camptothecin and its Impurities
Camptothecin is a topoisomerase inhibitor. It was isolated from the bark and stem of Camptotheca acuminata a tree native to China used as a cancer treatment in Traditional Chinese Medicine.. Reference standards of Camptothecin API, and its pharmacopeial, non pharmacopeial impurities, and stable isotopes are listed below
4'-Ethyl-7',8'-dihydro-4'-hydroxy-spiro[1,3-dioxolane-2,6'(3'H)-[1H]pyrano[3,4-f]indolizine]-3',10'(4'H)-dione-d5
4'-Ethyl-7',8'-dihydro-4'-hydroxy-spiro[1,3-dioxolane-2,6'(3'H)-[1H]pyrano[3,4-f]indolizine]-3',10'(4'H)-dione-d5
Catalogue No.:PA STI 039280
CAS :
1346604-65-6
Molecular Formula : C15H12D5NO6
Molecular Weight : 312.33
4'-Ethyl-7',8'-dihydro-spiro[1,3-dioxolane-2,6'(3'H)-[1H]pyrano[3,4-f]indolizine]-3',10'(4'H)-dione-d5
4'-Ethyl-7',8'-dihydro-spiro[1,3-dioxolane-2,6'(3'H)-[1H]pyrano[3,4-f]indolizine]-3',10'(4'H)-dione-d5
Catalogue No.:PA STI 039290
CAS :
1346605-23-9
Molecular Formula : C15H12D5NO5
Molecular Weight : 296.33
(4S)-9-(Acetyloxy)-10-[(acetyloxy)methyl]-4-ethyl-4-hydroxy-1H-pyrano[3’4’:6,7]indolizino[1,2-b]quinoline-3,14(4H,12H)-dione
(4S)-9-(Acetyloxy)-10-[(acetyloxy)methyl]-4-ethyl-4-hydroxy-1H-pyrano[3’4’:6,7]indolizino[1,2-b]quinoline-3,14(4H,12H)-dione
Catalogue No.:PA 03 06560
CAS :
1304788-26-8
Molecular Formula : C25H22N2O8
Molecular Weight : 478.45
(R)-4,11-Diethyl-4,9-dihydroxy-1,12-dihydro-14H-pyrano[3',4':6,7]indolizino[1,2-b]quinoline-3,14(4H)-dione
(R)-4,11-Diethyl-4,9-dihydroxy-1,12-dihydro-14H-pyrano[3',4':6,7]indolizino[1,2-b]quinoline-3,14(4H)-dione
Catalogue No.:PA 03 06580
CAS :
647852-82-2
Molecular Formula : C22H20N2O5
Molecular Weight : 392.41
(4S)-4-Ethyl-4-Hydroxy-1H-pyrano[3',4':6,7]indolizino[1,2-b]Quinoline-3,14(4H,12H)-dione Sodium Salt
(4S)-4-Ethyl-4-Hydroxy-1H-pyrano[3',4':6,7]indolizino[1,2-b]Quinoline-3,14(4H,12H)-dione Sodium Salt
Catalogue No.:PA 03 0061006
CAS :
72517-83-0
Molecular Formula : C20H15N2NaO4
Molecular Weight : 370.34
(S)-11-Ethyl-4,9-dihydroxy-4-methyl-1,12-dihydro-14H-pyrano[3',4':6,7]indolizino[1,2-b]quinoline-3,14(4H)-dione
(S)-11-Ethyl-4,9-dihydroxy-4-methyl-1,12-dihydro-14H-pyrano[3',4':6,7]indolizino[1,2-b]quinoline-3,14(4H)-dione
Catalogue No.:PA 03 0061008
CAS :
NA
Molecular Formula : C21H18N2O5
Molecular Weight : 378.38
(S)-9-Ethyl-5-fluoro-9-hydroxy-4-methyl-1,2,3,9,12,15-hexahydro-10H,13H-benzo[de]pyrano[3',4':6,7]indolizino[1,2-b]quinoline-10,13-dione
(S)-9-Ethyl-5-fluoro-9-hydroxy-4-methyl-1,2,3,9,12,15-hexahydro-10H,13H-benzo[de]pyrano[3',4':6,7]indolizino[1,2-b]quinoline-10,13-dione
Catalogue No.:PA 03 0061010
CAS :
210346-40-0
Molecular Formula : C24H21FN2O4
Molecular Weight : 420.44
(S)-9-Ethyl-9-hydroxy-1-pentyl-3,15-dihydro-1H,12H-pyrano[3'',4'':6',7']indolizino[2',1':5,6]pyrido[4,3,2-de]quinazoline-2,10,13(9H)-trione
(S)-9-Ethyl-9-hydroxy-1-pentyl-3,15-dihydro-1H,12H-pyrano[3'',4'':6',7']indolizino[2',1':5,6]pyrido[4,3,2-de]quinazoline-2,10,13(9H)-trione
Catalogue No.:PA 03 0061011
CAS :
534605-74-8
Molecular Formula : C26H26N4O5
Molecular Weight : 474.52
(S)-4-ethyl-4-hydroxy-1,4,7,8-tetrahydro-3H,10H-spiro[pyrano[3,4-f]indolizine-6,2'-[1,3]dioxolane]-3,10-dione
(S)-4-ethyl-4-hydroxy-1,4,7,8-tetrahydro-3H,10H-spiro[pyrano[3,4-f]indolizine-6,2'-[1,3]dioxolane]-3,10-dione
Catalogue No.:PA 03 0061013
CAS :
110351-93-4
Molecular Formula : C15H17NO6
Molecular Weight : 307.3
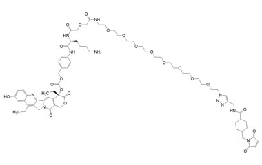
4-((S)-2-(4-aminobutyl)-35-(4-((4-((2,5-dioxo-2,5-dihydro-1H-pyrrol-1-yl)methyl)cyclohexane-1-carboxamido)methyl)-1H-1,2,3-triazol-1-yl)-4,8-dioxo-6,12,15,18,21,24,27,30,33-nonaoxa-3,9-diazapentatriacontanamido)benzyl ((S)-4,11-diethyl-9-hydroxy-3,14-dioxo-3,4,12,14-tetrahydro-1H-pyrano[3',4':6,7]indolizino[1,2-b]quinolin-4-yl) carbonate
4-((S)-2-(4-aminobutyl)-35-(4-((4-((2,5-dioxo-2,5-dihydro-1H-pyrrol-1-yl)methyl)cyclohexane-1-carboxamido)methyl)-1H-1,2,3-triazol-1-yl)-4,8-dioxo-6,12,15,18,21,24,27,30,33-nonaoxa-3,9-diazapentatriacontanamido)benzyl ((S)-4,11-diethyl-9-hydroxy-3,14-dioxo-3,4,12,14-tetrahydro-1H-pyrano[3',4':6,7]indolizino[1,2-b]quinolin-4-yl) carbonate
Catalogue No.:PA 03 0061015
CAS :
1279680-68-0
Molecular Formula : C73H97N11O22
Molecular Weight : 1480.63
(4S)-4-Ethyl-4-hydroxy-12-(2-hydroxyethoxy)-1,12-dihydro-14H-pyrano[3',4':6,7]indolizino[1,2-b]quinoline-3,14(4H)-dione
(4S)-4-Ethyl-4-hydroxy-12-(2-hydroxyethoxy)-1,12-dihydro-14H-pyrano[3',4':6,7]indolizino[1,2-b]quinoline-3,14(4H)-dione
Catalogue No.:PA 03 0061020
CAS :
200619-13-2
Molecular Formula : C22H20N2O6
Molecular Weight : 408.41
(S)-N-(2-(4-Ethyl-4-hydroxy-3,14-dioxo-3,4,12,14-tetrahydro-1H-pyrano[3',4':6,7]indolizino[1,2-b]quinolin-11-yl)ethyl)-N-isopropylmethanesulfonamide
(S)-N-(2-(4-Ethyl-4-hydroxy-3,14-dioxo-3,4,12,14-tetrahydro-1H-pyrano[3',4':6,7]indolizino[1,2-b]quinolin-11-yl)ethyl)-N-isopropylmethanesulfonamide
Catalogue No.:PA 03 0061022
CAS :
2356229-14-4
Molecular Formula : C26H29N3O6S
Molecular Weight : 511.59
4-Ethyl-1,4,7,8-tetrahydro-3H,10H-spiro[pyrano[3,4-f]indolizine-6,2'-[1,3]dioxolane]-3,10-dione
4-Ethyl-1,4,7,8-tetrahydro-3H,10H-spiro[pyrano[3,4-f]indolizine-6,2'-[1,3]dioxolane]-3,10-dione
Catalogue No.:PA 03 0061039
CAS :
127318-97-2
Molecular Formula : C15H17NO5
Molecular Weight : 291.3

