido)-3-methylpentanamido)-5-(((2S,3R)-1-(((S)-1-carboxy-3-oxopropan-2-yl)amino)-3-hydroxy-1-oxobutan-2-yl)amino)-5-oxopentanoic Acid
Catalogue No.:PA PEP 004711
CAS :
886462-83-5
Molecular Formula : C95H162N20O26
Molecular Weight : 2000.46
(S)-1-(Acetylglycyl)-N-(2-oxo-4-(trifluoromethyl)-2H-chromen-7-yl)pyrrolidine-2-carboxamide
(S)-1-(Acetylglycyl)-N-(2-oxo-4-(trifluoromethyl)-2H-chromen-7-yl)pyrrolidine-2-carboxamide
Catalogue No.:PA PEP 004713
CAS :
886993-02-8
Molecular Formula : C19H18F3N3O5
Molecular Weight : 425.36
L-Leucyl-L-glutaminyl-L-valyl-L-threonyl-L-aspartyl-L-serylglycyl-L-leucyl-L-tyrosyl-L-arginyl-L-cysteinyl-L-valyl-L-isoleucyl-L-tyrosyl-L-histidyl-L-prolyl-L-proline
L-Leucyl-L-glutaminyl-L-valyl-L-threonyl-L-aspartyl-L-serylglycyl-L-leucyl-L-tyrosyl-L-arginyl-L-cysteinyl-L-valyl-L-isoleucyl-L-tyrosyl-L-histidyl-L-prolyl-L-proline
Catalogue No.:PA PEP 004715
CAS :
887255-16-5
Molecular Formula : C89H137N23O25S
Molecular Weight : 1961.27
(S)-N-((S)-6-Amino-1-((4-nitrophenyl)amino)-1-oxohexan-2-yl)-1-(tosylglycyl)pyrrolidine-2-carboxamide, Acetate Salt
(S)-N-((S)-6-Amino-1-((4-nitrophenyl)amino)-1-oxohexan-2-yl)-1-(tosylglycyl)pyrrolidine-2-carboxamide, Acetate Salt
Catalogue No.:PA PEP 004716
CAS :
88793-79-7
Molecular Formula : C28H38N6O9S
Molecular Weight : 634.71
L-Threonyl-L-α-aspartyl-L-seryl-L-arginyl-L-cysteinyl-L-valyl-L-isoleucylglycyl-L-leucyl-L-tyrosyl-L-histidyl-L-prolyl-L-prolyl-L-leucyl-L-glutaminyl-L-valyl-L-tyrosine
L-Threonyl-L-α-aspartyl-L-seryl-L-arginyl-L-cysteinyl-L-valyl-L-isoleucylglycyl-L-leucyl-L-tyrosyl-L-histidyl-L-prolyl-L-prolyl-L-leucyl-L-glutaminyl-L-valyl-L-tyrosine
Catalogue No.:PA PEP 004717
CAS :
887973-01-5
Molecular Formula : C89H137N23O25S
Molecular Weight : 1961.27
((3S,6S,9S,12R,17R,20S,23S,26S,31aS)-9-((1H-Imidazol-5-yl)methyl)-6-(4-aminobutyl)-17-((S)-2-aminopropanamido)-3,20,23,26-tetrakis(hydroxymethyl)-1,4,7,10,18,21,24,27-octaoxooctacosahydro-1H-pyrrolo[2,1-p][1,2]dithia[5,8,11,14,17,20,23,26]octaazacyclononacosine-12-carbonyl)glycine
((3S,6S,9S,12R,17R,20S,23S,26S,31aS)-9-((1H-Imidazol-5-yl)methyl)-6-(4-aminobutyl)-17-((S)-2-aminopropanamido)-3,20,23,26-tetrakis(hydroxymethyl)-1,4,7,10,18,21,24,27-octaoxooctacosahydro-1H-pyrrolo[2,1-p][1,2]dithia[5,8,11,14,17,20,23,26]octaazacyclononacosine-12-carbonyl)glycine
Catalogue No.:PA PEP 004720
CAS :
888486-23-5
Molecular Formula : C40H64N14O16S2
Molecular Weight : 1061.15
