Exatecan Mesylate and its Impurities
Exatecan Mesylate is a drug which is a structural analog of camptothecin with antineoplastic activity. Reference standards of Exatecan Mesylate API,and its pharmacopeial, non pharmacopeial impurities, and stable isotopes are listed below.
N-((1R,9S)-9-Ethyl-5-fluoro-9-hydroxy-4-methyl-10,13-dioxo-2,3,9,10,13,15-hexahydro-1H,12H-benzo[de]pyrano[3',4':6,7]indolizino[1,2-b]quinolin-1-yl)acetamide
N-((1R,9S)-9-Ethyl-5-fluoro-9-hydroxy-4-methyl-10,13-dioxo-2,3,9,10,13,15-hexahydro-1H,12H-benzo[de]pyrano[3',4':6,7]indolizino[1,2-b]quinolin-1-yl)acetamide
Catalogue No.:PA 05 1991002
CAS :
3029450-04-9
Molecular Formula : C26H24FN3O5
Molecular Weight : 477.49
N-((9S)-9-Ethyl-5-fluoro-9-hydroxy-4-methyl-10,13-dioxo-2,3,9,10,13,15-hexahydro-1H,12H-benzo[de]pyrano[3',4':6,7]indolizino[1,2-b]quinolin-1-yl)acetamide
N-((9S)-9-Ethyl-5-fluoro-9-hydroxy-4-methyl-10,13-dioxo-2,3,9,10,13,15-hexahydro-1H,12H-benzo[de]pyrano[3',4':6,7]indolizino[1,2-b]quinolin-1-yl)acetamide
Catalogue No.:PA 05 1991011
CAS :
2290562-59-1
Molecular Formula : C26H24FN3O5
Molecular Weight : 477.49
N-(8-Amino-6-fluoro-5-methyl-1-oxo-1,2,3,4-tetrahydronaphthalen-2-yl)acetamide hydrochloride
N-(8-Amino-6-fluoro-5-methyl-1-oxo-1,2,3,4-tetrahydronaphthalen-2-yl)acetamide hydrochloride
Catalogue No.:PA 05 1991039
CAS :
2437603-23-9
Molecular Formula : C13H16ClFN2O2
Molecular Weight : 286.73
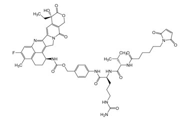
1-(3-(2,5-Dioxo-2,5-dihydro-1H-pyrrol-1-yl)propanamido)-N-((S)-1-(((S)-1-(((S)-9-ethyl-9-hydroxy-10,13-dioxo-2,3,9,10,13,15-hexahydro-1H,12H-benzo[de]pyrano[3',4':6,7]indolizino[1,2-b]quinolin-4-yl)amino)-1-oxopropan-2-yl)amino)-3-methyl-1-oxobutan-2-yl)-3,6,9,12,15,18,21,24-octaoxaheptacosan-27-amide
1-(3-(2,5-Dioxo-2,5-dihydro-1H-pyrrol-1-yl)propanamido)-N-((S)-1-(((S)-1-(((S)-9-ethyl-9-hydroxy-10,13-dioxo-2,3,9,10,13,15-hexahydro-1H,12H-benzo[de]pyrano[3',4':6,7]indolizino[1,2-b]quinolin-4-yl)amino)-1-oxopropan-2-yl)amino)-3-methyl-1-oxobutan-2-yl)-3,6,9,12,15,18,21,24-octaoxaheptacosan-27-amide
Catalogue No.:PA 05 1991019
CAS :
2495742-34-0
Molecular Formula : C57H77N7O18
Molecular Weight : 1148.27
(S)-4-Amino-9-ethyl-5-fluoro-9-hydroxy-1,2,3,9,12,15-hexahydro-10H,13H-benzo[de]pyrano[3',4':6,7]indolizino[1,2-b]quinoline-10,13-dione
(S)-4-Amino-9-ethyl-5-fluoro-9-hydroxy-1,2,3,9,12,15-hexahydro-10H,13H-benzo[de]pyrano[3',4':6,7]indolizino[1,2-b]quinoline-10,13-dione
Catalogue No.:PA 05 1991023
CAS :
2671770-58-2
Molecular Formula : C23H20FN3O4
Molecular Weight : 421.43
2-(((1S,9S)-9-Ethyl-5-fluoro-9-hydroxy-4-methyl-10,13-dioxo-2,3,9,10,13,15-hexahydro-1H,12H-benzo[de]pyrano[3',4':6,7]indolizino[1,2-b]quinolin-1-yl)amino)-2-oxoethyl ((S)-8-benzyl-21-(2,5-dioxo-2,5-dihydro-1H-pyrrol-1-yl)-4,7,10,13,16-pentaoxo-3,6,9,12,15-pentaazahenicosyl)(methyl)carbamate
2-(((1S,9S)-9-Ethyl-5-fluoro-9-hydroxy-4-methyl-10,13-dioxo-2,3,9,10,13,15-hexahydro-1H,12H-benzo[de]pyrano[3',4':6,7]indolizino[1,2-b]quinolin-1-yl)amino)-2-oxoethyl ((S)-8-benzyl-21-(2,5-dioxo-2,5-dihydro-1H-pyrrol-1-yl)-4,7,10,13,16-pentaoxo-3,6,9,12,15-pentaazahenicosyl)(methyl)carbamate
Catalogue No.:PA 05 1991032
CAS :
2718125-83-6
Molecular Formula : C55H61FN10O14
Molecular Weight : 1105.15

