androsterone

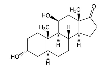
Fine chemicals - Androsterone,is an endogenous steroid hormone, neurosteroid, and putative pheromone.Androsterone is also known to be an inhibitory androstane neurosteroid, acting as a positive allosteric modulator of the GABAA receptor, and possesses anticonvulsant effects. Reference standards of Androsterone API, and its pharmacopeial, non pharmacopeial impurities, and stable isotopes are listed below.

stdClass Object
(
    [pname] => Androsterone
    [catalogue_number] => PA 01 59000
    [category_ids] => ,78,70,82,
    [chemical_name] => 
    [weight] => 290.44
    [form] => C19H30O2
    [cas] => 53-41-8
    [pslug] => 53-41-8-androsterone-api-pa0159000
    [latest_product] => 0
    [linkproducts] => 0
    [offers_id] => 
    [offers_name] => 
    [offers_status] => 
    [offers_start_date] => 
    [offers_end_date] => 
    [pageview] => 
    [offers_slug] => 
    [offers_product_id] => 
    [offers_product_code] => 
    [offers_master_id] => 
    [offer_percentage] => 
    [offers_product_main_cat] => 
)
PA 01 59000
PA 01 59000

Androsterone


  • Catalogue No.:PA 01 59000

  • CAS :

    53-41-8

  • Molecular Formula : C19H30O2

  • Molecular Weight : 290.44

stdClass Object
(
    [pname] => (5α,16β)-N-Acetyl-16-[2-(acetyloxy)acetyloxy)-2'H-androst-2-eno[3,2-c]pyrazol-17-one
    [catalogue_number] => PA 01 59510
    [category_ids] => ,78,82,70,75,
    [chemical_name] => 
    [weight] => 470.56
    [form] => C26H34N2O6
    [cas] => NA
    [pslug] => 5-alpha-16-beta-n-acetyl-16-2-acetyloxy-acetyloxy-2h-androst-2-eno-3-2-c-pyrazol-17-one-pa0159510
    [latest_product] => 0
    [linkproducts] => 0
    [offers_id] => 
    [offers_name] => 
    [offers_status] => 
    [offers_start_date] => 
    [offers_end_date] => 
    [pageview] => 
    [offers_slug] => 
    [offers_product_id] => 
    [offers_product_code] => 
    [offers_master_id] => 
    [offer_percentage] => 
    [offers_product_main_cat] => 
)
PA 01 59510
PA 01 59510

(5α,16β)-N-Acetyl-16-[2-(acetyloxy)acetyloxy)-2'H-androst-2-eno[3,2-c]pyrazol-17-one


  • Catalogue No.:PA 01 59510

  • CAS :

    NA

  • Molecular Formula : C26H34N2O6

  • Molecular Weight : 470.56

stdClass Object
(
    [pname] => (5α,16β)-N-Acetyl-16-acetyloxy-2'H-androst-2-eno[3,2-c]pyrazol-17-one
    [catalogue_number] => PA 01 59520
    [category_ids] => ,75,70,82,78,
    [chemical_name] => 
    [weight] => 412.52
    [form] => C24H32N2O4
    [cas] => NA
    [pslug] => 5-alpha-16-beta-n-acetyl-16-acetyloxy-2h-androst-2-eno-3-2-c-pyrazol-17-one-pa0159520
    [latest_product] => 0
    [linkproducts] => 0
    [offers_id] => 
    [offers_name] => 
    [offers_status] => 
    [offers_start_date] => 
    [offers_end_date] => 
    [pageview] => 
    [offers_slug] => 
    [offers_product_id] => 
    [offers_product_code] => 
    [offers_master_id] => 
    [offer_percentage] => 
    [offers_product_main_cat] => 
)
PA 01 59520
PA 01 59520

(5α,16β)-N-Acetyl-16-acetyloxy-2'H-androst-2-eno[3,2-c]pyrazol-17-one


  • Catalogue No.:PA 01 59520

  • CAS :

    NA

  • Molecular Formula : C24H32N2O4

  • Molecular Weight : 412.52

stdClass Object
(
    [pname] => 5α-N-Acetyl-2'H-androst-2-eno[3,2-c]pyrazol-17-one
    [catalogue_number] => PA 01 59530
    [category_ids] => ,78,82,70,75,
    [chemical_name] => 
    [weight] => 339.45
    [form] => C21H27N2O2
    [cas] => NA
    [pslug] => 5-alpha-n-acetyl-2h-androst-2-eno-3-2-c-pyrazol-17-one-pa0159530
    [latest_product] => 0
    [linkproducts] => 0
    [offers_id] => 
    [offers_name] => 
    [offers_status] => 
    [offers_start_date] => 
    [offers_end_date] => 
    [pageview] => 
    [offers_slug] => 
    [offers_product_id] => 
    [offers_product_code] => 
    [offers_master_id] => 
    [offer_percentage] => 
    [offers_product_main_cat] => 
)
PA 01 59530
PA 01 59530

5α-N-Acetyl-2'H-androst-2-eno[3,2-c]pyrazol-17-one


  • Catalogue No.:PA 01 59530

  • CAS :

    NA

  • Molecular Formula : C21H27N2O2

  • Molecular Weight : 339.45

stdClass Object
(
    [pname] => 5α-N-Acetyl-2'H-androst-16-en-2-eno[3,2-c]pyrazol-17-ol Acetate
    [catalogue_number] => PA 01 59540
    [category_ids] => ,82,78,75,70,
    [chemical_name] => 
    [weight] => 396.52
    [form] => C24H32N2O3
    [cas] => NA
    [pslug] => 5-alpha-n-acetyl-2h-androst-16-en-2-eno-3-2-c-pyrazol-17-ol-acetate-pa0159540
    [latest_product] => 0
    [linkproducts] => 0
    [offers_id] => 
    [offers_name] => 
    [offers_status] => 
    [offers_start_date] => 
    [offers_end_date] => 
    [pageview] => 
    [offers_slug] => 
    [offers_product_id] => 
    [offers_product_code] => 
    [offers_master_id] => 
    [offer_percentage] => 
    [offers_product_main_cat] => 
)
PA 01 59540
PA 01 59540

5α-N-Acetyl-2'H-androst-16-en-2-eno[3,2-c]pyrazol-17-ol Acetate


  • Catalogue No.:PA 01 59540

  • CAS :

    NA

  • Molecular Formula : C24H32N2O3

  • Molecular Weight : 396.52

stdClass Object
(
    [pname] => 11-Oxo Androsterone-d4
    [catalogue_number] => PA STI 070550
    [category_ids] => ,98,76,75,78,70,82,87,
    [chemical_name] => 
    [weight] => 308.45
    [form] => C19H24D4O3
    [cas] => NA
    [pslug] => 11-oxo-androsterone-d4-pasti070550
    [latest_product] => 0
    [linkproducts] => 0
    [offers_id] => 
    [offers_name] => 
    [offers_status] => 
    [offers_start_date] => 
    [offers_end_date] => 
    [pageview] => 
    [offers_slug] => 
    [offers_product_id] => 
    [offers_product_code] => 
    [offers_master_id] => 
    [offer_percentage] => 
    [offers_product_main_cat] => 
)
PA STI 070550
PA STI 070550

11-Oxo Androsterone-d4


  • Catalogue No.:PA STI 070550

  • CAS :

    NA

  • Molecular Formula : C19H24D4O3

  • Molecular Weight : 308.45

stdClass Object
(
    [pname] => 5-Androsten-3β-ol-17-one ethyleneketal
    [catalogue_number] => PA 01 59570
    [category_ids] => ,78,70,82,
    [chemical_name] => 
    [weight] => 332.48
    [form] => C21H32O3
    [cas] => 7745-40-6
    [pslug] => 7745-40-6-5-androsten-3-beta-ol-17-one-ethyleneketal-pa0159570
    [latest_product] => 0
    [linkproducts] => 0
    [offers_id] => 
    [offers_name] => 
    [offers_status] => 
    [offers_start_date] => 
    [offers_end_date] => 
    [pageview] => 
    [offers_slug] => 
    [offers_product_id] => 
    [offers_product_code] => 
    [offers_master_id] => 
    [offer_percentage] => 
    [offers_product_main_cat] => 
)
PA 01 59570
PA 01 59570

5-Androsten-3β-ol-17-one ethyleneketal


  • Catalogue No.:PA 01 59570

  • CAS :

    7745-40-6

  • Molecular Formula : C21H32O3

  • Molecular Weight : 332.48

stdClass Object
(
    [pname] => Androsterone Sulfate
    [catalogue_number] => PA 01 0591000
    [category_ids] => ,134,94,91,70,75,76,78,82,
    [chemical_name] => 
    [weight] => 370.50
    [form] => C19H30O5S
    [cas] => 2479-86-9
    [pslug] => 2479-86-9-androsterone-sulfate-pa010591000
    [latest_product] => 0
    [linkproducts] => 1
    [offers_id] => 
    [offers_name] => 
    [offers_status] => 
    [offers_start_date] => 
    [offers_end_date] => 
    [pageview] => 
    [offers_slug] => 
    [offers_product_id] => 
    [offers_product_code] => 
    [offers_master_id] => 
    [offer_percentage] => 
    [offers_product_main_cat] => 
)
PA 01 0591000
PA 01 0591000

Androsterone Sulfate


  • Catalogue No.:PA 01 0591000

  • CAS :

    2479-86-9

  • Molecular Formula : C19H30O5S

  • Molecular Weight : 370.50

stdClass Object
(
    [pname] => 7β-Hydroxy Dehydro Epiandrosterone
    [catalogue_number] => PA 01 0591001
    [category_ids] => ,75,76,78,70,82,
    [chemical_name] => 
    [weight] => 304.43
    [form] => C19H28O3
    [cas] => 2487-48-1
    [pslug] => 2487-48-1-7beta-hydroxy-dehydro-epiandrosterone-pa010591001
    [latest_product] => 0
    [linkproducts] => 0
    [offers_id] => 
    [offers_name] => 
    [offers_status] => 
    [offers_start_date] => 
    [offers_end_date] => 
    [pageview] => 
    [offers_slug] => 
    [offers_product_id] => 
    [offers_product_code] => 
    [offers_master_id] => 
    [offer_percentage] => 
    [offers_product_main_cat] => 
)
PA 01 0591001
PA 01 0591001

7β-Hydroxy Dehydro Epiandrosterone


  • Catalogue No.:PA 01 0591001

  • CAS :

    2487-48-1

  • Molecular Formula : C19H28O3

  • Molecular Weight : 304.43

stdClass Object
(
    [pname] => 7α-Hydroxy Dehydro Epiandrosterone
    [catalogue_number] => PA 01 0591002
    [category_ids] => ,75,76,78,70,82,
    [chemical_name] => 
    [weight] => 304.43
    [form] => C19H28O3
    [cas] => 53-00-9
    [pslug] => 53-00-9-7alpha-hydroxy-dehydro-epiandrosterone-pa010591002
    [latest_product] => 0
    [linkproducts] => 0
    [offers_id] => 
    [offers_name] => 
    [offers_status] => 
    [offers_start_date] => 
    [offers_end_date] => 
    [pageview] => 
    [offers_slug] => 
    [offers_product_id] => 
    [offers_product_code] => 
    [offers_master_id] => 
    [offer_percentage] => 
    [offers_product_main_cat] => 
)
PA 01 0591002
PA 01 0591002

7α-Hydroxy Dehydro Epiandrosterone


  • Catalogue No.:PA 01 0591002

  • CAS :

    53-00-9

  • Molecular Formula : C19H28O3

  • Molecular Weight : 304.43

stdClass Object
(
    [pname] => Methyl 3,3,17,17-Bis(ethylenedioxy)androst-5-en-19-oate
    [catalogue_number] => PA 01 0591003
    [category_ids] => ,75,76,78,70,82,
    [chemical_name] => 
    [weight] => 418.53
    [form] => C24H34O6
    [cas] => 5696-45-7
    [pslug] => 5696-45-7-methyl-3-3-17-17-bis-ethylenedioxy-androst-5-en-19-oate-pa010591003
    [latest_product] => 0
    [linkproducts] => 0
    [offers_id] => 
    [offers_name] => 
    [offers_status] => 
    [offers_start_date] => 
    [offers_end_date] => 
    [pageview] => 
    [offers_slug] => 
    [offers_product_id] => 
    [offers_product_code] => 
    [offers_master_id] => 
    [offer_percentage] => 
    [offers_product_main_cat] => 
)
PA 01 0591003
PA 01 0591003

Methyl 3,3,17,17-Bis(ethylenedioxy)androst-5-en-19-oate


  • Catalogue No.:PA 01 0591003

  • CAS :

    5696-45-7

  • Molecular Formula : C24H34O6

  • Molecular Weight : 418.53

stdClass Object
(
    [pname] => Methyl 3,17-Dioxo-4-androsten-19-oate
    [catalogue_number] => PA 01 0591004
    [category_ids] => ,75,76,78,70,82,
    [chemical_name] => 
    [weight] => 330.42
    [form] => C20H26O4
    [cas] => 22256-03-7
    [pslug] => 22256-03-7-methyl-3-17-dioxo-4-androsten-19-oate-pa010591004
    [latest_product] => 0
    [linkproducts] => 0
    [offers_id] => 
    [offers_name] => 
    [offers_status] => 
    [offers_start_date] => 
    [offers_end_date] => 
    [pageview] => 
    [offers_slug] => 
    [offers_product_id] => 
    [offers_product_code] => 
    [offers_master_id] => 
    [offer_percentage] => 
    [offers_product_main_cat] => 
)
PA 01 0591004
PA 01 0591004

Methyl 3,17-Dioxo-4-androsten-19-oate


  • Catalogue No.:PA 01 0591004

  • CAS :

    22256-03-7

  • Molecular Formula : C20H26O4

  • Molecular Weight : 330.42

stdClass Object
(
    [pname] => Androsterone Sulfate Sodium Salt
    [catalogue_number] => PA 01 0591005
    [category_ids] => ,82,78,76,75,70,
    [chemical_name] => 
    [weight] => 393.49
    [form] => C19H30NaO5S
    [cas] => 1852-41-1
    [pslug] => 1852-41-1-androsterone-sulfate-sodium-salt-pa010591005
    [latest_product] => 0
    [linkproducts] => 1
    [offers_id] => 
    [offers_name] => 
    [offers_status] => 
    [offers_start_date] => 
    [offers_end_date] => 
    [pageview] => 
    [offers_slug] => 
    [offers_product_id] => 
    [offers_product_code] => 
    [offers_master_id] => 
    [offer_percentage] => 
    [offers_product_main_cat] => 
)
PA 01 0591005
PA 01 0591005

Androsterone Sulfate Sodium Salt


  • Catalogue No.:PA 01 0591005

  • CAS :

    1852-41-1

  • Molecular Formula : C19H30NaO5S

  • Molecular Weight : 393.49

stdClass Object
(
    [pname] => 4-Androsten-3β-ol-17-one
    [catalogue_number] => PA 01 0591006
    [category_ids] => ,70,78,82,87,
    [chemical_name] => 
    [weight] => 288.43
    [form] => C19H28O2
    [cas] => 571-44-8
    [pslug] => 571-44-8-4-androsten-3beta-ol-17-one-pa010591006
    [latest_product] => 0
    [linkproducts] => 0
    [offers_id] => 
    [offers_name] => 
    [offers_status] => 
    [offers_start_date] => 
    [offers_end_date] => 
    [pageview] => 
    [offers_slug] => 
    [offers_product_id] => 
    [offers_product_code] => 
    [offers_master_id] => 
    [offer_percentage] => 
    [offers_product_main_cat] => 
)
PA 01 0591006
PA 01 0591006

4-Androsten-3β-ol-17-one


  • Catalogue No.:PA 01 0591006

  • CAS :

    571-44-8

  • Molecular Formula : C19H28O2

  • Molecular Weight : 288.43

stdClass Object
(
    [pname] => 5β-Androst-1-en-3α-ol-17-one
    [catalogue_number] => PA 01 0591007
    [category_ids] => ,70,78,82,87,
    [chemical_name] => 
    [weight] => 288.43
    [form] => C19H28O2
    [cas] => 33805-57-1
    [pslug] => 33805-57-1-5beta-androst-1-en-3alpha-ol-17-one-pa010591007
    [latest_product] => 0
    [linkproducts] => 0
    [offers_id] => 
    [offers_name] => 
    [offers_status] => 
    [offers_start_date] => 
    [offers_end_date] => 
    [pageview] => 
    [offers_slug] => 
    [offers_product_id] => 
    [offers_product_code] => 
    [offers_master_id] => 
    [offer_percentage] => 
    [offers_product_main_cat] => 
)
PA 01 0591007
PA 01 0591007

5β-Androst-1-en-3α-ol-17-one


  • Catalogue No.:PA 01 0591007

  • CAS :

    33805-57-1

  • Molecular Formula : C19H28O2

  • Molecular Weight : 288.43

stdClass Object
(
    [pname] => Androst-5-ene-3,17-diol, (3β,17α)
    [catalogue_number] => PA 01 0591008
    [category_ids] => ,70,78,82,87,
    [chemical_name] => 
    [weight] => 290.45
    [form] => C19H30O2
    [cas] => 1963-03-7
    [pslug] => 1963-03-7-androst-5-ene-3-17-diol-3beta-17alpha-pa010591008
    [latest_product] => 0
    [linkproducts] => 0
    [offers_id] => 
    [offers_name] => 
    [offers_status] => 
    [offers_start_date] => 
    [offers_end_date] => 
    [pageview] => 
    [offers_slug] => 
    [offers_product_id] => 
    [offers_product_code] => 
    [offers_master_id] => 
    [offer_percentage] => 
    [offers_product_main_cat] => 
)
PA 01 0591008
PA 01 0591008

Androst-5-ene-3,17-diol, (3β,17α)


  • Catalogue No.:PA 01 0591008

  • CAS :

    1963-03-7

  • Molecular Formula : C19H30O2

  • Molecular Weight : 290.45

stdClass Object
(
    [pname] => 2α-Methylandrosterone
    [catalogue_number] => PA 01 0591009
    [category_ids] => ,78,70,82,87,
    [chemical_name] => 
    [weight] => 304.47
    [form] => C20H32O2
    [cas] => 6961-54-2
    [pslug] => 6961-54-2-2alpha-methylandrosterone-pa010591009
    [latest_product] => 0
    [linkproducts] => 0
    [offers_id] => 
    [offers_name] => 
    [offers_status] => 
    [offers_start_date] => 
    [offers_end_date] => 
    [pageview] => 
    [offers_slug] => 
    [offers_product_id] => 
    [offers_product_code] => 
    [offers_master_id] => 
    [offer_percentage] => 
    [offers_product_main_cat] => 
)
PA 01 0591009
PA 01 0591009

2α-Methylandrosterone


  • Catalogue No.:PA 01 0591009

  • CAS :

    6961-54-2

  • Molecular Formula : C20H32O2

  • Molecular Weight : 304.47

stdClass Object
(
    [pname] => 1a-Methylandrosterone
    [catalogue_number] => PA 01 0591010
    [category_ids] => ,82,78,70,75,76,
    [chemical_name] => 
    [weight] => 304.47
    [form] => C20H32O2
    [cas] => 3398-67-2
    [pslug] => 3398-67-2-1a-methylandrosterone-pa010591010
    [latest_product] => 0
    [linkproducts] => 0
    [offers_id] => 
    [offers_name] => 
    [offers_status] => 
    [offers_start_date] => 
    [offers_end_date] => 
    [pageview] => 
    [offers_slug] => 
    [offers_product_id] => 
    [offers_product_code] => 
    [offers_master_id] => 
    [offer_percentage] => 
    [offers_product_main_cat] => 
)
PA 01 0591010
PA 01 0591010

1a-Methylandrosterone


  • Catalogue No.:PA 01 0591010

  • CAS :

    3398-67-2

  • Molecular Formula : C20H32O2

  • Molecular Weight : 304.47

stdClass Object
(
    [pname] => 11beta-Hydroxyandrosterone
    [catalogue_number] => PA 01 0591011
    [category_ids] => ,78,70,82,
    [chemical_name] => 
    [weight] => 306.45
    [form] => C19H30O3
    [cas] => 57-61-4
    [pslug] => 57-61-4-11beta-hydroxyandrosterone-pa010591011
    [latest_product] => 0
    [linkproducts] => 0
    [offers_id] => 
    [offers_name] => 
    [offers_status] => 
    [offers_start_date] => 
    [offers_end_date] => 
    [pageview] => 
    [offers_slug] => 
    [offers_product_id] => 
    [offers_product_code] => 
    [offers_master_id] => 
    [offer_percentage] => 
    [offers_product_main_cat] => 
)
PA 01 0591011
PA 01 0591011

11beta-Hydroxyandrosterone


  • Catalogue No.:PA 01 0591011

  • CAS :

    57-61-4

  • Molecular Formula : C19H30O3

  • Molecular Weight : 306.45

stdClass Object
(
    [pname] => 16-Hydroxydehydroepiandrosterone
    [catalogue_number] => PA 01 0591012
    [category_ids] => ,78,70,82,
    [chemical_name] => 
    [weight] => 304.43
    [form] => C19H28O3
    [cas] => 1232-73-1
    [pslug] => 1232-73-1-16-hydroxydehydroepiandrosterone-pa010591012
    [latest_product] => 0
    [linkproducts] => 0
    [offers_id] => 
    [offers_name] => 
    [offers_status] => 
    [offers_start_date] => 
    [offers_end_date] => 
    [pageview] => 
    [offers_slug] => 
    [offers_product_id] => 
    [offers_product_code] => 
    [offers_master_id] => 
    [offer_percentage] => 
    [offers_product_main_cat] => 
)
PA 01 0591012
PA 01 0591012

16-Hydroxydehydroepiandrosterone


  • Catalogue No.:PA 01 0591012

  • CAS :

    1232-73-1

  • Molecular Formula : C19H28O3

  • Molecular Weight : 304.43

stdClass Object
(
    [pname] => 5-Androsten-3-ol, 17-chloroamino
    [catalogue_number] => PA 01 0591013
    [category_ids] => ,78,70,82,87,
    [chemical_name] => 
    [weight] => 323.91
    [form] => C19H30ClNO
    [cas] => 897958-48-4
    [pslug] => 897958-48-4-5-androsten-3-ol17-chloroamino-pa010591013
    [latest_product] => 0
    [linkproducts] => 0
    [offers_id] => 
    [offers_name] => 
    [offers_status] => 
    [offers_start_date] => 
    [offers_end_date] => 
    [pageview] => 
    [offers_slug] => 
    [offers_product_id] => 
    [offers_product_code] => 
    [offers_master_id] => 
    [offer_percentage] => 
    [offers_product_main_cat] => 
)
PA 01 0591013
PA 01 0591013

5-Androsten-3-ol, 17-chloroamino


  • Catalogue No.:PA 01 0591013

  • CAS :

    897958-48-4

  • Molecular Formula : C19H30ClNO

  • Molecular Weight : 323.91

stdClass Object
(
    [pname] => Androsterone Glucuronide
    [catalogue_number] => PA 01 0591014
    [category_ids] => ,78,70,82,95,87,
    [chemical_name] => 
    [weight] => 466.57
    [form] => C25H38O8
    [cas] => 1852-43-3
    [pslug] => 1852-43-3-androsterone-glucuronide-pa010591014
    [latest_product] => 0
    [linkproducts] => 0
    [offers_id] => 
    [offers_name] => 
    [offers_status] => 
    [offers_start_date] => 
    [offers_end_date] => 
    [pageview] => 
    [offers_slug] => 
    [offers_product_id] => 
    [offers_product_code] => 
    [offers_master_id] => 
    [offer_percentage] => 
    [offers_product_main_cat] => 
)
PA 01 0591014
PA 01 0591014

Androsterone Glucuronide


  • Catalogue No.:PA 01 0591014

  • CAS :

    1852-43-3

  • Molecular Formula : C25H38O8

  • Molecular Weight : 466.57

stdClass Object
(
    [pname] => Androstanediol glucuronide
    [catalogue_number] => PA 01 0591015
    [category_ids] => ,78,70,82,95,87,
    [chemical_name] => 
    [weight] => 468.59
    [form] => C25H40O8
    [cas] => 65535-18-4
    [pslug] => 65535-18-4-androstanediol-glucuronide-pa010591015
    [latest_product] => 0
    [linkproducts] => 0
    [offers_id] => 
    [offers_name] => 
    [offers_status] => 
    [offers_start_date] => 
    [offers_end_date] => 
    [pageview] => 
    [offers_slug] => 
    [offers_product_id] => 
    [offers_product_code] => 
    [offers_master_id] => 
    [offer_percentage] => 
    [offers_product_main_cat] => 
)
PA 01 0591015
PA 01 0591015

Androstanediol glucuronide


  • Catalogue No.:PA 01 0591015

  • CAS :

    65535-18-4

  • Molecular Formula : C25H40O8

  • Molecular Weight : 468.59

stdClass Object
(
    [pname] => 5Beta-Androstane-3Alpha,17Beta-diol3-Glucuronide
    [catalogue_number] => PA 01 0591016
    [category_ids] => ,78,70,82,95,87,
    [chemical_name] => 
    [weight] => 468.59
    [form] => C25H40O8
    [cas] => 114761-91-0
    [pslug] => 114761-91-0-5beta-androstane-3alpha-17beta-diol3-glucuronide-pa010591016
    [latest_product] => 0
    [linkproducts] => 0
    [offers_id] => 
    [offers_name] => 
    [offers_status] => 
    [offers_start_date] => 
    [offers_end_date] => 
    [pageview] => 
    [offers_slug] => 
    [offers_product_id] => 
    [offers_product_code] => 
    [offers_master_id] => 
    [offer_percentage] => 
    [offers_product_main_cat] => 
)
PA 01 0591016
PA 01 0591016

5Beta-Androstane-3Alpha,17Beta-diol3-Glucuronide


  • Catalogue No.:PA 01 0591016

  • CAS :

    114761-91-0

  • Molecular Formula : C25H40O8

  • Molecular Weight : 468.59

stdClass Object
(
    [pname] => Chloromethylandrostenediol
    [catalogue_number] => PA 01 0591017
    [category_ids] => ,78,70,82,95,87,
    [chemical_name] => 
    [weight] => 338.92
    [form] => C20H31ClO2
    [cas] => 35937-40-7
    [pslug] => 35937-40-7-chloromethylandrostenediol-pa010591017
    [latest_product] => 0
    [linkproducts] => 0
    [offers_id] => 
    [offers_name] => 
    [offers_status] => 
    [offers_start_date] => 
    [offers_end_date] => 
    [pageview] => 
    [offers_slug] => 
    [offers_product_id] => 
    [offers_product_code] => 
    [offers_master_id] => 
    [offer_percentage] => 
    [offers_product_main_cat] => 
)
PA 01 0591017
PA 01 0591017

Chloromethylandrostenediol


  • Catalogue No.:PA 01 0591017

  • CAS :

    35937-40-7

  • Molecular Formula : C20H31ClO2

  • Molecular Weight : 338.92